

近日,山东高等技术研究院吴小虎教授和河南师范大学张凯华教授合作,提出了一种创新的多层薄膜结构,旨在实现可见光伪装与红外及激光波段隐身并兼容双波段辐射散热的热辐射调控。该结构采用ZnS、Ge、TiO2、cGST和Ag薄膜按顺序叠加而成,显著提高了多波段隐身性能及热管理能力。通过优化薄膜厚度,研究者在中波红外(MWIR)和长波红外(LWIR)波段实现了低发射率,分别达到了0.28和0.16,从而增强了红外伪装效果。此外,在两个非大气透明窗口中,发射率分别达到0.51和0.65,促进了辐射冷却。这项研究不仅拓宽了可见光光谱的结构色范围,还在1.06 μm激光波长下实现了极低的反射率,仅为0.01,从而确保了激光隐身性能。相关成果以“Visible color camouflage and infrared, laser band stealth, compatible with dual-band radiative heat dissipation”为题,发表在《International Communications in Heat and Mass Transfer》上。

随着多波段探测设备的迅速发展,隐身目标的需求不断增加,光学伪装技术正受到越来越多的关注。目前,热辐射作为目标检测的重要方式,源于物体内部粒子的热运动。根据斯特藩-玻尔兹曼定律,物体向半空间辐射的总功率与其单位发射率和温度成正比。因此,控制目标的温度和发射率,降低热辐射强度,成为减少目标被探测概率的有效手段。与此同时,非大气透明窗口的辐射冷却技术也被广泛采用,以降低目标温度,从而提高红外伪装性能。
在过去的研究中,已经采用不同的材料和结构来提高红外和可见光波段的隐身效果。然而,这些方案往往在材料选择和结构复杂性上存在限制。本研究通过提出一种简单的多层薄膜结构,充分利用其卓越的光谱选择性,实现了更完善的伪装功能。该结构在红外伪装、热管理及多波段隐身性能方面展现了卓越的潜力,为多波段伪装技术的创新与应用奠定了坚实基础。
本研究提出了一种新颖的多层膜结构,旨在实现多波段伪装,尤其是在红外波段。该设计通过仅采用五层薄膜(ZnS、Ge、TiO2、cGST和Ag),显著简化了以往复杂的结构,同时扩展了伪装的波长范围。每层材料均经过精心选择,以实现多光谱伪装效果。其中,cGST的高折射率(dGST = 0.275 μm)不仅减少了整体结构厚度,还增强了非大气透明窗口波段的发射率。Ge/TiO2层(dGe = 0.731 μm,dTiO2 = 0.602 μm)结合了不同的折射率,优化了非大气透明窗口及中波红外波段的发射率。
在可见光和近红外波段,由于Ge层的不透明性,该部分的光谱特性主要受ZnS层厚度(dZnS)的影响。通过调节dZnS从0.1 μm到0.2 μm,可以在不同波长处实现抗反射峰,展现出广泛的结构色范围。此外,在1.06 μm激光波长下,设备实现了高吸收率,主要依赖ZnS层内的内在损耗(消光系数k = 0.0003)。在不同dZnS值下的反射率测量结果显示,1.06 μm波长下的反射率均低于0.4,最低可达0.01。这种创新设计不仅提升了红外伪装的有效性,还在多波段隐身技术的应用上提供了坚实的基础。

图1 由 ZnS、Ge、TiO2、GST 和 Ag 薄膜组成的多层膜结构示意图,以及可见光-红外-激光伪装与辐射散热的应用场景图。
为了评估所设计的多层薄膜结构在红外伪装和辐射散热方面的性能,研究团队利用TMM和COMSOL Multiphysics软件计算了300 K下的红外发射率谱,如图2所示。结果表明,这两种方法的发射率趋势和峰值几乎一致,尤其是在3、5和8 μm波长附近,结构展现出显著的发射率变化。在MWIR波段,平均发射率约为0.2,而在LWIR波段则大多低于0.2,平均值仅为0.16。该结构在两个非大气透明窗口的平均发射率分别达到0.51和0.65。值得注意的是,在1.06 μm波长下,反射率极低,达到0.01。随着温度的升高,MWIR和LWIR波段的信号减少率几乎保持不变,而在5至8 μm及2.5至3 μm波段,辐射强度随着温度的增加显著上升,表明该结构能够有效适应温度变化,从而增强高温目标的红外伪装能力。

图2 (a) 适用于多波段伪装的理想发射光谱(紫线),根据 TMM(蓝线)和 COMSOL(红线)计算的发射光谱,以及大气透射光谱(浅蓝色区域);(b) 多层膜结构中不同光谱范围的辐射强度和信号降低率随温度变化的情况。
为了评估结构颜色的伪装特性,根据TMM计算了不同 dZnS 的发射光谱。然后在 CIE 1931 x-y 色度图中显示不同 ZnS 薄膜厚度的多层薄膜结构的颜色,如图3所示。图 3(a) 显示了不同厚度 ZnS 层结构的反射率光谱。随着 ZnS 层厚度的增加,反射率峰值逐渐向长波长移动,并逐渐出现另一个峰值。为了更直观的体现结构色的变化,在图3b中计算了不同厚度 ZnS 层的色度坐标,并将这些坐标标注在 CIE 1931 x-y 色度图中。如图 3(b)所示。观察该图可以发现,随着 ZnS 层厚度的增加,设计的结构颜色从黄色过渡到红色、紫色、蓝色和绿色,呈现出线性且明显宽泛的颜色范围。这表明我们的结构适用于色彩伪装。通过调整 ZnS 层的厚度,这种多层薄膜结构可应用于沙漠、海洋和森林等不同环境。

图3 (a) 不同 ZnS 薄膜厚度下结构在可见光和近红外波段的反射率;(b) CIE 1931 x - y 色度图中显示的不同 ZnS 薄膜厚度下多层结构的结构色和色度坐标。
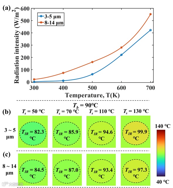
为更全面地评估伪装结构的红外隐身性能,研究团队计算了MWIR和LWIR波段的辐射强度与辐射温度,如图4所示。图4a显示,随着环境温度从300 K升高至700 K,MWIR和LWIR波段的辐射强度逐渐增加,分别达到422 W/m²和552 W/m²。同时,在5至8 µm和2.5至3 µm波段,辐射强度也显著上升,从20 W/m²增加至2664 W/m²,以及从2 W/m²增加至298 W/m²。这表明,随着环境温度的升高,这些波段的辐射强度显著增强,从而实现有效的辐射散热,降低物体温度,进而提升伪装性能。
热成像提供了从视觉角度评估红外伪装性能的方法。热成像仪的工作原理是接收样本表面及其周围环境发射的总热辐射,并将其与已知温度的黑体辐射进行比较,以确定样本的温度。在模拟计算中,考虑了MWIR和LWIR波段的辐射温度,如图4b所示。结果显示,当样本温度为50 ℃和70 ℃时,MWIR波段的辐射温度分别为82.3 ℃和85.9 ℃,明显高于背景温度。然而,当样本温度超过背景温度(如110 ℃和130 ℃)时,辐射温度显著低于实际温度,分别为94.6 ℃和99.9 ℃。此外,由于LWIR波段的平均发射率低于MWIR波段,无论样本温度如何,LWIR波段的辐射温度始终接近背景温度。这进一步验证了该伪装结构在不同温度条件下的适应性。通过这一模拟,研究团队能够确认该结构在MWIR和LWIR波段的红外隐身性能,确保在多种环境中有效降低其热信号,从而提升伪装效果。

图4 (a) 3 ~ 5 和 8 ~ 14 µm 波段的模拟辐射强度。当样品在 90 ℃ 背景温度下分别加热到 50 ℃、70 ℃、110 ℃ 和 130 ℃ 时,中波红外波段(b)和长波红外波段(c)的模拟热图像。
本研究提出了一种创新的多波段伪装结构,基于多层薄膜设计,能够有效实现可见光、MWIR、LWIR及激光波段的伪装,同时具备高效的辐射散热性能。首先,顶层ZnS薄膜的干涉作用成功控制了广泛光谱范围内的结构色,满足了高性能可见光伪装的要求。其次,在3~5和8~14 μm波段,低发射率分别为ε3~5 μm = 0.22和ε8~14 μm = 0.16,且在两个非大气透明窗口波段表现出优异的辐射散热性能(ε2.5~3μm = 0.51,ε5~8μm = 0.65),满足了热管理需求并增强了红外伪装效果。此外,在工作温度范围300 K至450 K及0至60°的大入射角范围内,选择性红外发射特性几乎没有变化,结构色在角度变化下保持相对稳定,为可见光伪装提供了广视角能力。最后,在1.06 μm波长处,实现了极低的反射率,优化了激光伪装效果。通过简便的五层无光刻结构,该设计成功实现了多个光谱波段的发射率控制,展示了大规模应用的潜力。总体而言,本研究为多波段控制设计提供了一种新颖解决方案,预示着该薄膜设计将在红外伪装和热管理技术等领域广泛应用。文章的第一作者为陈志营研究生。通讯作者是山东高等技术研究院的吴小虎教授、和河南师范大学张凯华副教授。


