
撰稿|由课题组供稿

近日,华中科技大学武汉光电国家研究中心张新亮、施雷课题组在超高Q掺铒氧化硅微腔中实现了灵活的激射模式抑制与提取,并获得了高性能的单模激射。课题组提出了一种新型的掺铒微腔制备工艺,极大提升了掺杂均匀度和掺杂微腔Q值 (高达108),使用非谐振泵浦方式获得了89 µW的超低阈值。进一步地,提出了基于沿微腔轴向构建的add-drop结构从而有效实现了对激射模式的选择性抑制与提取,并获得了单模激射,边模抑制比达24 dB。该工作有望拓展稀土掺杂微腔激光器的应用前景,被选为ACS Photonics当期封面论文。
微腔激光器是尺寸在微米量级的光学微腔与增益组成的微型激光器。近年来回音壁模式微腔激光器得到了长足的发展,并应用于光通信、光学传感及光谱分析等领域。微型激光器的模式操控具有重要研究意义,如单模激光、波长开关、模式抑制、可控的涡旋激光等。目前已报道了不同方案来实现激射模式操控乃至单模激光,如空间泵浦调控、损耗调控、宇称时间对称耦合微腔、微腔尺寸调控等。氧化硅微瓶腔由于具有超高Q值,已被应用在多个领域。其具有丰富的轴向模式,激射模式非常丰富,这增强了模式竞争导致的不稳定性,因此对其模式进行抑制至关重要。华中科技大学张新亮、施雷课题组前期在微腔激光器及非线性方面完成了系列工作:(1)掺铒微腔激光器 [ACS Photonics 5(9), 3794-3800, 2018],使用所提出的新型制备方法获得了当时已报道最高Q值(5.2×107)的掺饵微腔,具有已报道最低阈值(非谐振泵浦)及最大波长调谐范围;(2)基于微腔的亚千赫兹线宽光纤激光器 [Optics Letters 43(21), 5315-5318, 2018],兼具单模激射、窄线宽及较好的波长调谐性能;(3)布里渊及拉曼微腔激光器 [Nanophotonics 8(5), 931-940, 2019],具有微瓦量级阈值及已报道最大波长调谐范围;(4)可控的克尔与拉曼-克尔微腔光频梳 [Nanophotonics, 8(12), 2321-2329, 2019],获得带宽近170 nm的拉曼-克尔光频梳所需的泵浦功率仅为954 μW,梳齿调谐范围达2.67 nm。
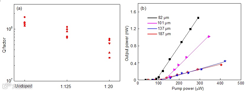
本工作中,华中科技大学的研究人员提出了一种微腔激射模式操控的新方法,可以有效地选择性抑制和提取激射模式。研究人员首先提出了一种新型的掺铒微腔制备工艺,如图1(b)所示。先将Er3+掺杂在PMMA溶液中,然后将PMMA溶液均匀旋涂在结构表面。结合二氧化碳激光器和电弧放电制备方法,成功制备出Q值高达108的掺铒氧化硅微腔,为目前已报道最高性能,且具有高掺杂均匀度。该工艺也适用于其他类型的氧化硅微腔,如微泡腔等。研究人员采用非谐振泵浦方式获得了百微瓦以下的激射阈值,如图2(b)所示。

图1 (a)器件原理示意图;(b)器件制备工艺示意图;(c)微瓶腔中的模场分布。
图2 (a)非掺杂和掺杂微腔的本征Q值;(b)不同直径掺杂微腔的激射阈值。
微瓶腔在轴向存在非简并模式,存在的激射模式众多,因此增加了模式竞争导致的激光不稳定性。研究人员通过沿微瓶腔轴向构建add-drop结构,可实现对激射模式的选择性抑制和提取,如图3所示。研究人员发现通过沿微瓶腔轴向精确移动探测(probe)耦合微纤,可有效提取不同波长的激射模式,这对于研究激射模式开关具有重要意义。此外,通过优化微瓶腔的尺寸和曲率半径,还实现了单模激光的提取,其边模抑制比达24 dB。该工作有望应用于激光开关、光学路由和光通信等领域。

图3 (a)有(无)probe微纤时的激射阈值;(b)有probe微纤时直通端的激射谱;(c)下载端的激射谱;(d)无probe微纤时直通端的激射谱;(e)有probe微纤时直通端的激射谱;(f)下载端的激射谱。

图4 (a)无probe微纤时直通端的激射谱;(b)有probe微纤时直通端的激射谱;(c)下载端的激射谱;(d)单模激射谱随泵浦功率的演化;(e) 单模激射时相应的阈值。
该研究成果以“Flexible Manipulation of Lasing Modes in an Erbium-Doped Microcavity via an Add−Drop Configuration”为题发表在ACS Photonics [8(10), 3069-3077 (2021)]上,并被选为当期封面论文。相关工作得到了国家自然科学基金(重大研究计划培育项目、面上项目)、中央高校基本科研业务费(学科交叉专项、人才培育专项)、区域光纤通信网与新型光通信系统国家重点实验室开放课题、应用光学国家重点实验室开放课题等项目的资助。

论文信息:
https://pubs.acs.org/doi/10.1021/acsphotonics.1c01096
免责声明:本文旨在传递更多科研资讯及分享,所有其他媒、网来源均注明出处,如涉及版权问题,请作者第一时间后台联系,我们将协调进行处理,所有来稿文责自负,两江仅作分享平台。转载请注明出处,如原创内容转载需授权,请联系下方微信号。


