

撰稿|课题组供稿
近日,山西大学陈君教授、张磊教授联合香港科技大学陈子亭教授课题组理论提出并实验证实了一种新型的无序拓扑光子系统——拓扑光子合金。该系统通过在非周期性二维光子晶体构型中随机混合非磁化柱和磁化柱实现。理论和实验结果表明,即使在磁化柱浓度很低的情况下,光子合金也能产生具有拓扑保护的手性边缘态。该工作为深入研究无序系统的拓扑性质提供了一个新的平台,为更有效的制造拓扑光子系统提供了新方法。相关成果以“Topological photonic alloy”为题发表于物理学领域顶级期刊《Physical Review Letters》。论文同时作为Editors’ Suggestion和Featured in Physics在Physical Review Letters网站重点推荐。Physics杂志邀请Physical Review Letters 副主编Martin Rodriguez-Vega以《Recipe for a One-Way Waveguide》为题对以上工作进行了专题亮点报道。
山西大学陈君教授、张磊教授与香港科技大学陈子亭教授为论文的共同通讯作者。山西大学博士生渠天涛和香港科技大学博士后王暮迪为论文的共同第一作者。香港科技大学张昭庆教授,研究助理教授张若阳、博士后崔晓晗、山西大学激光光谱研究所博士生成晓宇共同参与指导了该研究。该工作得到了国家重点研发计划、国家自然科学基金面上项目、香港研究资助局、裘槎基金会、山西省优秀青年科学基金项目、山西省“1331”工程等项目的资助。
拓扑材料已经成为物理学众多领域的重要研究课题之一。利用不同的拓扑不变量,可以定义各种拓扑材料。根据体边对应原理,非平庸的体拓扑不变量通常对应着开放边界下拓扑边缘态的出现,这些拓扑边缘态对局部扰动具有鲁棒性。拓扑材料最初在凝聚态物质系统中被发现,随后人们也在光学、声学等平台上对其进行研究。进一步研究发现,拓扑性质并非只出现在周期晶体结构中。光学系统是实现非周期拓扑材料的理想平台之一,光子拓扑准晶、光子拓扑Anderson绝缘体和光子拓扑非晶材料已经得到实现。
对于传统的拓扑绝缘体,当无序强度足够大时会破坏系统的拓扑性质,但有时无序也可以引发非平庸的拓扑相,例如无序引起的拓扑Anderson绝缘体。在材料科学领域,合金是一种众所周知的无序系统。它是由不同化学元素无序混合构成的非周期性材料,可以产生与其各自成分不同的独特性质。然而,具有拓扑特性的光子系统中的“合金”概念尚未被探索。
研究团队首次理论提出并实验实现了一种新型的无序拓扑光子系统——拓扑光子合金。该研究证明在由非磁化(A)和磁化(B)钇铁石榴石(YIG)棒随机组成的无序二维光子晶体中,可以产生非平庸的拓扑相,从而将合金的概念引入拓扑光子学领域(图1)。

图1 拓扑光子合金示意图。
研究团队主要探索了替换型的拓扑光子合金
,掺杂浓度x定义为
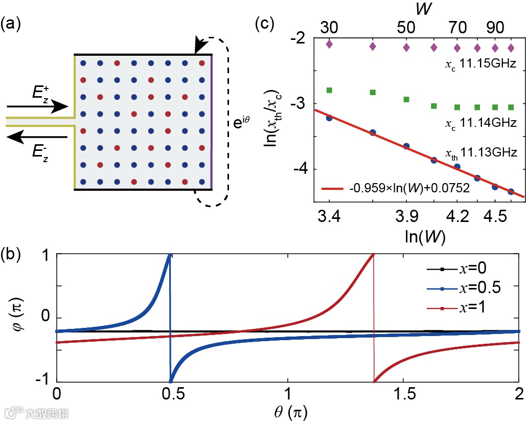
是非磁化和磁化的YIG柱的数目。当x=0时,该系统为纯净的无磁性光子晶体,光子能带是拓扑平庸的。而当x=1时,该系统为纯净的全磁性光子晶体,具有非平庸拓扑带隙。在这些光子合金中,即使掺杂浓度非常低,也发现了具有拓扑保护的手性边缘态的存在(图2)。研究团队利用反射相位累计变化表征了系统的拓扑特征,通过非互易传输和边缘态分布实验证实了手性边缘态的存在(图3)。此外,研究者通过数值计算拓扑转变阈值随着样本尺寸的变化,理论证明了当系统趋于无穷大时,拓扑转变阈值浓度趋近于零的重要结果(图4)。

图2 (a)替换型光子合金的示意图。(b)-(c)分别为A/B型光子晶体的能带结构。插图为晶格元胞的几何形状。(d)11.15GHz 时光子合金
(左图)和型柱被空气取代后的模拟电场分布
(右图)。A型柱的位置用白色圆圈和方块标记。黑色圆圈表示B型柱。线源用蓝星表示。

图3 (a)替代型光子合金实验样品的照片(去除顶部金属板)。上侧和左侧边缘放置了两个标有红星的天线。(b)数值模拟透射谱与x的关系。红色圆圈表示由反射相位绕数计算出的拓扑间隙。绿色菱形表示实验测量的非互易透射间隙。(c)光子合金(x=0.5)的态密度。(d)-(f)当x=0,0.5,1时,实验测量的边缘透射率(带蓝点和红点的实线,左轴)和模拟体透射率(带黑点的实线,右轴)。(g)-(i)分别在11.20GHz下测量了x=0,0.5,1样品边缘的场分布。位置#10/20的第一条/第二条红色垂直虚线表示光源的位置和(g)插图中所示的光子合金的左下角的位置。

图4 (a)反射相位表征替换型光子合金拓扑性质的示意图。在垂直方向上施加扭曲边界条件
。样本左侧用完美磁导体(黄色)包裹的空气波导连接,右侧边界(紫色)为吸收边界。(b)在11.20GHz下x=0,0.5,1时,替代光子合金系统的反射相位随扭曲边界角的变化。(c)拓扑转变阈值浓度xth和临界浓度xc对随样本尺寸的变化。
该工作理论提出并实验验证了一种拓扑光子合金系统,该系统由随机混合的非磁化和磁化YIG棒组成。有趣的是,系统表现出拓扑行为的拓扑转变阈值浓度趋近于零。此外,其局域时间反演对称破缺诱导拓扑相变的物理思想可以应用到其他经典波系统,例如声学系统。

论文链接:
https://journals.aps.org/prl/abstract/10.1103/PhysRevLett.132.223802

