
中山大学物理学院的姚道新教授团队最近在量子相变的无序算符标度行为研究中取得重要进展,在国际上首先提出了无序算符可以用来探测边界态和边界的临界行为,并分析了其标度行为。2024年5月17日,该成果以“Measuring the boundary gapless state and boundary criticality via disorder operator”为题,以中山大学为第一单位发表在国际著名物理刊物《物理评论快报》 (Physical Review Letters 132, 206502 (2024)),并获得编辑推荐(Editor’s suggestion)。
量子相变一直是凝聚态物理中重要且有趣的主题之一。晶格系统的边界由于其配位数的不同展现出比体内更加丰富的相变行为,即表面临界行为。由于边缘模与体的临界涨落耦合在一起,边界会诱导出新奇的相变行为,吸引了许多研究者的关注。如何在多体计算中,提取边界临界行为的信息,进一步验证表面临界理论的可靠性,比如边界共形场论(BCFT),是量子多体计算重要的方向。
另外一方面,近年来非局域算符的研究逐渐兴起,它们可以从广义的对称性和domain wall的角度去理解物相和相变。无序算符作为一种非局域的测量算符,它能够揭示相和相变点的高价对称性和共形场论信息,从全局的角度理解相变普适类的信息。例如,在S=1/2的二维正方晶格J1-J2柱状海森堡模型中,它能够提取出O(3)相变点的流中心荷CJ,反映其普适类信息。
姚道新教授团队率先利用无序算符对二维具有对称性保护拓扑相(SPT)的AKLT模型的边界性质进行研究。在AKLT相,边界的自旋形成有效的海森堡链。无序算符能够反映边缘态的物理性质,提取海森堡链的Luttinger参数,揭示(1+1)维边界SU(2)1的物理。当体系靠近相变点时,无能隙的边缘模与体的临界涨落逐渐耦合在一起,无序算符不但能够反映边缘态的(1+1)维的SU(2)1物理,提取Luttinger参数,还能够提取体的临界行为O(3)临界模的共形场论信息。
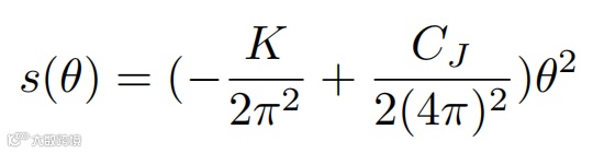
在此基础上,姚道新教授团队对无序算符的标度行为提出了一个猜想。在临界点处,无能隙边缘模和体的临界模会以叠加的形式进入到无序算符的标度行为中,体现在其对数项中,它们遵从以下公式,
其中的K项由无能隙的边缘态提供,而CJ项由体的O(3)临界模贡献。我们的数值结果很好地验证了我们猜想的可靠性。这也从数值角度直观揭示了边缘模与体的临界涨落耦合的物理图像。
在此基础上,姚道新教授团队利用量子蒙特卡洛方法研究了二维AKLT模型的纠缠谱和能谱的对应关系。著名的Li-Haldane猜想指出在拓扑态里面纠缠谱的低能部分和开边界的能谱具有一一对应的关系。研究团队发现,在AKLT模型边界施加微扰,其纠缠谱和能谱并不总是具有对应关系。在某些情况下,即使边界变成有能隙的,其纠缠谱和能谱也具有对应关系。研究团队利用新的虫洞图像很好地理解这些数值结果,并揭示了虫洞图像可以成为理解复杂系统纠缠谱变化的强有力的工具。相关工作已经发表Physical Review B刊物上(Phys. Rev. B 109, 094416(2024))。在此之前,姚道新教授团队利用量子蒙特卡洛方法研究了该模型体和边界的激发谱,为理解对称保护拓扑相和磁有序的激发提供了重要的数值依据(Phys. Rev. B 105, 014418 (2022))。并且,姚道新教授团队还对S>1/2的二维四八晶格海森堡模型的相图和激发谱进行了细致的计算和研究(Phys. Rev. B 106, 085101 (2022))。
▲图一:S=1/2的J1-J2四八晶格海森堡模型的相图,无序算符反映了临界点处边缘模和体的临界模耦合在一起的物理信息。
研究成果发表于2024年5月17日出版的Physical Review Letters 132, 206502 (2024)
(DOI: https://doi.org/10.1103/PhysRevLett.132.206502)。
中山大学物理学院博士研究生刘泽楠为论文的第一作者,中山大学姚道新教授、西湖大学严正研究员和北京航空航天大学王艳成副教授是通讯作者,比利时根特大学黄瑞珍博士后参与了理论工作。中山大学的理论研究工作依托物理学院公共科研平台和中子科学平台、广东省磁电物性分析与器件重点实验室、光电材料与技术国家重点实验室、高等学术研究中心。计算工作依托中山大学国家超级计算广州中心。
上述工作得到了国家重点研发计划、国家自然科学基金、广东特支计划领军人才项目等的资助。
原文论文链接:
https://journals.aps.org/prl/abstract/10.1103/PhysRevLett.132.206502

