
撰稿 | 课题组供稿
一、导读
近日,中国科学技术大学郭光灿院士团队李传锋、许小冶课题组,通过搭建具有完整初态制备和末态刻画能力的大尺度光量子行走平台,开展了对孤立可积量子系统中的平衡和广义热化机制的综合研究。其实验结果首次证明了广义本征态热化假说在诠释可积系统中广义热化过程的有效性。
该文章近日发表在国际光学顶尖期刊《Light: Science & Applications》,题为“Experimental Verification of Generalized Eigenstate Thermalization Hypothesis in an Integrable System”,论文第一作者是中国科学技术大学博士后王琴琴,通讯作者为许小冶、韩永建和李传锋教授。
二、研究背景

图1. 热化和广义热化机制。(a) 遍历性(Ergodicity)。(b) 本征态热化假说(ETH)。(c)广义本征态热化假说(GETH)。
在经典力学中,一个孤立的不可积系统最终都会弛豫到一个热力学平衡状态。经典统计力学告诉我们,只需要知道系统初始时刻的能量等粗略的宏观信息而不需要关心其具体的细节就可精确地预言这个热平衡态及其所具有的性质。如图1(a)所示,这种经典热化过程“普适性”的潜在机制可以通过遍历性(Ergodicity)解释:在足够长时间的演化过程中,系统会接近等能曲面上的每一个点,从而均匀地覆盖整个曲面。因此热平衡态可以通过微正则系综在等能曲面上求平均得到。
对于普遍缺乏遍历性的孤立量子系统来说,其在经过足够长的时间后系统也会发生热化,处于热平衡时其可观测量的期望值也可以对均匀分布的微正则系综求平均得到。理解量子热化过程的一个重要角度是通过本征态热化假说(ETH)。如图1(b)所示,ETH指出每一个能量本征态都是一个热态。初始时刻,能量本征态之间的相干性会隐藏这个现象,但是时间演化过程中能量本征态之间的退相干会揭示这种初始被隐藏的现象。
然而对于可积的孤立量子系统(比如量子行走),在额外的守恒量(比如动量)的约束下无法热化。尽管如此,可积量子系统仍然可以发生广义热化。广义热化指出弛豫后的局域可观测量可以通过广义 Gibbs 系综来描述。广义 Gibbs 系综并不是一个热态,因此不能直接使用本征态热化假说来理解。然而,其潜在的机制在理论上可以通过广义本征态热化假说(GETH)来解释。如图1(c)所示,在GETH中,传统的能量本征态被拓展为系统哈密顿量和额外守恒量的共同本征态。
三、创新研究
理解孤立量子系统中平衡态的普适性的起源已经成为量子非平衡物理中的核心问题之一。在这项研究工作中,研究团队利用如图2所示的光量子行走装置,通过量子态工程和本征矢量重构技术,完成了对可积量子系统中的GETH有效性的实验证明。本研究启发我们在一个较为普适的量子行走平台中探索和理解量子统计力学的基本理论。

图2. 量子行走模型和实验装置示意图。(a) 量子行走包括一个无限长的一维离散晶格子系统和一个自旋子系统,二者间相互作用通过自旋轨道耦合实现。(b) 光量子行走装置主要包括四个部分:1)自发参量下转换产生可预报的单光子作为行走者;2)量子态工程技术制备晶格空间上的任意高斯波包;3)一系列半波片和方解石晶体实现的10步量子行走演化;4)单光子上转换探测器分析系统的状态。
根据GETH,在一个宏观小且微观大的守恒量的窗口内,具有相似守恒量的共同本征态的任意叠加态都可以弛豫到同一局域的约化密度矩阵且与其初始条件的细节无关,从而恢复了稳态的普适性。因此,为了利用量子行走平台验证GETH的有效性,一个重要且相当困难的步骤就是在小的能量-动量窗口内,将系统初始化为两个守恒量的共同本征态的叠加态上。
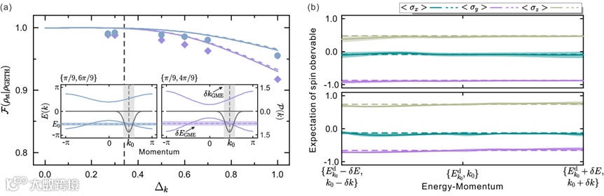
李传锋、许小冶课题组通过调控量子行走中的每一步的自旋控制参数,从而利用系统自身的动力学演化过程来实现这种特殊的系统初始化任务,并同时观察了不同初态下系统长时间的相干动力学演化过程。他们发现对于任一初态,自旋子系统弛豫后的稳态总是可以通过对角系综来预测,实验结果如图3所示。但是当初态动量空间半高宽足够小时(如图4a所示),自旋子系统弛豫后的稳态可以用广义微正则系综来表征。因此与初始叠加态的具体形式无关,而只与系统的守恒量有关。这一结果直接证明了GETH的有效性。GETH要求在具有相似守恒量值的共同本征态之间,其局域可观测的期望值几乎没有起伏。他们进一步通过前期发展的本征矢量重构技术,实验观测到在小的能量-动量窗口内本征矢量的三个泡利算符的期望值几乎是一个常数,满足GETH的要求。实验结果如图4b所示。

图3. 实验观测自旋子系统的平衡。(a) 位置和动量空间下的初态概率分布。(b) 自旋子系统的弛豫过程。(c) 自旋态的布洛赫(Bloch)球表示。

图4. 实验验证广义本征态热化假说。(a) 不同初始条件下,自旋子系统弛豫后的稳态与GETH预测的对比。(b) 选取的能量-动量窗口内本征矢量的三个泡利算符的期望值。
免责声明:本文旨在传递更多科研资讯及分享,所有其他媒、网来源均注明出处,如涉及版权问题,请作者第一时间后台联系,我们将协调进行处理,所有来稿文责自负,两江仅作分享平台。转载请注明出处,如原创内容转载需授权,请联系下方微信号。


