

撰稿|由课题组供稿

非厄米特性在光子、声子等波动体系中激发了大量的非平凡拓扑现象。在特定物理场中实现非厄米拓扑的两个必要条件包括:1.引入适当的增益/损耗来调制波的振荡;2.提供适当的参数空间来实现异常点(EP)的动态环绕。尽管经典的热扩散体系具备非厄米系统的耗散特性,由于振荡特性和足够的环绕参数空间在热扩散中的同时缺失,相关的拓扑性质难以在热扩散系统中实现。近期,新加坡国立大学仇成伟教授课题组同斯坦福大学范汕洄教授合作提出了一种热拓扑材料。通过在热扩散系统中创建正交对流空间,实现了热学系统的奇异点动态环绕,并首次在实验中观测到了热学系统的可配置拓扑相变。相关研究成果以《Configurable phase transitions in a topological thermal material》为题,于近期发表在《Physical Review Letters》。
通过在厄米波动系统中引入增益/耗散等非厄米项,厄米系统可转变为非厄米系统。传统的热扩散系统是典型的耗散体系,并天然的对应非厄米项,这一相关性引起了一个未探索的问题:相应的非厄米拓扑相是否可以在热扩散系统中实现。在传统的非厄米拓扑研究中,相应的拓扑相可以通过在复平面中利用至少两个参数,动态环绕不同数量的异常点(EP)来获得。然而,在特定的热扩散系统中,由于实际动量的缺失,相应的参数空间仅存在单一且固定的耗散项,使其无法满足实现动态环绕的条件。因此,热学系统中的拓扑相变以及相应的拓扑热材料尚未得到相应的理论讨论与实验验证。
通常情况下,传统的热扩散系统固有的热学特性决定了在静态环境下的该系统的热传导能力。当外部环境发生扰动时,系统内的热分布将表现出如图 1(a)所示不均匀分布的特性(黑色与蓝色实线表示不同外部环境下的等温线分布)。这种现象在直接暴露于对流环境下的传统热技术中很常见。一种潜在的解决这种问题的方案是使得系统热扩散可在对流环境下保持稳定或有组织的传递。课题组在前期关于反宇称-时间对称传热的工作中(Science, 2019, 364,170-173)发现,热扩散过程可在恒定对流环境且速度较小的条件下,实现如图1(b)所示的静态温度分布。但对于具有非稳定对流环境(速度)的实际热扩散过程,系统的反宇称-时间对称性将出现破缺,并使得温度场出现偏置分布。现有热学系统的所存在的问题进一步激发了一个开放性的思考,即热扩散系统是否可以在任意变化的环境下提供如图 1(c)所示稳健或有组织的传热特性?这个问题的答案可以使肯定的,如果振荡波场中新兴拓扑材料的稳健特性可以在具有任意变化的对流环境的热扩散中实现。

图1. 传统热材料与拓扑热材料:a ~ c 分别表示传统热材料、反宇称-时间对称热系统、拓扑热材料。
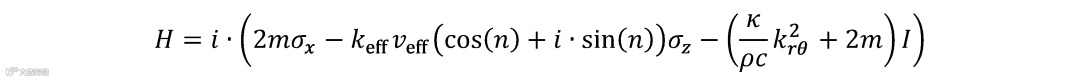
在本研究中,研究团队首先利用双耦合对流对来获得正交参数空间(图2a)。该操作可以在热扩散系统中创建两对等效的“振荡”,从而补充热扩散系统缺失的自由度。此时,位于两个侧面(r-θ 平面)上的一个对流对提供了沿着热流方向的等效“振荡”,而位于上下表面的对流对提供了垂直于热流方向(z方向)的等效“振荡”。考虑到两个耦合对流对空间分布的正交性以及复平面的几何特性,这两对正交对流对可构成一个等效复平面,从而为潜在的奇异点(EP)环绕过程提供必要的空间。考虑到系统内部导热与正交对流对耦合过程的换热量,该系统等效哈密顿量可以描述为
该式中,m为系统换热量,
表示正交对流对形成的动态环绕空间。此时,该热扩散系统在演化的温度场中可以获得如图2d和e所示的一对异常点(EP pair)。

图2. 热扩散系统拓扑传输原理示意图:a 对流对配置示意图;b等效多环系统示意图;c多环系d 和e分别表示合成参数空间的能带实部与虚部。
进一步,我们利用时空调制的对流速度首次在热学系统中实现了不同数量EP点的环绕并定义了热学系统中的拓扑不变量。相关的实验装置如图3a所示。考虑到不同数量的奇异点环绕过程会导致不同的环绕数(winding number)与几何相位(Berry phase),因此,我们在合成的参数空间中利用时空调制对流实现以下四种环绕路径来观测热扩散系统中的拓扑相变:路径1:环绕两个EP点;路径2:环绕一个EP点;路径3:不环绕EP点且路径在EP点外侧;路径4:不环绕EP点且路径在两个EP点之间。
当我们选取路径1时,系统内可以获得一个整数倍环绕数(±1)以及±2π几何相位。此时,热扩散系统具有拓扑非平庸特性。通过实验,可以进一步观测到一个围绕温度场初始位置的动态平衡拓扑相变过程(图3b),表明了在扰动对流场环境下热扩散过程的鲁棒性。当选取路径2环绕单个EP点时,该热扩散系统的两个特征向量将会进行切换,从而使得系统呈现出半整数倍的环绕数(±1/2)以及±π几何相位。此时,热扩散系统将会表现出非厄米系统特征。在实验中,温度场表现出有组织的相变过程,即温度场在转过nπ时会保持一定时间,之后温度场会迅速阶变到(n+1)π并保持。经过相位积累,可以进一步在温度场最大值位置分布中观测到阶梯状分布特征。由于在合成参数空间中不环绕EP点,路径3和路径4均会导致为0的环绕数以及几何相位。此时,该热扩散系统具有平庸特性。在实验中,课题组进一步发现,由于路径3的选取位置在EP点外侧,温度场的演化将由对流所主导。因此,在图3d中可以观测到连续变化的温度场变化。当路径4为环绕路径时(两个EP点之间),系统内的温度场演化将由内在的传导过程主导,从而在图3e中呈现出近似稳定的温度场分布。上述四种温度场拓扑相变展现了热扩散系统中的动态环绕不同数量EP点的特性,且通过调制对流空间分布,四种相变过程可实现自由切换。此外,课题组发现当在热扩散系统中环绕单个EP点时,无论环绕起始点位于环绕路径何处(反宇称-时间对称相/反宇称-时间破缺相),温度场的演化过程均会表现出非手性特征(图4)。

图3. 热扩散系统拓扑传输实验装置与温度场分布:a 实验装置示意图;b ~ e环绕路径1 ~ 4的系统温度场分布。

图4. 非手性温度场演化:a 和b 展示了起始点位于反宇称-时间破缺相的温度场演化过程;c 和d 展示了起始点位于反宇称-时间对称相的温度场演化过程。
本工作在热学系统中首次提出了热学系统中创建广义合成维度的方法,并首次实验验证了了不同数量的EP点的动态环绕与非厄米拓扑相变,展示了四种可配置的温度场演化过程。该研究为热学拓扑研究奠定了理论基础,并可启发新的扩散场调控机理与方法。该工作第一作者为新加坡国立大学许国强博士,合作者包括浙江大学李鹰教授,中科院长春光机所李炜研究员,美国斯坦福大学范汕洄教授,通讯作者是新加坡国立大学仇成伟教授。

Configurable Phase Transitions in a Topological Thermal Material
Guoqiang Xu, Ying Li, Wei Li, Shanhui Fan, and Cheng-Wei Qiu
Phys. Rev. Lett. 127, 105901 (2021)
近年来,新加坡国立大学仇成伟教授团队在热学超构材料与非厄米热传递方面进行了一系列的探索,相关的研究如下:
1. Y. Li, W. Li, T. Han, X. Zheng, J. Li, B. Li, S. Fan, C.-W. Qiu, Transforming heat transfer with thermal metamaterials and devices, Nat. Rev. Mater. 6, 488–507 (2021).https://doi.org/10.1038/s41578-021-00283-2
2. R. Hu, W. Xi, Y. Liu, K. Tang, J. Song, X. Luo, J. Wu, C.-W. Qiu, Thermal camouflaging metamaterials. Mater. Today 45, 120-141 (2021).https://doi.org/10.1016/j.mattod.2020.11.013
3. G. Xu, K. Dong, Y. Li, H. Li, K. Liu, L. Li, J. Wu, C.-W. Qiu, Tunable analog thermal material, Nat. Commun. 11, 6028 (2020). https://doi.org/10.1038/s41467-020-19909-0
4. J. Li, Y. Li, P. Cao, T. Yang, X. Zhu, W. Wang, C.-W. Qiu, A continuously tunable solid-like convective thermal metadevice on the reciprocal line, Adv. Mater. 32, 20283 (2020). https://doi.org/10.1002/adma.202003823
5. Y. Li, Y.-G. Peng, L. Han, M.-A. Miri, W. Li, M. Xiao, X.-F. Zhu, J. Zhao, A. Alù, S. Fan, C.-W. Qiu, Anti-parity-time symmetry in diffusive systems, Science 364, 170–173 (2019).https://doi.org/10.1126/science.aaw6259
6. Y. Li, K.-J. Zhu, Y.-G. Peng, W. Li, T. Yang, H.-X. Xu, H. Chen, X.-F. Zhu, S. Fan, C.-W. Qiu, Thermal meta-device in analogue of zero-index photonics, Nat. Mat. 18, 48–54 (2019).https://doi.org/10.1038/s41563-018-0239-6
7. R. Hu, S. Huang, M. Wang, X. Luo, J. Shoimi, C.-W. Qiu, Encrypted thermal printing with regionalization transformation, Adv. Mater. 31, 1807849 (2019). https://doi.org/10.1002/adma.201807849
8. J. Li, Y. Li, T. Li, W. Wang, L. Li, C.-W. Qiu, Doublet thermal metadevice, Phys. Rev. Appl. 11, 044021 (2019). http://doi.org/10.1103/PhysRevApplied.11.044021
9. R. Hu, S. Zhou, Y. Li, D.-Y. Lei, X. Luo, C.-W. Qiu, Illusion thermotics, Adv. Mater. 30, 1707237 (2018). https://doi.org/10.1002/adma.201707237
10. Y. Li, X. Bai, T. Yang, H. Luo, C.-W. Qiu, Structured thermal surface for radiative camouflage, Nat. Commun. 9, 273 (2018). https://doi.org/10.1038/s41467-017-02678-8
11. T. Han, P. Yang, Y. Li, D. Lei, B. Li, K. Hippalgaonkar, C.-W. Qiu. Full‐parameter omnidirectional thermal metadevices of anisotropic geometry. Adv. Mater. 30, 1804019 (2018).https://doi.org/10.1002/adma.201804019
12. T. Yang, X. Bai, D. Gao, L. Wu, B. Li, J.T. L. Thong, C.-W. Qiu, Invisible sensor: Simultaneous sensing and camouflaging in multiphysical fields, Adv. Mater. 27, 7752 (2015). https://doi.org/10.1002/adma.201502513
13. T. Han, X. Bai, J.T.L. Thong, B. Li, C.-W. Qiu, Full control and manipulation of heat signatures: Cloaking, camouflage and thermal metamaterials, Adv. Mater. 26, 1731 (2014). https://doi.org/10.1002/adma.201304448
14. T. Han, X. Bai, D. Gao, J.T.L. Thong, B. Li, C.-W. Qiu, Experimental Demonstration of a Bilayer thermal cloak, Phys. Rev. Lett. 112, 054302 (2014). https://doi.org/10.1103/PhysRevLett.112.054302
15. T. Han, H. Ye, Y. Luo, S. P. Yeo, J. Teng, S. Zhang, C.-W. Qiu. Manipulating DC currents with bilayer bulk natural materials. Adv. Mater. 26, 3478-3483 (2014). https://doi.org/10.1002/adma.201305586
16. T. Han, J. Zhao, T. Yuan, D.Y. Lei, B. Li, C.-W. Qiu, Theoretical realization of an ultra-efficient thermal-energy harvesting cell made of natural materials, Energy Environ. Sci. 6, 3537 (2013). https://doi.org/10.1039/C3EE41512K


免责声明:本文旨在传递更多科研资讯及分享,所有其他媒、网来源均注明出处,如涉及版权问题,请作者第一时间后台联系,我们将协调进行处理,所有来稿文责自负,两江仅作分享平台。转载请注明出处,如原创内容转载需授权,请联系下方微信号。
