
撰稿 | 课题组供稿
研究背景
光学狄拉克锥是一种特殊的线性能带简并态,普遍存在于各种二维光子晶体中。通过引入空间反演对称性破缺,光学狄拉克锥会发生退简并从而过渡至能谷态(图1(a))。这种光子晶体被称为能谷光子晶体。能谷光子晶体的带隙中存在受能谷保护的边界态,目前已经在SOI光子晶体平板中得到了验证,实现了急弯波导、微腔激射等微纳光子集成器件。相对应的,光学节线环是一种存在于三维结构的能带简并态,它在能带中表现为一个闭合的圆环。通过引入对称性破缺,节线环可以过渡至能脊态(图1(b))。相比于能谷态,能脊态具有更丰富的光学行为,如电磁波负折射、表面结构依赖的古斯–汉森位移等。然而,复杂的三维结构不利于上述行为在更高光频段实现,甚至进一步获得新型功能性光子器件。为此,能否用简单的光学结构来实现能脊态,成为该领域迫切需要解决的问题。

图1 (a)二维系统中的狄拉克锥和能谷态的能带示意图;(b)三维系统中的节线环和能脊态的能带示意图。
创新研究
近日,来自中山大学物理学院、光电材料与技术国家重点实验室董建文教授、陈文杰教授、陈晓东副教授的研究团队用简单的全介质一维光子晶体,实现了理想的光学节线环简并态和能脊态,并实验证实了能脊光子晶体带隙中的表面态。这项工作的研究亮点包括以下三方面:
(1)一维节线环光子晶体
一般认为,一维光子晶体只能实现一维动量空间中的拓扑态。节线环是三维动量空间中的能带简并态,似乎不可能用一维光子晶体实现。研究团队研究了由二氧化硅和氮化硅材料组成的一维光子晶体(图2(a)),创造性地将非周期方向的动量考虑进来,巧妙地利用面内的旋转对称性,最终设计出理想的节线环能带(图2(b))。研究团队使用电感耦合等离子体增强化学气相沉积方法(ICP-CVD)制备了样品,测量出500-1100 nm波段的角分辨反射谱,证实了节线环的存在(图2(c))。

图2 一维光子晶体中理想的节线环能带。(a)节线环光子晶体示意图;(b)节线环能带;(c)节线环光子晶体的角分辨反射谱。
(2)一维能脊光子晶体
进一步,研究团队将上述节线环光子晶体原胞中的一层氮化硅材料(n=2)替换为富硅氮化硅(n=3),从而打破了结构的空间反演对称性,如图3(a)所示。此时,无带隙的节线环简并会过渡到有带隙的能脊态。他们把这种光子晶体称为能脊光子晶体。与能谷光子晶体类似,计算结果表明在原本节线环的位置附近形成了环流状的贝利磁通,这意味着该带隙中存在受拓扑保护的界面态(图3(c))。结合前期开发的低损耗富硅氮化硅薄膜生长工艺,研究团队制备出一维能脊光子晶体,并测量600-1100 nm波段的角分辨反射谱,在实验上观测到界面态(图3(d))。

图3 能脊光子晶体及其拓扑界面态。(a)能脊光子晶体的周期单元示意图;(b)打开节线环简并后的能脊态。(c)和(d):带隙中拓扑界面态色散曲线的(c)模拟和(d)实验结果。
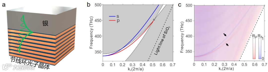
(3)光学Tamm态与节线环的内在联系
本世纪初,人们发现在一维光子晶体和金属的界面处可能存在的一种表面态,称之为光学Tamm态。在该工作中,研究团队发现节线环简并处刚好是光子晶体反射相位的奇点,这使得光学Tamm态的存在条件总是可以得到满足。因此,在金属和节线环光子晶体的界面处必然会存在由相位奇点保护的光学Tamm态,这为确定性指出并设计光学Tamm态提供了理论指导。研究团队使用电子束蒸发方法在一维节线环光子晶体表面镀上一层银膜,通过测量600-1000 nm波段的角分辨反射谱证实了光学Tamm态的存在。

图4 节线环光子晶体的Tamm表面态。(a)一维光子晶体与银的界面示意图。(b)和(c):光学Tamm态色散曲线的(b)模拟和(c)实验结果。
前景展望
研究人员利用简单的全介质一维光子晶体实现了复杂的节线环和能脊态,为在光学波段实现表面态的负折射、表面结构依赖的古斯–汉森位移等光学现象提供了基础。此外,通过引入其他类型的对称性破缺,节线环也可以过渡至外尔点简并。因此,该工作提出的一维节线环光子晶体为探索外尔点及其相关的拓扑表面态在微纳光学中的应用提供了可能。
论文信息:
该研究成果以"Ideal Nodal Rings of One-Dimensional Photonic Crystals in the Visible Region"为题在线发表在Light: Science & Applications。中山大学是独立完成单位,论文第一作者是邓伟民博士后,通讯作者是陈文杰教授和董建文教授。
Deng WM., Chen ZM., Li MY., et al. Ideal nodal rings of one-dimensional photonic crystals in the visible region. Light Sci Appl 11, 134 (2022).
免责声明:本文旨在传递更多科研资讯及分享,所有其他媒、网来源均注明出处,如涉及版权问题,请作者第一时间后台联系,我们将协调进行处理,所有来稿文责自负,两江仅作分享平台。转载请注明出处,如原创内容转载需授权,请联系下方微信号。


