

论文信息:
Haotuo Liu, Yang Hu, Qing Ai, Ming Xie, and Xiaohu Wu, Spontaneous emission modulation in biaxial hyperbolic van der Waals material, Journal of Applied Physics, 132, 175105 (2022).
论文链接:
https://doi.org/10.1063/5.0120203
近日,山东高等技术研究院吴小虎教授和哈尔滨工业大学艾青教授合作,在美国物理联合会(AIP)旗下期刊《Journal of Applied Physics》上发表了题为“Spontaneous emission modulation in biaxial hyperbolic van der Waals material”的研究性论文。
量子发射器的自发辐射(Spontaneous Emission, SE)被认为是发光材料的固有属性,其调控对微/纳激光及量子计算领域的发展至关重要。然而,现有自发辐射调制方法一般涉及复杂的纳米制造技术,且调节范围有限,这使其难以推广应用。α-MoO3是一种新兴的天然范德瓦尔斯(van der Waals, vdWs)材料,具有三个正交晶轴、三个剩余射线带和卓越的面内双曲特性,为中红外纳米光学开辟了新的道路。与传统的人工材料相比,天然材料避免了复杂光刻技术、高欧姆损耗以及非局域响应。研究表明,通过旋转双曲材料的晶轴可以实现对其辐射传输特性的有效控制。然而,这种方法还未被应用在自发辐射调制领域。基于此,我们使用旋转晶轴的方法对α-MoO3平板结构的自发辐射进行调制。通过结合材料介电函数的旋转矩阵,我们分别计算了Purcell因子和调制系数与旋转角度和波数的关系并给出相应的理论解释。此外,我们将半无限大介质计算模型推广到有限厚度薄膜,并得到了调制系数峰值角度随厚度的变化关系。我们相信该研究将为实现自发辐射的有效调制提供新的方案。
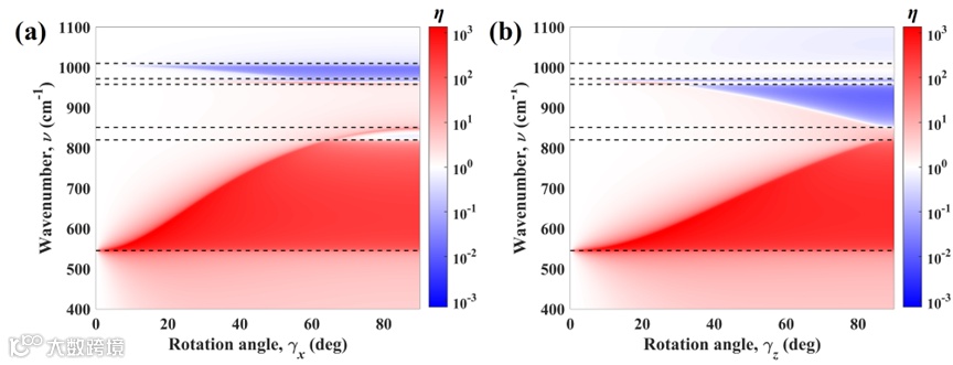
图3晶轴旋转平面对Purcell因子和调制系数的影响图
图5 波数为634 cm-1时,调制系数与晶轴旋转角度的关系图

图7不同厚度α-MoO3平板的调制系数对比图

图8不同厚度α-MoO3平板反射系数的虚部在波矢空间的分布图
综上所述,本文通过改变α-MoO3的晶轴取向实现了对单层平板结构自发辐射的有效调控。结果表明,当α-MoO3的晶轴在y-z或x-y平面旋转时,最大调制系数超过三个数量级,该现象可以归因于α-MoO3中的双曲声子激元在特定角度的激发。然而,当α-MoO3的晶轴在x-z平面旋转时,其自发辐射率几乎不发生变化。最后,本文进一步研究了薄膜厚度对单层平板结构自发辐射调制的影响。我们发现,随着厚度的减小,调制系数可以进一步增加到~2000,远超现有文献报导水平。该研究可以为基于各向异性材料的自发辐射调制提供理论指导。
免责声明:本文旨在传递更多科研资讯及分享,所有其他媒、网来源均注明出处,如涉及版权问题,请作者第一时间后台联系,我们将协调进行处理,所有来稿文责自负,两江仅作分享平台。转载请注明出处,如原创内容转载需授权,请联系下方微信号。
