

撰稿|由课题组供稿

电卡制冷效应是一种奇异的凝聚态物理现象,利用电介质可逆电致相变热组成热力学循环,逆着温度梯度输运热量。电卡制冷技术使用固态制冷材料,具有零温室效应潜能(GWP)、易于小型化/轻量化、高能效(COP)等特点,被美国能源部认定为未来重点发展的低碳制冷技术,是助力实现双碳目标的重要颠覆性前瞻技术之一。然而,目前最优的制冷电介质仍需极高外加电场,才能产生工业化可用的降温效果
。在实际样机工作过程中,高电场极易造成固态材料老化与击穿。因此,如何提升电介质在低电场下的电致熵变是本领域亟需攻克的难题。

成正比,并与偶极相关性
成反比。由于系统状态自由度与居里常数的复杂耦合关系,进一步提高P(VDF-TrFE-CFE)的本征电卡性能是相对困难的。因此增强电卡效应的研究普遍基于提高系统饱和极化强度中的可逆部分(P2)。简单来说,即保证零场偶极自由度不变,在相同电场下实现更小的极化熵,从而提高电致熵变。类似的方法往往以目前最优电卡高分子P(VDF-TrFE-CFE)为基础,以有机-无机材料复合的方式提高极化强度,为保障制冷材料的均匀性,循环寿命等后续工业化工艺提出了更高的要求。
相对于降低高场熵,上海交通大学机械与动力工程学院钱小石课题组反其道而行,提出了一种分子缺陷增熵的方法,可有效提高极性高分子的零场熵,同时降低场致相转换能垒。该类高熵高分子的低场电卡效应增强近300%,并可稳定循环超百万次,突破电卡制冷系统工程化应用的一项重要瓶颈。相关研究成果于12月23日以“High-entropy polymer produces a giant electrocaloric effect at low fields”为题在Nature上发表。钱小石副教授为本文第一作者与通讯作者。这是我国科研单位首次在Nature发表以电卡制冷为主题的研究论文。上海交通大学博士生韩东霖、郑力荣与博士后陈杰为共同第一作者;上海交通大学洪亮、黄兴溢与北京理工大学黄厚兵为共同通讯作者。

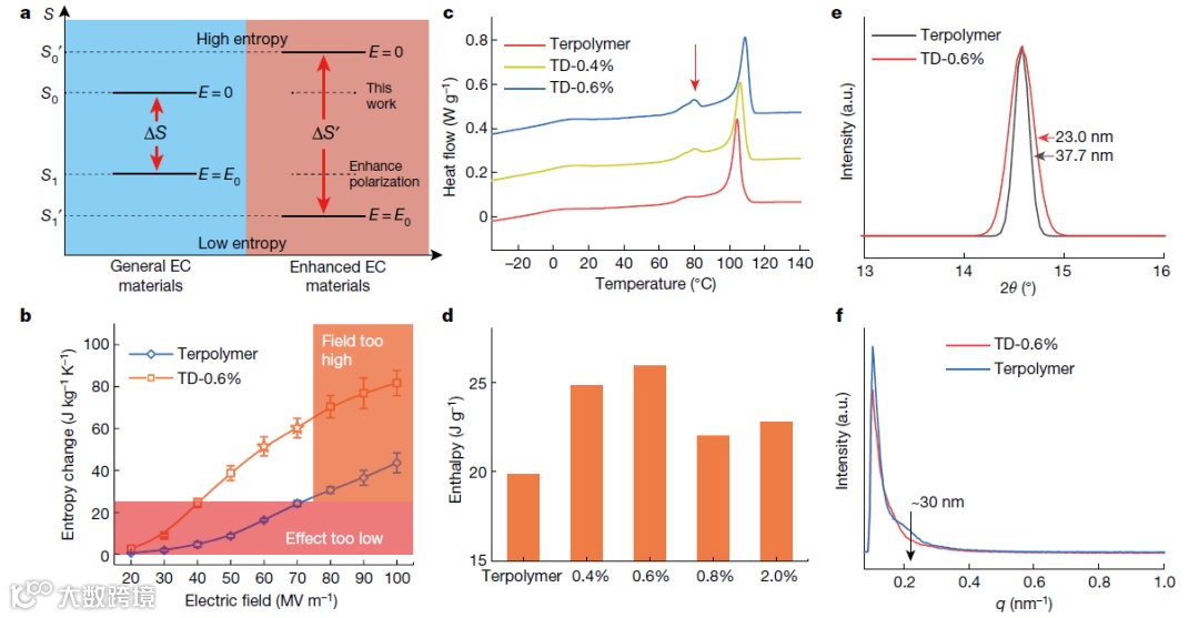
图1 通过设计极化高熵材料提高低场电卡效应
在同等外加电场(50 MVm-1)的驱动下,这种极化高熵材料表现出的电致熵变是目前最优制冷高分子的近4倍,红外相机直接测量温降接近7.5 °C。DSC和XRD测试表明,相对于P(VDF-TrFE-CFE)弛豫铁电高分子,高熵高分子显示出更高的系统结晶度,与更小的晶粒尺寸。因此可推测材料内呈现极化基元数量的显著增长,即系统具有更高的序参量自由度与极化熵。

图2 高熵聚合物场致相变分析
除了提高零场自由度,该型高熵材料更容易发生电致相变。上海光源同步辐射19U,16B线站原位电场下的X射线衍射结果表明,极化高熵材料的相变能垒更低,外加电场后极化的比例更高,在低电场驱动下相转变能力提高5倍。同时,准弹性中子散射实验表明,高熵高分子高频震动受限(1 ns),但高分子相变更容易,因而在实现低场相变的同时提高材料的机械强度,有利于探索该型材料后续产业化工艺。

图3 高熵聚合物的介电性能
介电表征结果亦暗示了该型固态制冷高分子极化基元的高熵状态。随着分子缺陷含量的微量提高,高熵制冷材料介电温谱的铁电-顺电相变峰值逐渐提高,同时峰值温度表现出显著的钉扎特性,揭示分子缺陷在促进铁电极化微区的总量的同时,并未提高极化基元间的居里常数(极化关联),进一步验证了系统所处的极化高熵状态。

图4 高熵聚合物的制冷循环特性
高熵电卡高分子在约40 MVm-1的低电场以上即可超过工程应用的电卡效应门槛,在80MVm-1的电场下循环工作六万余次后制冷性能基本不变。继续循环超过一百万次后制冷/制热能量可逆性显著提高,制冷效应仅衰减不足10%。使用该型高熵高分子的主动回热型制冷系统理论温跨超过50摄氏度、系统级仿真表明大温跨工况下COP > 11,热力学完善度超过80%。
钱小石长期从事介电/铁电功能材料与智能系统研究,参与了多款电卡高分子薄膜中试工艺研发,研制世界首台利用塑料制冷的芯片制冷系统,现任国际能源署先进热泵技术附件组专家,中国“相变制冷材料与技术专业委员会”委员。全职回国工作后,以第一或通讯作者在Nature、Joule(2)、Nature Nanotechnology、中国科学:技术科学(英文版)、国际制冷学报等学术刊物发表多篇论文,主持国家重点研发计划专项课题、自然科学基金面上项目、上海市科委“原创探索”项目等多项原创、学科交叉型科研项目。本工作中的上海光源原位Xray散射实验以及美国技术标准局中子平台的准弹性中子散射实验由洪亮课题组完成。黄兴溢团队、黄厚兵团队分别在材料设计合成和与相场仿真方面为本研究提供重要支持。
研究工作获得科技部重点研发计划变革性技术与关键科学问题专项、国家自然科学基金和上海市自然科学基金原创探索项目的资助。

https://www.nature.com/articles/s41586-021-04189-5
免责声明:本文旨在传递更多科研资讯及分享,所有其他媒、网来源均注明出处,如涉及版权问题,请作者第一时间后台联系,我们将协调进行处理,所有来稿文责自负,两江仅作分享平台。转载请注明出处,如原创内容转载需授权,请联系下方微信号


