搜索
首页
大数快讯
大数活动
服务超市
文章专题
出海平台
流量密码
出海蓝图
产业赛道
物流仓储
跨境支付
选品策略
实操手册
报告
跨企查
百科
导航
知识体系
工具箱
更多
找货源
跨境招聘
DeepSeek
首页
>
Light | 低辐射剂量扫描康普顿X射线显微镜
>
Light | 低辐射剂量扫描康普顿X射线显微镜
两江科技评论
2023-06-08
3
导读:近日,来自德国自由电子激光中心的Saša Bajt团队设计并制造了一种新型的扫描康普顿X射线显微镜,该显微镜能够显著降低成像所需的辐射剂量,减少对生物样品的损伤,为软物质和生物材料成像技术的进一步发展
撰稿 |
蔡淼
导读
近日,来自
德国
自由电子激光中心的Saša Bajt团队
设计并制造了一种新型的扫描康普顿X射线显微镜,该显微镜能够显著降低成像所需的辐射剂量,减少对生物样品的损伤
,为软物质和生物材料成像技术的进一步发展提供了有力支撑。
研究背景
短波辐射(例如
X 射线或电子)可用于接近原子尺度的空间分辨率成像,然而,埃格斯
特伦
波长(ångström wavelengths)的辐射
能量
足以电离所研究的材料,导致材料的结构发生变化,从而限制了样品图像的
质量
。这个问题在生物成像中尤为关键,因为
生物材料只能承受某一最大剂量,以避免辐射导致的结构损伤影响成像效果。
对于低温冷却的水合生物样品,结构降解的
长度
尺度与剂量大致呈线性关系。
因此,可接受的剂量与分辨率成比例,并且发现每
1 nm 的结构降解的剂量大约为 100 MGy。为了在尽可能降低成像所需剂量的同时保证成像的质量,学者们提出了许多方法,其中证明了相衬X射线成像(Phase-contrast X-ray imaging)可以在约10keV的光子能量下进行有效成像,因为这种辐射更能穿透样品,并且其较短的波长能够提供更大的聚焦深度。因此,如果能在已有研究的基础上,
进一步减少有效成像所需的辐射剂量,对于生物医学成像等领域的发展具有极其重要的意义。
创新
研究
在本研究中,研究团队的理论和实验研究表明,扫描康普顿X射线显微镜可以用比相衬成像更低的剂量提供高分辨率图像。
研究团队使用专为聚焦高能X射线设计的新型厚楔形多层劳厄透镜,以聚焦约70nm的60keV探测光束对扫描康普顿X射线显微方法进行了测试
(图一,图二,图三)。研究成果展示了对生物材料成像的适用性,并展示了干燥物体(螺旋藻细菌、硅藻和花粉粒)的成像结果(图四),这些图像是在远低于冷却水合样品可容忍限度的剂量下获得的。
这一研究成果为生物成像技术的进一步发展开辟了更广阔的研究前景,
将扫描康普顿X射线显微技术,与大立体角有效探测器以及下一代同步辐射源的高亮度相结合,有望进一步开发出高分辨率的扫描康普顿X射线显微镜
,这为后续的研究提供了一条极具潜力的道路。
图一:(a) 显微镜示意图。(b)多层劳厄透镜(Laue
lenses)之一的扫描电子显微照片,光束传播方向 (z方向) 厚35 µm,高 51 µm (y方向)。多层结构在 Si 衬底上方呈灰色,看起来更暗。(c) 在 60 keV 光子能量下,以 cm
2
/g/立体角为单位的碳截面,(d)与(c)相同单位的 C(蓝色)、N(黄色)、O( 绿色)和 Si(橙色)截面的切面。虚线表示了探测器的接收角。
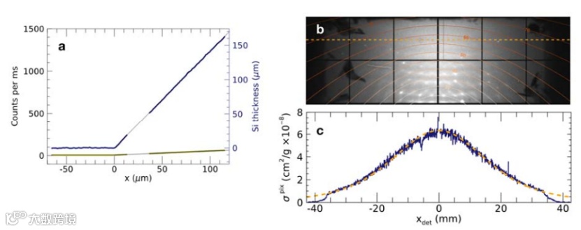
图二:(a)来自硅楔样品的上部(蓝色)和下部(绿色)离轴探测器的测量信号,每个数据点的曝光
时间
为 2000 毫秒,入射通量为 1.54×10
6
ph/ms。(b) Si的去背景的检测器横截面,以 0(黑色)到 8 ×10
-8
cm
2
/g(白色)的灰度显示。图中标注了散射角β的轮廓。(c) 沿 (b) 的橙色虚线的响应,以及相应的计算得到的横截面(虚线)。
图三:(a,b) 750 nm厚的星形结构的暗场图像,测量步长分别为 50 nm 和 15 nm,每个像素的驻留时间分别为 10 ms 和 20 ms。(c) 由和(b)相同的扫描形成的傅里叶环相关函数,表明分辨率为 72 nm。
O
ne
-
bit
criterion以橄榄绿色曲线显示。(d) 透镜的点扩散函数,通过波前测量获得。(e)计算得到的距离为 42 m且相对带宽为 0.05% 的 100 µm
*
100 µm 源的焦斑。
图四:(a) 松花粉粒、(b) 螺旋藻蓝绿藻和 (c) 硅酸盐硅藻壳的暗场图像。
论文信息
该文章发表在国际顶尖学术期刊《
Light: Science & Applications
》,题为“
Dose-efficient Scanning Compton X-ray Microscopy
”, Tang Li为论文的第一作
者,
Henry N. Chapman
和
Saša
Bajt
为论文
的共同通讯作者。
论文地址
https://www.nature.com/articles/s41377-023-01176-
5
论文传送门在此,请进>>>
免责声明:本文旨在传递更多科研资讯及分享,所有其他媒、网来源均注明出处,如涉及
版权
问题,请作者第一时间后台联系,我们将协调进行处理,所有来稿文责自负,两江仅作分享平台。转载请注明出处,如原创内容转载需授权,请联系下方微信号。
【声明】内容源于网络
0
0
两江科技评论
聚焦“光声力热”超构材料、凝聚态物理、生物医学、智能制造等领域,打造科研人便捷的交流平台,发布优质新鲜的科研资讯。
内容
6001
粉丝
0
关注
在线咨询
两江科技评论
聚焦“光声力热”超构材料、凝聚态物理、生物医学、智能制造等领域,打造科研人便捷的交流平台,发布优质新鲜的科研资讯。
总阅读
5.1k
粉丝
0
内容
6.0k