

撰稿|由课题组供稿
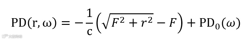
在超薄光学厚度成像领域,由超构单元(meta-atoms)组成的超透镜(metalens)因其微米级的厚度极大地减小了光学系统的体积和重量。然而,超透镜在实际应用前,一直受到严重的消色差问题的困扰。以往的研究中,科学家们提出了一系列方法尝试解决超透镜的色散问题,但消色差超透镜(AML)仍然受到带宽、NA和口径的耦合关系的限制。AML的消色差要求可用以下公式表示:

其色散补偿要求(Group Delay, GD 群延时)会随着口径和NA的变大而变大,而在传统宽带消色差超透镜(Broadband achromatic metalens, BAML)中,大色散要求必然意味着meta-atoms的高厚度要求。结合时间带宽积的约束下,这种色散要求导致的meta-atom的高度要求可以写成公式

在大口径(D=2mm)、高数值孔径(NA=0.55)和宽消色差带宽(400-1500nm)要求下,色散的要求高达998fs,需要的BAML的厚度要求为h=309μm,远超可以实现的加工水平。因此,传统的消色差方法无法在超薄厚度下满足大口径大NA的色散补偿要求。
团队基于时间自由度,创新性地提出了一种突破理论极限的新型消色差设计方法,即准消色差超透镜(Quasi-achromatic metalens, QAML)。基于这一额外自由度,QAML在保证消色差能力的前提下,提高了物理带宽极限,解除了口径和NA的限制。
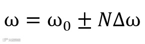
团队首次提出色散调控特征相位延时(Phase delay,PD)可以根据相位特性进行延拓,从而压缩对meta-atoms的大色散调控能力的要求。常用的meta-atoms的相位-频率的响应为波导型的线性响应(图1(a)),将这一色散响应表示在相位延时-频率域中,得到图1(b)中的PD水平直线。我们提出的PD延拓的方法,可以直观的理解为不同颜色的PD水平线之间的等效。在等间隔的频率
下,原来的黑线表示的PD0曲线,可以延拓为蓝线和绿线所示的大PD曲线,他们之间相差
。因此,只要设计频率满足等频率间隔
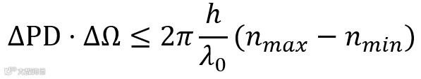
条件,就可以实现等间隔

此时,PD的要求变为了一个和D和NA均无关的常数,因此色散的大小要求和口径,NA的约束关系不再成立。意味着QAML可以在有限的厚度范围内实现远超BAML的极大口径和极高NA。这种在准连续频率点下,通过PD延拓补偿色散的消色差超透镜称之为准消色差超透镜,用以表征其等间隔频率消色差的特征。

图1. (a) 相位-频率响应 (b) PD-频率响应, PD延拓示意图
在物理图像上,这种色散的等间隔延拓实际上是增加了时间的设计自由度。如图2所示,利用傅里叶分解,入射脉冲信号可以分解为不同频率的分量。不同的频率导致这些分量时间周期长度不同,以往的研究者并没有将其考虑在理论分析范围内,总是基于同一时刻的入射信号进行消色差设计。而PD延拓则创造性地将这一时间设计自由度考虑在消色差设计中,从而实现了消色差能力的提高。如图2所示,同一时间入射的不同颜色的光在大色散区域实际上是离焦的。但是在不同的时间周期下,他们保持了聚焦的效果。因此,考虑入射时间的设计,QAML在时间和频率域上对信号进行了人为的分解和重组,从而在物理上实现了突破口径,NA和带宽限制的消色差聚焦。

图2. QAML实利用的时间自由度设计
基于时间自由度的设计,团队从时间带宽积出发,从数学上推导了QAML的理论带宽上限,理论性地证明了QAML确实保持了相对于BAML的优势。基于波导性超结构的色散特征,其线性色散大小和结构的厚度呈正相关,其带宽上限可以表示为公式:

在BAML中,带宽主要受到了群色散能力的限制。而在QAML中,由于色散要求被压缩为了常数
同时,团队利用微扰分析,考虑了在频率微扰
ω和色散微扰
下的实际消色差效果(图3),更加全面地展示了QAML强大的消色差能力。
通过频率微扰,发现在设计频率之外,QAML同样保持了一定的子带宽的消色差能力。而当设计频率越多时,这些子带宽的总带宽会逐渐超过BAML的理论极限。而通过色散微扰,团队对非线性相位-频率响应的影响进行量化。在考虑材料色散影响下,得到了红色矩形所示的线性阈值范围。

ω和
示意图
基于这两种微扰分析,团队利用波函数表示出了QAML的消色差全光谱图像和物理极限。如图4所示,在相同的透镜参数下,QAML实现了比BAML大将近3倍的带宽极限,而QAML的子带宽同样表现出了更宽的消色差光谱覆盖能力。团队用不同的颜色标记QAML的等间隔频率消色差光谱。在400-1500nm的范围内,其消色差能力已经超过了BAML的理论极限,消色差带宽的范围更广,具有更大的应用价值。

图4. QAML消色差光谱
基于光谱分析,团队进一步利用仿真验证了QAML的可行性。对口径D=2mm,NA0.55,带宽范围400-1500nm的高性能QAML进行了电磁场模拟,证明了其在不同入射光谱下保持了高MTF成像性能。
如图5(a)所示,在设计的等间隔频率
下,QAML表现出了完全相同的焦距。我们将这些聚焦结果整理画在图5(b)中,更明显地表现出了这一消色差聚焦的效果。同时,如图5(c)所示,在设计频率下,QAML达到了平均65%以上的高聚焦效率。同时,将消色差聚焦结果代入成像仿真中,团队得到了如图5(e)的模拟成像图。在宽带太阳光谱、窄带LED光谱以及完美符合准消色差条件的光频梳光谱入射条件下,QAML均保持了接近衍射极限的MTF数值,呈现出了在不同入射场景下的实用性。
我们将这一QAML的性能与过往发表的高性能参数的BAML在归一化坐标下相比,得到了图3(d)。可以发现QAML已经超越了BAML的物理极限,在性能上具有更高的综合参数。QAML在极大地减小了AML的厚度要求的同时,在BAML无法实现的高性能参数要求下依然保持了极高的消色差成像性能。这一优点使其更利于加工制造,在未来的成像应用场景中具有更高的潜能。

图5. QAML的成像性能 (a) 不同频率分量下的PSF (b) 焦距-频率分布 (c) 聚焦效率-频率分布 (d) QAML与BAML性能对比 (e) 成像模拟
团队提出了新型消色差理论QAML并分析计算了其物理极限。利用时间自由度PD延拓方法,QAML克服了有限厚度的色散能力上限,并放宽了消色差超透镜的带宽,口径和NA。这种方法为超宽光谱和大孔径消色差元件的提供了理论基础。推动了紧凑型消色差光学系统的发展,如光栅和光涡旋器件都可以基于这一理论进行优化。QAML有效地规避了大孔径和高NA条件下BAML无法达到的高厚度要求。
目前,衍射器件的加工已经比较成熟,并应用在了如手机镜头设计等各个民用语。在400-1500nm这一跨越紫外光,可见光和红外光的光谱范围内,超薄光学器件应用要求将会更加广泛。未来,在实现了高深宽比的加工技术的条件下,QAML凭借其高性能消色差能力,在航空航天遥感、地质勘探、医学检测和其他军事和民用领域均有可观的利用价值。另外,如果进一步考虑超材料结构的偏振态调制能力,QAML能够适应更多衍射器件无法使用的场景。
该论文的完成单位为浙江大学光电科学与工程学院、极端光学技术与仪器全国重点实验室、杭州国际科创中心、浙江大学嘉兴研究院智能光电创新中心。论文通讯作者为马耀光研究员,第一作者为博士生陈琦凯。博士生高宇斌、片思杰也为论文工作作出了重要贡献。该研究得到了国家自然科学基金优青项目和浙江省自然科学基金杰青项目的资助。

Phys. Rev. Lett. 131, 193801 (2023) - Theory and Fundamental Limit of Quasiachromatic Metalens by Phase Delay Extension (aps.org)
https://journals.aps.org/prl/abstract/10.1103/PhysRevLett.131.193801

