

利用500 ~ 1000 K的中温热源发电,在太阳能和热电联产系统的余热回收和发电等各个领域具有重要意义。在这些温度范围内,现有的固态技术在实现最佳转换效率(例如热电系统)或提供高功率密度能力(例如热光伏和热离子器件)方面表现出局限性。近场热光伏(NF-TPV)利用倏逝波的耦合实现了高输出功率和高效的热电能量转换,从而解决了这一问题。
天然双曲材料中双曲声子激元(HPhPs)的激发导致发射极的发射增强,对提高NF-TPV器件的性能具有很大的潜力。各向同性二维等离子体材料石墨烯还可以利用表面等离子体激元(SPPs)的支持,极大地增强发射极双曲带以外的发射,其主要特征是表面等离子体在外部电压偏置或掺杂诱导下具有可调的化学势。由石墨烯层和双曲材料膜组成的异质结构可导致更高的辐射热通量。然而,类三明治结构对NF-TPV的影响还有待进一步研究。
针对以上问题,我们提出了一种由石墨烯/CaCO3/石墨烯三明治状热发射器和带有InSb的光伏电池组成的NF-TPV器件。通过与其他三种NF-TPV器件的比较,深入分析了三明治结构下SPPs和HPhPs的杂化。此外,还通过光谱热通量和能量传输系数阐明了间隙距离、HM厚度和石墨烯化学势对所提出的NF-TPV性能的影响。
图1 NF-TPV装置示意图以及不同结构的输出功率与效率
图3 三明治结构中不同石墨烯化学势的光谱及性能比较
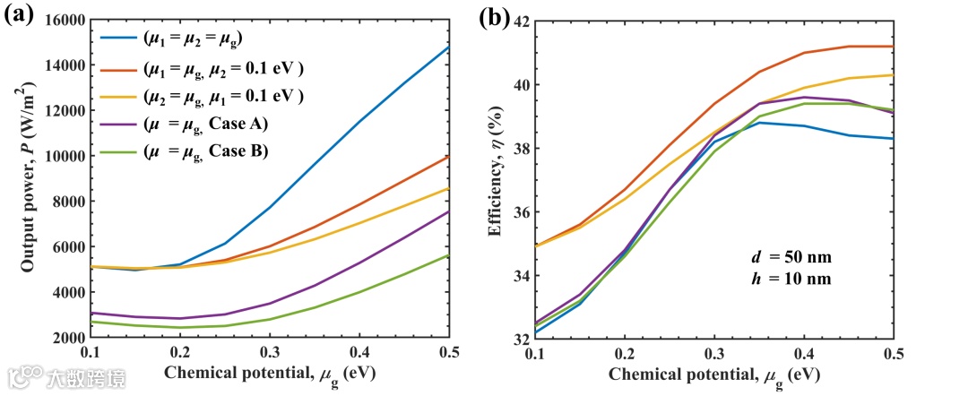
图4 三明治结构的输出功率和效率随石墨烯化学势的变化
此外,还研究了石墨烯化学势对NF-TPV器件性能的影响。通过改变石墨烯的化学势,三明治结构的可调功率密度范围可达其他结构的3.26倍。研究结果为在纳米和微尺度上增强和控制NF-TPV的性能铺平了一条有希望的道路。

李林,河南师范大学在读博士研究生,为本文第一作者。主要研究方向为近场辐射传热和相关热器件。

吴小虎,1992年生,本科毕业于中国矿业大学(北京),博士毕业于北京大学,现为山东高等技术研究院研究员,中国青年五四奖章获得者,全国“青马工程”科技班学员,山东省优青,山东省泰山学者青年专家,国际传热传质中心科学理事会成员,山东省青年科学家协会成员,全球前2%顶尖科学家(2023)。主要从事辐射换热、太阳能光热利用、微纳光子学等领域的研究,发表学术论文100余篇。其博士论文被评为北京大学优秀博士论文,并被Springer出版社全英文出版。其双曲材料的工作入选美国光学学会2020年度全球30项光学进展“Optics in 2020”。曾获国际传热传质中心Hartnett-Irvine Award(2019)、福布斯中国30位30岁以下科技精英(2021)、山东省省直机关优秀共产党员(2023)等多项荣誉。创办“热辐射与微纳光子学”微信公众号,致力于学术分享与传播。

于坤,河南师范大学物理学院教授,博士生导师,河南省杰出青年基金获得者,河南省高校科技创新团队负责人,河南省教育厅学术技术带头人,博士毕业于北京理工大学仪器科学与技术专业。主要从事光谱发射率测量与调控、辐射测温技术方面的研究,研究领域涉及光谱发射率测量技术及仪器的研制、辐射测温方法及辐射测温仪器的研制、材料光谱发射率变化规律,多波长辐射测温算法等。主持国家自然科学基金3项,相关研究成果已经发表在Photonics Research、International Journal of Heat and Mass Transfer、Infrared Physics and Technology等SCI期刊发表,作为第一发明人授权专利7项,其中转让1项。
--由课题组供稿

