
太赫兹波,指频率为0.1-10 THz的电磁波,位于微波和红外之间,属于电子学与光子学的过渡区间。由于具有光子能量低、穿透力强、特征光谱分辨能力好等属性,太赫兹技术在生物传感、无损检测以及高速无线通讯等领域具有重要的应用前景。然而,由于自然界中的天然材料在太赫兹频段没有电磁响应,导致太赫兹频段的功能材料和器件非常匮乏,这也是造成太赫兹技术尚未广泛应用的重要原因。THz超材料,一种新型的周期性人工电磁材料,其性质主要取决于所设计的结构,通过特定的结构设计,可获得与自然界已知材料截然不同的电磁性质,从而实现丰富的功能器件,如吸波器、调制器和偏振转换器等。目前常见的太赫兹超材料,主要由光刻工艺制备得到,存在制备工艺复杂、加工成本高的问题。此外,目前宽带吸波器常采用上下重叠式多层结构设计,其在太赫兹频段所需的多步光刻工艺更是进一步提高了加工难度及成本。因此,探索太赫兹器件的无光刻、低成本、简单高效的制备方法获得超宽带太赫兹吸波器,将有利于促进太赫兹技术的繁荣发展。
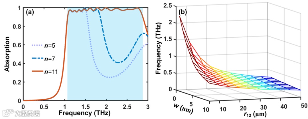
近日,西安交通大学张留洋教授课题组提出了一种偏振不敏感的超宽带太赫兹吸波器设计及其制备方法,该超宽带吸波器由叠堆于类宝塔基底表面的多层环形谐振器构成,通过相邻谐振器共振模式的重叠实现带宽的扩展,最终通过叠堆12层圆形和环形谐振器实现1.07-2.88 THz频段的近完美吸收。该研究结合微尺度3D打印技术(nanoArch S130,摩方精密)制备得到实验样件,实验测试结果验证了宽带吸收机理的准确性。该成果以“Three-Dimensional Printed Ultrabroadband Terahertz Metamaterial Absorbers”为题发表于国际期刊Physical Review Applied上,该研究工作由西安交通大学机械工程学院博士生沈忠磊与硕士生李胜男共同合作完成。

图1 具有面外形态的太赫兹吸波器结构示意图

图2 太赫兹超宽带吸收谱
通过结合微尺度3D打印技术,超宽带太赫兹吸波器可由简单的三步工艺制备得到。其中,周期性阵列的三维类宝塔结构采用面投影微立体光刻3D打印技术(nanoArch S130,摩方精密)加工得到。实验结果表明:得益于高精度的微尺度3D打印技术,测试所得的宽带吸收谱谐振频率和吸收幅值均与数值模拟结果较为吻合。

图3 太赫兹超宽带吸波器实验验证(其中单元周期Px=Py=185μm,顶层圆形谐振器半径r12=10μm, 叠堆环形谐振器宽度w=6μm,叠堆层厚Dt=10μm)
此外,文章进一步证明了该制备方法之于常见太赫兹窄带吸波器制备的适用性。实验结果表明:两种太赫兹窄带吸波器的吸收谱测试结果与数值模拟结果和理论结果均较为吻合,表明基于微尺度3D打印技术的制备方法同样可实现对常见太赫兹窄带吸波器的高质量制备。

图4 太赫兹窄带吸波器实验验证
原文链接:
https://journals.aps.org/prapplied/abstract/10.1103/PhysRevApplied.16.014066
最受关注文章 TOP 5
香港城大纳米制造实验室《ACS AMI》: 基于PμSL技术的微米级可拉伸电子一体化制造
Nano Energy:基于面投影微立体光刻3D打印技术的共形压电传感器设计与制造
科研级超高精度3D打印在仿生材料领域的应用



