

撰稿|由课题组供稿


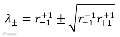
通过耦合模理论,解析地计算出反射系数随晶胞深度(g)和损耗大小
的关系,如图1(d)、(e)所示。结果表明,在特定的参数下
非厄米PGM可以实现左手性涡旋的全反射和右手性涡旋的全吸收。相应的本征值
随损耗大小的演化关系如图1(f)所示,在
处本征值简并,表明了这是一个典型的手性EP。在EP处,非厄米PGM表现出了手性涡旋场的极端非对称耦合行为。

的入射涡旋可以实现完美的反射,且与扇形管长度H 无关。而
入射涡旋的反射系数随扇形管长度变化,并在H =1.428λ0处趋于0;对应的透射系数经历一个互补的过程,这意味着在左侧“吸收”的能量被完美转化为传输涡旋。故在“赝EP”处,无损PGM可以实现完美手性选择的涡旋传输现象:一种手性的涡旋被完美反射,而相反手性的涡旋则完美透射,从而实现了透射型最大HD。

随管长度H 的演化轨迹;(c, d) 无损PGM的反射振幅和相位随管长度H的变化。


文章链接:
https://doi.org/10.1016/j.scib.2023.09.028
参考文献:


