
今天我们继续为大家带来本周的超材料前沿研究精选,内容涉及打破仿生分层晶格超材料中不同机械性能之间的权衡,通过位点控制耦合腔阵列实现紧束缚模型哈密顿量,用于亚波长散射体三维定位的人耳式超声换能器等敬请期待!
索引:
1 解扭曲Moiré物理:周期性应变单层石墨烯中的近乎理想能带和分数陈绝缘体
2 用于亚波长散射体三维定位的人耳式超声换能器
3 通过位点控制耦合腔阵列实现紧束缚模型哈密顿量
4 实现绝对高斯变形的气动单元
5 打破仿生分层晶格超材料中不同机械性能之间的权衡
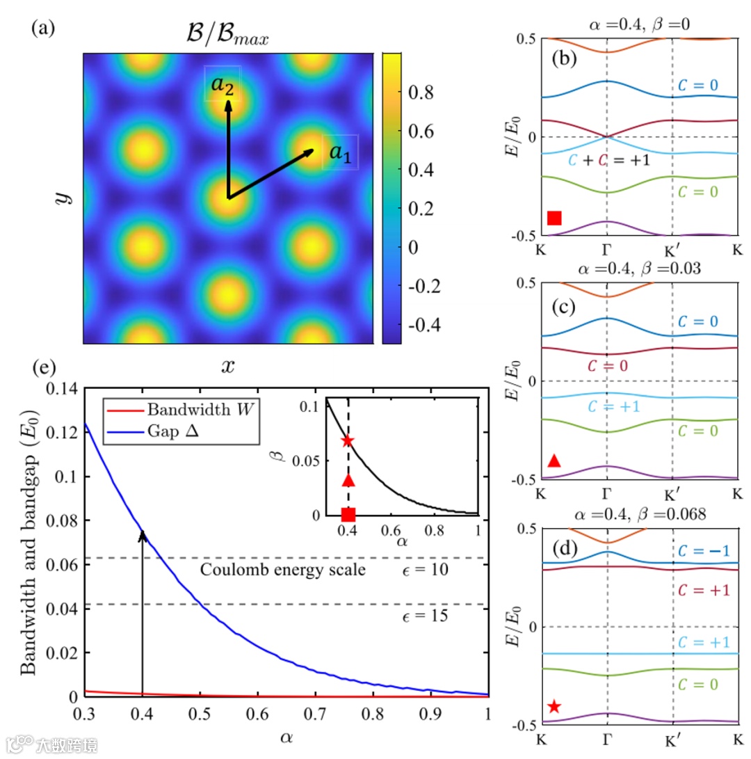
1、 周期性应变单层石墨烯中的近乎理想能带和分数陈绝缘体
Moiré系统已成为研究强相关性的丰富平台,通过调整扭转角度可以调整带宽,从而实现拓扑平凡和非平凡的强相互作用能带。除了带宽和拓扑之外,最近的工作已经将波函数的量子几何确定为理解相互作用的核心要素。量子几何主要由Moiré势的形式决定,很难对其进行调整。例如扭曲双层石墨烯(TBG),理论上将亚晶格内Moiré隧穿效应调整为零可以实现理想极限。所得模型表现出满足微量条件的平坦C= ±1能带,该条件将 Fubini-study度量与 Berry 曲率联系起来。这被称为“理想带”,相当于非均匀磁场中最低朗道能级,使其成为实现奇异相的有前途平台。然而,已知的实验无法将 TBG 调整到其理想极限(尽管晶格弛豫使耦合向这个极限移动)。交替扭曲的多层推广可能会改善这种情况,特别是在较高的魔角下,但仍然无法提供足够的可调性。应变工程为实现具有强相关性的窄带提供了另一种途径。应变作为赝磁场(PMF)作用在石墨烯上,每个谷中的强度相等且相反。早期的理论工作侧重于实现均匀 PMF 来模拟朗道能级。更可控的设置是周期性应变,它产生周期性 PMF,在晶胞上具有消失的平均值。最近观察到了C2对称性破缺的PMF,这种PMF产生了窄带,但其量子几何和由此产生的相互作用仍有待探索。现有研究表明,如果狄拉克点处的亚晶格偏振波函数在实空间中具有零点,则在狄拉克系统中可以实现完全平坦的理想带。然而,与产生非阿贝尔规范场的Moiré势相反,应变仅导致阿贝尔场。这对在应变石墨烯中实现理想能带提出了挑战,因为阿贝尔场中狄拉克粒子的波函数是永远不可能有零的指数函数。
近日,德克萨斯大学奥斯汀分校的Qiang Gao和哈佛大学的Junkai Dong等研究人员基于周期性应变石墨烯,提出了一种简单的装置,在不引入扭曲的情况下实现了扭曲Moiré异质结构中的几个关键现象。通过将缓慢变化的周期性C2 对称性破缺的PMF与单层石墨烯中具有相同周期的标量势相结合,实现了一个孤立的几乎理想的平带,其谷解析陈数为±1。其中与理想带几何形状的偏差是通过分析控制的,并且在无量纲比率中呈指数小。此外,标量势可以将带宽调整到远低于库仑量级,这使其成为强相互作用拓扑相的非常有前途的平台。利用强耦合理论和自洽 Hartree-Fock,发现了整数填充时的量子反常霍尔态。在分数填充时,精确的对角化揭示了在实验可行范围内的参数下的分数陈绝缘体。相关工作发表在《PHYSICAL REVIEW LETTERS》上,并被选为当期封面文章。(金梦成)

文章链接:
https://doi.org/10.1103/PhysRevLett.131.096401
2.用于亚波长散射体三维定位的人耳式超声换能器
三维声学定位系统广泛应用于无损检测(NDT)和水下搜索和调查等领域,如自主水下航行器(AUV)和手持式声纳设备等。然而,目前的3D声学定位系统的实现通常使用多个元素/通道或使用繁琐的机械旋转单元进行多次测量来获取三维信息,导致硬件组成复杂,成本高,尺寸大。
近日,来自英国利兹大学Sevan Harput 教授团队设计了一种用于对接收信号进行空间编码的声学透镜,这种声学透镜在测量过程中无需移动,仅利用一个超声换能器单元进行单次测量,即可实现三维水下定位。这种声学透镜的灵感来源于人耳。它具有类似于人类外耳的螺旋形图案,打破了换能器表面的对称性,对不同方向到达的超声波编码,通过后续解码以提取方向信息。通过对接收信号进行空间编码,再进行信号处理解码,即可实现三维亚波长散射体的位置检测。该技术在仿真与超声换能器实验中均得以验证。这一研究所提出的空间编码和解码技术及超声换能器系统可以应用于均匀材料中的小缺陷检测或低回声介质中散射体的定位,并有望应用于手持式声纳设备和其他基于波的,如雷达或太赫兹成像等成像方法。这项技术可以为开发成本低、实用、小巧的传感设备提供支持。相关研究工作发表在《Applied Physics Letters》上。(李治含)


Luzhen Nie, Matthieu Toulemonde, Meng-Xing Tang, Steven Freear, Sevan Harput; A human ear-inspired ultrasonic transducer (HEUT) for 3D localization of sub-wavelength scatterers. Appl. Phys. Lett. 21 August 2023; 123 (8): 082203. https://doi.org/10.1063/5.0152029
3.通过位点控制耦合腔阵列实现紧束缚模型哈密顿量
实现模拟量子仿真需要实现可编程量子器件,而由于固有的驱动耗散性质,光子系统是非平衡量子模拟的一个很有前途的平台。一个原型光子量子模拟器由一组可编程的非线性节点组成,这些节点可以访问被模拟的哈密顿量的整个量子化特征能谱。并且基于纳米制造的最新进展,量子光学系统已经从易于错位的笨重桌面系统转变为完全集成在芯片上的光子电路,具有体积小、运行速度快的优点,为实际量子优势提供了前所未有的可扩展性机会。
在光学中设计量子系统的一个解决方案是通过光子耦合腔阵列(CCA)实现,其中腔之间的耦合为光子的移动提供了一个潜在的地图,并且长时间的强空间限制光可以通过与各种激子材料的耦合来获得局部非线性。目前已经有一些实验展示了使用光学CCA的各种物理现象,但这些CCA都不是可编程的,并且无法访问哈密顿量的整个量子化特征能谱。虽然仔细选择操作系统可以产生使用光子学可扩展到多个站点的路径,但在光学系统中,由于涉及极小的物理尺寸,实现特征能谱的可编程性和可测量性还是非常具有挑战性的。
近日,华盛顿大学的Arka Majumdar教授课题组设计了一种硅光子CCA,来实现一组可寻址到整个量子化特征能谱的紧束缚模型哈密顿量。为了确保紧凑的设备尺寸和高质量因子的腔体,该课题设计了特殊的热光学岛加热器,比以前报道的工作减少了近50%的热串扰影响;并提出了一个数学模型,允许精确控制所实现的哈密顿算子的特征能量,误差仅为平均跳变率的4%。这种结构可以用来模拟许多单粒子物理效应,比如安德森局域化和SSH模型;并通过对光子学巨大的缩放潜力的利用,在线性状态下可以缩放到可用于研究经典或量子玻色子行走和固态晶格带结构的尺寸。此外,在更复杂的控制算法的作用下,未来还有望进一步提高实现的哈密顿量的准确性。这一工作首次展示了光子CCA的可扩展性、可编程性和可测量性,是先进光子量子模拟器向前迈出的重要一步。相关工作发表在《Nature Communications》上。(刘梦洋)

文章链接:
https://doi.org/10.1038/s41467-023-41034-x
4.实现绝对高斯变形的气动单元
在平面地图上,大陆不可避免地会被扭曲。反之,同时向两个方向弯曲一块板,也需要改变平面内的距离。尽管具有编程面内变形的新兴结构材料能够实现这种形状变形,但需要额外的局部弯曲控制来精确地设置最终的3D表面形状。植物的叶子和花瓣是差异生长引起形状变形的一个很好的例子。能够改变形状的材料应用广泛,从制造复杂的微结构、操纵易碎物体或软体机器人,到在复杂环境中运动或设计可展开的避难所。虽然基本的抓取装置依赖于通过双层效应弯曲线性梁,但表面的形状变形带来了更大的几何挑战。如果沿表面平面的距离是守恒的,那么它的高斯曲率(即两个主曲率的乘积)也是严格守恒的,这就将可实现的形状限制在等距族(如纸张的圆柱体或圆锥体)。表面的一般变形,如平面呈现双曲面形状(此处称为高斯变形),需要度量变形。在自然结构中,这种度量变化产生于微分增长。工程系统依赖于等效的非均匀变换,如水凝胶的溶胀、液晶弹性体或预拉伸聚合物细丝的松弛、充气结构、折纸或折纸镶嵌结构。尽管曲面的形状由曲率和度量张量严格定义,但这两个参数通常不会同时被处理,除了少数非常巧妙的例外,涉及非常柔顺的材料,依靠相对缓慢的膨胀驱动。在与工程应用相关的刚性结构中编程实现快速驱动的完全变形仍然是一个挑战。
近日,法国巴黎城市大学Benoît Roman团队受单子叶植物叶片中泡状细胞的启发,展示了如何设计平板的内部结构,以便在加压时同时编程弯曲和面内扭曲,从而形成目标的外壳形状。玉米等单子叶植物的叶片在干燥条件下能够可逆地向内卷曲,从而限制蒸发。其驱动力依赖于奇特的泡状细胞,这些细胞会根据膨压改变其体积,从而使表面叶片的一侧产生平面内的伸展或收缩。受这个来自大自然的例子的启发,文中设计了内嵌充气式单元的薄面板,称为气动高斯单元。面板的面内收缩和角度偏转都可以通过单元的设计同时编程,从而产生刚性的3D结构。这个定性的步骤构成了多功能变形机器人应用的重要里程碑。相关研究发表在《Science》上。(徐锐)

文章链接:
GAO T, BICO J, ROMAN B. Pneumatic cells toward absolute Gaussian morphing[J]. Science, 2023, 381(6660): 862-867.
https://doi.org/10.1126/science.adi2997
5. 打破仿生分层晶格超材料中不同机械性能之间的权衡
先进工程材料的应用潜力由其各种机械性能指标决定,包括刚度、强度、韧性、能量吸收、泊松比等。晶格超材料因其卓越的机械性能而在航空航天、航海、土木工程和生物医学工程领域受到广泛关注。然而,传统的晶格超材料往往在不同机械性能指标之间进行权衡例如强度与韧性、结构效率与能量吸收能力。随着高端防护装备需求不断增加,实现多种先进性能的全面融合,增强对极端环境的适应能力变得越来越重要。平衡和打破不同机械性能之间的权衡所面临的持续挑战促使研究人员寻找新的解决方案。
近日,同济大学的杨帆教授、李岩教授团队为了应对这一挑战,受玻璃海绵骨架系统的启发,提出了一种具有改进的面心立方(FCC)单元配置的分层晶格超材料。这种晶格超材料同时具有高强度、高能量吸收、相当大的韧性,以及通过双对角加固和分级圆形修饰的仿生特征的集成可控变形模式。抗压强度和能量吸收分别可达69.13 MPa和53.39 J cm3。此外,与具有相当强度的现有晶格超材料相比,通过减弱可能导致灾难性崩溃的应力和变形集中,所提出的晶格还表现出极高的损伤容限。这种设计方法结合了拉伸主导和弯曲主导晶格的优点。定量地讲,在比强度、比能量吸收和破碎力效率方面,改进的分级圆形FCC(MHCFCC)晶格超材料分别优于Octet晶格14.85%、53.28%和110.52%。这种多仿生特征集成方法为高性能架构超材料提供了先进的设计策略,具有广阔的应用潜力。相关工作发表在《Advanced Functional Materials》上。(刘帅)

文章链接:
https://doi.org/10.1002/adfm.202305978
免责声明:本文旨在传递更多科研资讯及分享,所有其他媒、网来源均注明出处,如涉及版权问题,请作者第一时间后台联系,我们将协调进行处理(按照法规支付稿费或立即删除),所有来稿文责自负,两江仅作分享平台。转载请注明出处,如原创内容转载需授权,请联系下方微信号。


