


撰稿|本文由课题组供稿
近日,同济大学任捷教授声子研究团队提出了可以快速高效地估算晶体声子热导率的理论方法和高通量计算框架。该工作一共搜集了几百种不同晶体材料的声子热导率实验值,横跨七种完全不同晶系的布拉维点阵,建立了一个小型的实验值数据库,并基于该数据库的实验热导率来进一步验证其高通量计算框架预测声子热导率的准确性。他们以声子物理为桥梁,从简谐和非简谐相互作用两个方面,建立了宏观弹性力学与微观传热模型的一般联系,取名为Phonon-Elastic-Thermal model,简称PET模型。给定晶体材料的微观原子结构,科学家可以通过第一性原理计算宏观弹性力学性质(体模量和剪切模量),得出其声学属性,以及在体积膨胀压缩变化下的非线性弹性声学属性,从而运用声子物理学得到晶体热导率。结果显示,在跨越七大不同晶系的所有实验-预测的检验上,这种高通量的PET模型框架预测的声子热导率与实验值符合的很好,其整体的皮尔逊关联系数可以达到0.82(见图1)。这样,只需压一压敲一敲听一听晶体,声子物理学家们就实现了高通量计算材料声子热导率。该工作以“High-Throughput Estimation of Phonon Thermal Conductivity from First-Principles Calculations of Elasticity”为题发表在面向“实验与理论中的新工具新方法”的国际知名期刊《The Journal of Physical Chemistry A》上(https://doi.org/10.1021/acs.jpca.2c06286)。

图1. 基于PET模型的高通量计算框架以及PET模型预测声子热导率与实验值的对比,其中P=0.82代表整体的皮尔逊关联系数。最下方的为PET模型的声子热导率理论公式。
当前,具有高或低热导率的晶体材料广泛应用在热管理、热输运、以及热电领域。而随着材料科学计算的快速发展,在具有丰富物质结构的众多材料数据库中,存在很多潜在的热功能材料候选者。与此同时,快速和高效预测材料功能性质的高通量计算框架能加快对功能材料的预测与设计。然而,由于声子热导率的计算十分耗费计算时间和资源,这很大程度上进一步限制了对热功能材料性质的预测与设计。因此,发展一套能快速和高效估算材料声子热导率的高通量计算框架是十分重要和迫切需要的。
任捷教授团队构建了一个晶体材料声子热导率的小型“数据库”,里面包含226个晶体结构及其对应的晶格热导率实验值,第一性原理计算的弹性力学性质(体模量和剪切模量),声速,和表征非简谐属性的格林艾森参数。这个数据库为研究声子热导率构效关系提供了重要的数据基础。(见图2)
该团队从微观的声子理论出发,探究了宏观弹性力学量与材料热导率之间的内在联系,并提出了PET模型(Phonon-Elastic-Thermal model),搭建起了弹性力学、声子物理和热学之间的桥梁。科学家首先通过第一性原理计算宏观弹性力学性质(体模量和剪切模量),得出其声学属性,以及在体积膨胀压缩变化下的非线性弹性声学属性;然后从线性声学属性得到材料的热容和声子群速度,从非线性弹性声学属性得到声子-声子的非线性相互作用和声子寿命(联系了散射率,弛豫时间);最后运用声子物理学,综合声学支声子和光学支声子的各自不同的贡献,得到整体的声子热导率,最终实现材料晶体热导率的快速预测。

图2. (a)包含晶格热导率的晶体材料数据库,(b)声子热导率与弹性力学量之间的联系。
在PET模型中,研究人员从理论上推导出晶格热导率与基本结构信息和弹性力学量之间的关系,并通过Sine-band-folding效应(能带折叠+Sine能带修正,见图3)定量地指出,声学支热导率与原胞中原子个数之间的关系是,
,其中
是声学支热导率,n是原胞中原子个数。这个理论结果与Slack的实验结果十分吻合。同时,研究结果还表明了总体上光学支声子相对与声学支声子对热导率的贡献是比较小的,但是对于低热导率材料,光学支声子对热导率的贡献是不能忽略的。(见图4)

图3. Sine-band-folding效应。图(a)扩展布里渊区的能带,图(b)第一布里渊区能带

图4. (a)实验值热导率与原胞中原子个数之间的关系,(b)光学支和声学支的分布,以及和原胞中原子个数之间的关系。
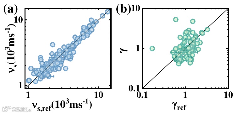
研究人员基于PET模型和第一性原理弹性力学性质计算搭建了能够快速估算热导率的高通量计算框架。通过与实验值的对比,PET模型在7种不同晶系中的表现都与实验值符合的很好(见图5)。而且,PET模型对晶体的平均声速和格林艾森系数的估算总体来说是比较准确的,但是,相对于平均声速的准确性,格林艾森参数的预测准确性会稍微差一些。(见图6)

图5. PET 不同晶系的PET模型预测晶格热导率与实验值的对比。

图6. (a)PET模型平均声速预测值与文献值的对比,(b)PET模型的格林艾森参数与文献值的对比。
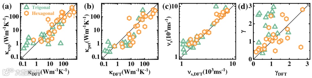
为了进一步探究PET模型对声子热导率预测能力的瓶颈在哪,研究人员选取预测结果最差的三角晶系和预测最好的六角晶系,并通过第一性原理分别进行声子热导率的严格计算(密度泛函DFT计算)。对比实验值和DFT的计算值发现,模型预测声子热导率能力的瓶颈在于描述材料非简谐性质的格林艾森参数。格林艾森参数的预测准确性有待进一步提高。(见图7)

图7. 三角晶系与六角晶系的热导率、简谐性质和非简谐性质。(a)热导率DFT-BTE计算值与实验值的对比,(b)热导率PET模型预测值与DFT-BTE(密度泛函-玻尔兹曼输运方程)计算值的对比,(c)平均声速PET模型预测值与DFT计算值的对比,(d)格林艾森参数PET模型预测值与DFT计算值的对比。
该工作通过弹性力学、声子物理、和热学之间的内在联系,从理论上提出了基于PET模型的声子热导率计算,并解释了声学支声子热导率与原胞中原子个数的关系,
。同时,基于PET模型还搭建了能够快速有效地预测声子热导率的高通量计算框架。研究结果显示,通过高通量框架预测的226个晶体的声子热导率与实验值符合的很好。而且,对比DFT-BTE(密度泛函-玻尔兹曼输运方程)的计算结果,研究人员发现,PET模型的对材料非简谐性的格林艾森参数预测能力还有待进一步提高。下一步,如果能进显著提高对非简谐性的格林艾森参数的快速准确刻画,就能进一步显著提高PET模型的热导率预测准确性。
总的来说,通过PET模型的快速预估,可大大缩小材料搜索和筛选范围,然后在更小范围内再后继采用更精细花费更大的方法,来实现准确的材料热导率计算。基于PET模型的高通量计算框架为高通量筛选和设计热功能和声子热输运材料提供了强有力的工具。

Reference:“High-Throughput Estimation of Phonon Thermal Conductivity from First-Principles Calculations of Elasticity”, S. Yan, Y. Wang, F. Tao, and J. Ren*, J. Phys. Chem. A, 126, 8771 (2022), https://doi.org/10.1021/acs.jpca.2c06286
免责声明:本文旨在传递更多科研资讯及分享,所有其他媒、网来源均注明出处,如涉及版权问题,请作者第一时间后台联系,我们将协调进行处理,所有来稿文责自负,两江仅作分享平台。转载请注明出处,如原创内容转载需授权,请联系下方微信号。
