

撰稿|由课题组供稿
热物性是材料的基本特性,对微纳电子器件热管理、热电转换、热绝缘等应用至关重要。原子尺度模拟是预测材料热物性和研究微观热输运机理的重要工具,其关键在于描述原子间相互作用的势函数。传统上,计算原子间作用力的常用手段主要包括第一性原理计算和经验势函数。基于密度泛函理论的第一性原理计算(DFT)是广泛采用的准确可靠的计算方法,其计算结果通常与实验值吻合很好,但第一性原理计算只能研究很小的体系(通常最多几百个原子);经验势函数的计算效率高,能够模拟大规模原子系统,但其准确性较低。
近年来,机器学习在构建势函数方面大显身手,为开展准确高效的原子尺度模拟提供了新的重要手段。机器学习势函数计算精度与DFT相当,计算成本能够比DFT低几个数量级。近日,山东高等技术研究院郭瑞强研究员课题组在International Journal of Heat and Mass Transfer,Physical Review Materials, Carbon Trends发表了关于机器学习势函数的系列文章。针对完美晶体和含缺陷(点缺陷、晶界)材料体系,构建了机器学习势函数并用其研究了相关体系的声子热输运特性。
1. 层状材料机器学习势函数的构建与四声子散射研究
图1 利用GAP、DFT和GAP-ref预测的面内热导率(左上)、法向热导率(右上)、三声子散射率(左下)和声子谱(右下)。GAP-ref源自文献 [The Journal of Physical Chemistry C, 2020, 124 (22278-22290)]。
图2利用GAP和DFT预测的MD轨迹(左)和一定形变范围内块体h-BN的能量(右)。
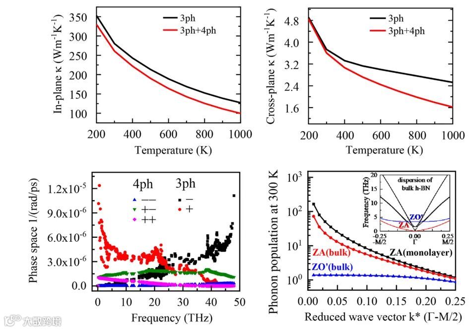
图3 面内热导率(左上)和法向热导率(右上)随温度的变化:3ph (仅考虑三声子散射) VS 3ph+4ph (同时考虑三声子和四声子散射)。左下:三声子和四声子的相空间,右下:块体h-BN中的ZA劈裂。
2. 含点缺陷材料机器学习势函数的构建与声子散射竞争机制研究
图4 利用GAP和DFT预测的声子谱(左上)、热导率(右上)、0.01%As(左下)和B(右下)空位引起的声子散射率。
图5 左图:含空位缺陷c-BAs热导率随空位浓度的变化。右图:含不同空位浓度c-BAs的热导率随温度的变化。
3. 基于结构单元模型的晶界体系机器学习势函数
图6 利用GAP、DFT和Tersoff势预测的石墨烯晶界形成能(左)和位错密度(右)。
图7 利用GAP和DFT预测的Σ19石墨烯晶界结构。
图8 利用GAP、DFT和Tersoff势预测的石墨烯晶界声子态密度:Σ7(左),Σ19(右)。
图9 利用GAP、DFT和Tersoff势预测的形变石墨烯晶界Σ7(左上),Σ19(右上),Σ111(左下)和线缺陷界面(右下)的能量-体积曲线。
论文信息
1.Jialin Tang, Guotai Li, Qi Wang, Jiongzhi Zheng, Lin Cheng*, Ruiqiang Guo*. Effect of four-phonon scattering on anisotropic thermal transport in bulk hexagonal boron nitride by machine learning interatomic potential, International Journal of Heat and Mass Transfer 2023, 207 (124011).
2.Jialin Tang, Guotai Li, Qi Wang, Jiongzhi Zheng, Lin Cheng, Ruiqiang Guo*. Competition between phonon-vacancy and four-phonon scattering in cubic boron arsenide by machine learning interatomic potential, Physical Review Materials 2023, 7 (044601).
3. Ruiqiang Guo*, Guotai Li, Jialin Tang, Yinglei Wang, Xiaohan Song. Small-data-based Machine Learning Interatomic Potentials for Graphene Grain Boundaries Enabled by Structural Unit Model, Carbon Trends 2023, 11 (100260).
郭瑞强,山东高等技术研究院研究员,热功能材料团队召集人。2015年博士毕业于香港科技大学,曾在加州理工学院和匹兹堡大学从事博士后研究。长期从事微纳尺度导热与能量转换研究,主要研究兴趣包括热输运理论计算、电子器件热管理、以及热功能材料制备,相关成果发表在Cell Reports Physical Science,Energy Storage Materials,Nano Energy,Materials Today Physics,Physical Review B等高水平期刊,论文总引用1300余次。在国内外学术会议做邀请报告/口头报告十余次,并多次担任美国物理学会、美国机械工程师学会年会的分会主席。曾获泰山学者青年专家、山东省海外优青、山东省海外高层次人才等荣誉资助。
本课题组长期招聘相关方向的博士后和研究助理(ruiqiang.guo@iat.cn)。



