

撰稿|由课题组供稿
拓扑相由拓扑不变量来刻画,而拓扑不变量的定义是在零温的条件下。长久以来温度对拓扑相的影响在理论上是一个并未研究清楚的问题。近日,厦门大学物理科学与技术学院李运美副教授课题组通过在共线反铁磁体系中引入子格非对称相互作用,通过升高温度实现了自旋波从零温下的拓扑平庸相向某一临界温度之上的非平庸相的转变。相关成果以《Temperature-induced magnonic Chern insulator in collinear antiferromagnets》为题,发表于Physical Review B。李运美副教授为论文第一和通讯作者。
对拓扑物态的研究是凝聚态物理的核心课题之一。拓扑相由拓扑不变量来刻画,其定义并不会考虑温度的影响。有限温度对拓扑相的影响在理论上一直是非常值得研究的问题。尤其是在磁性体系,有限温度带来的热涨落对磁序的影响非常大,在居里或者奈尔温度之上,磁体不再表现出宏观磁性。自旋波是磁性系统中自旋涨落带来的元激发,先前对自旋波拓扑的研究主要基于线性自旋波理论,忽略掉自旋波之间的相互作用项,因此在零温的条件成立。有限温度下的自旋波相互作用项与热涨落的共同作用会带来自旋波的非线性修正。而在此过程中自旋波拓扑相的命运是一个远未解决的问题。由此延伸的一个课题是有限温度能否建立非平庸的自旋波拓扑相。本文试图来回答。
在本研究中,研究人员聚焦于二维共线反铁磁体系,如图1所示,实例材料为MnPS3以及MnPSe3。共线反铁磁体系自旋波含有两支简并的,相反手性的自旋波能谱,并且拓扑平庸,有限温度仅仅带来自旋波能谱的重整化。因此我们引入子格非对称的相互作用:子格的易轴各向异性以及次近邻子格内部交换相互作用的不对称,可在同质或者异质结内实现,如图1所示。

图1. 六角共线反铁磁体系,A和B两子格的子格内次近邻海森堡相互作用不对称,
1. 零温拓扑相
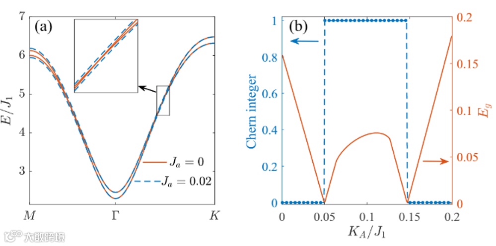
由于子格的非对称相互作用,线性自旋波能谱简并打破,在易轴各项异性强度的某些区间内,两支能谱交叉,如图2(a)实线所示。MnPS3以及MnPSe3内禀的偶极相互作用能打开交叉区域能隙,如图2(a)虚线所示。而在这些区间内,自旋波声学支能带的陈数为1。而在能谱交叉的区域外,能带的陈数为0,如图2(b)所示。

图2. (a) 零温时自旋波能带。(b) 声学支陈数以及带隙随着A子格上易轴各向异性强度的变化。
2. 有限温度下相图与拓扑转变
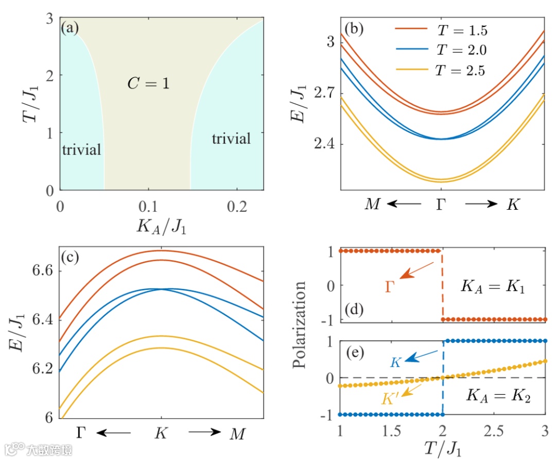
在有限温度下,利用有限温度场论的方法来处理自旋波之间的相互作用,提取对自旋波的温度依赖的自能修正。有限温度下的相图如图3(a)所示。在零温下拓扑非平庸区间的拓扑相并不会被温度破坏。有趣的是,零温下拓扑平庸的区间当温度升高超过某一临界温度之上时,也将展现出陈数为1的拓扑相。在相图的左边区域,随着温度升高,能带在

图3. (a) 相图。(b) 相图左边区域在不同的温度下能带的演化。(c) 相图右边区域在不同的温度下能带的演化。(d) 自旋波手性的转换。
3. 实验探测
温度诱导的拓扑转变可通过中子散射谱在不同温度下观测自旋波能谱的带隙关闭与打开来探测,但是中子散射实验探测平台有限。自旋波的手性可通过磁拉曼谱来探测,升温时自旋波能谱的手性伴随着带隙的关闭和打开出现转换的现象。对于相图左边的拓扑转变,
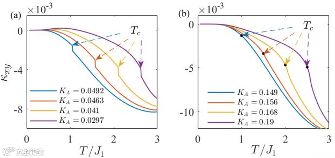
此外,平庸到非平庸的相变意味着贝利曲率在动量空间的非连续变化,自旋波的热霍尔效应可能可以反映这一点。如图4 (a)所示,对于相图左边的转变,热霍尔电导越过临界温度时表现出不连续性,反映出拓扑转变。对于相图右边的转变,热霍尔电导连续,这是由于相变发生于动量空间K点,处于高能区,热霍尔电导主要由低能区贡献,因此并不能反映相图右边的拓扑转变。

图4. (a) (b) 热霍尔电导随着温度的变化。
通过简单的破坏子格对称,升高温度就能诱导自旋波的拓扑相,理论方案简单,适用于所有的二维面外共线反铁磁体系,MnPS3以及MnPSe3是理想的实验材料。同时亚铁磁体系由于本身就缺少子格对称,因此预期也可以看到类似的结果。
文章链接:

https://doi.org/10.1103/PhysRevB.107.214417

