
电磁波在普通介质中通常具有双向传输的互易性,然而在某些特殊介质中(比如磁光介质、旋磁介质),电磁波的传输可以具有非互易性,即电磁波沿一个方向传输通过介质后,不能沿原路径返回的特性。光学非互易器件,比如光隔离器和光环形器,只允许光单向通过,隔离背向散射光,不仅在光通信和光信息处理中起着不可替代的重要作用,而且是量子计算、量子测量等量子信息处理中不可或缺的功能元件。需要指出的是,非互易的电磁波传输是经典效应。相比于经典非互易器件,量子非互易器件,即少量子水平的非互易器件,是手性量子技术和拓扑光子学中的关键元件,在多功能量子信息处理平台中扮演着至关重要的角色,但是量子非互易器件的物理实现仍然面临巨大的挑战。
基于磁振子的混合量子系统因具有良好的可调控性、较长的相干时间、和其他量子系统较好的兼容性等优点,受到了大家的广泛关注,是近年来的一个研究热点。迄今为止,实验上已经实现了磁振子与微波光子、超导量子比特、光学光子以及声子的相干耦合,基于磁振子的多功能量子信息处理平台已经形成。
最近,陆军工程大学王艺敏博士和浙江大学张国强博士、游建强教授等在基于磁振子的混合量子系统中提出了一种量子非互易磁振子器件的原创方案,文章题目为“Dissipation-induced nonreciprocal magnon blockade in a magnon-based hybrid system”。该项工作在《中国科学:物理学 力学 天文学》英文版(SCIENCE CHINA Physics, Mechanics & Astronomy, SCPMA) 2022年第6期刊出。
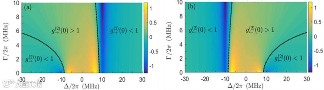
该混合量子系统由一个钇铁石榴石(Yttrium Iron Garnet)小球、一个超导磁通量子比特、一个传输线谐振腔和一根开放波导组成,并通过端口1或端口2加载微波信号,如图1(a)所示。一方面,超导量子比特和磁振子共同耦合到辅助微波腔场,通过微波腔场的虚激发实现超导量子比特-磁振子间的相干耦合,进而引起系统复合模式能级的非谐性,如图1(b)所示。另外一方面,超导量子比特和磁振子共同耦合到波导上,借助波导中的行波作为中间媒介产生超导量子比特-磁振子间的耗散耦合,进而引起能级的非均匀展宽,如图1(c, d)所示。图2通过展示该系统的等时二阶关联函数,表明了相干耦合和耗散耦合之间的干涉作用会导致与驱动场传输方向相关的非互易磁振子阻塞效应。
图1 (a)基于磁振子的量子非互易系统的示意图;(b)超导量子比特-磁振子相干耦合系统的能级简图和磁振子阻塞的示意图;基于相干耦合和耗散耦合之间干涉作用的超导比特-磁振子系统的能级简图和非互易磁振子阻塞的示意图(c)正向微波信号输入和(d)反向微波信号输入。
图2 依赖于微波驱动场方向的等时二阶关联函数随耗散耦合强度和超导量子比特-磁振子频率失谐量的变化情况。(a)正向微波信号输入;(b)反向微波信号输入。
该项研究首次在量子极限下利用磁振子的非互易效应,探索实现少磁振子水平的单向传输。该研究成果为设计基于磁振子的量子非互易器件提供了理论基础,可以在复合量子网络方面发挥重要作用。
Y. Wang, W. Xiong, Z. Xu, G.-Q. Zhang, and J.-Q. You, Dissipation-induced nonreciprocal magnon blockade in a magnon-based hybrid system, Sci. China-Phys. Mech. Astron. 65, 260314 (2022), https://doi.org/10.1007/s11433-021-1880-7
免责声明:本文旨在传递更多科研资讯及分享,所有其他媒、网来源均注明出处,如涉及版权问题,请作者第一时间后台联系,我们将协调进行处理,所有来稿文责自负,两江仅作分享平台。转载请注明出处,如原创内容转载需授权,请联系下方微信号。
