


撰稿|由课题组供稿
神话故事“神笔马良”中主人翁马良有一支神奇的画笔,想要什么,只要用笔一画,就立马实现了愿望。在科学研究中,我们也希望有这样一支神笔,在特定材料的面板上随心所欲地画画,一条条传播信息的波导就被刻画出来。笔到哪里,波导就设在那里。现在,这样的幻想已经被实现。画布是二维光子晶体平板,画笔则是最常见的直流磁场。
近些年来,基于量子霍尔效应、量子自旋霍尔效应和量子谷霍尔效应的拓扑光子学引发了世界范围的研究热潮,其关键因素是拓扑光子结构能够构建一种不同寻常的拓扑边界波导。由于受到拓扑保护,这种波导具有很强的抗后向散射和对缺陷(或杂质)免疫的能力。波导的这种特性在未来光芯片设计、慢光传输和光隔离器设计等领域将发挥重要作用。但目前拓扑边界波导设计最大的技术瓶颈是可重构的能力差。由于拓扑边界波导是基于体结构的拓扑相位,只有两种体结构具有不同的拓扑相位,并具有公共的带隙,在他们的边界上才能形成拓扑边界态。由于结构的拓扑相位是基于体结构,因此,要实现对波导的重构,就必须对边界两侧的体结构进行改变。一般情况下,拓扑体结构是由大量周期单元构成,体结构的改变要涉及调节大量的结构单元,在工程和技术上都面临极大的挑战。
基于此,江苏大学方云团教授课题组在浙江大学何赛灵教授的指导下,在可重构拓扑光子边界波导设计方面独辟蹊径。在同一种二维光子晶体结构中既实现了量子霍尔效应(加磁场),又实现了量子谷霍尔效应(不加磁场),并让两种霍尔效应产生的带隙发生交叠,形成公共带隙。这时,把同一种结构分成加磁场和不加磁场两个区域,这2个区域虽然几何构型完全相同,但具有不同的拓扑相位。于是结构边界完全由磁场的分布来决定,在磁场的边界就形成拓扑边界波导。该波导的独特性在于:结构模块的材料和构型完全相同,边界波导路径完全由外磁场决定。这时的磁场就像马良的那支神笔,磁场写到哪里,哪里就形成波导。该研究结果解决了拓扑边界波导可重构的技术难题。相关工作发表于《New Journal of Physics》。
图1.结构模型示意图。三角复式晶格单胞内由三个三角形旋磁介质柱组成。三角介质柱绕中心旋转会导致谷拓扑相位的变化。





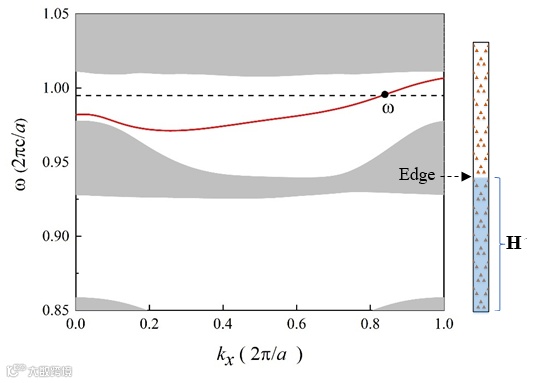
图4. 模型超胞和边界态。右边插图超胞有相同的旋磁介质柱组成,下半部分加磁场,上半部分不加磁场。加磁场的部分产生量子霍尔效应,不加磁场的部分产生量子谷霍尔效应。左边红色曲线是两种效应下形成的拓扑边界态曲线,灰色部分是体带。

图5. 磁场调制下形成的边界示意图。左图边界完全由磁场边缘界定,右图蓝色面积是磁屏蔽模板,边界由模板设定。

图6. 在图5基础上由磁场设置多样的边界,拓扑边界态传输的仿真结果。

https://iopscience.iop.org/article/10.1088/1367-2630/acb2e7
免责声明:本文旨在传递更多科研资讯及分享,所有其他媒、网来源均注明出处,如涉及版权问题,请作者第一时间后台联系,我们将协调进行处理,所有来稿文责自负,两江仅作分享平台。转载请注明出处,如原创内容转载需授权,请联系下方微信号。
