

近日,上海交通大学物理与天文学院袁璐琦课题组提出了在离散物理系统中利用时域多层结构实现任意维度非阿贝尔Aharonov-Bohm干涉的方法。该项工作的第一作者是袁璐琦课题组的博士生董兆辉,通讯作者为袁璐琦教授,该工作得到陈险峰教授的重要指导。
非阿贝尔物理由于其独特性质及应用前景在当前光学研究中受到日益关注。非阿贝尔现象指物理系统的最终状态被系统中施加操作的顺序所影响的情况,其中一个典型的例子是非阿贝尔Aharonov-Bohm干涉。图1展示了一个粒子在二维非阿贝尔规范场下经过两条不同路径的演化,这两条路径由两个对态矢量施加绕x轴或z轴旋转的操作组成,区别在于两个操作施加的顺序。由于态矢量绕不同轴旋转的操作是不可交换的,粒子经过两个路径后的末态是不一样的,这两个末态的干涉称为非阿贝尔Aharonov-Bohm干涉。目前,非阿贝尔Aharonov-Bohm干涉在多种物理系统中被提出或实现,如冷原子系统、电路以及光学系统。然而这些方案目前都限于二维非阿贝尔规范场,其拓展到更高维度的情况还尚需研究。

图1. 粒子在二维非阿贝尔规范场中的演化
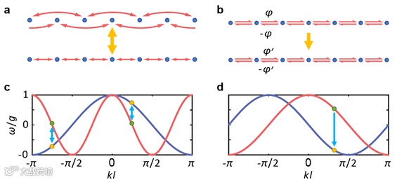
为了解决这个问题,我们提出了在离散物理系统中利用时域多层结构实现任意维度非阿贝尔Aharonov-Bohm干涉的方法。考虑如图2.a所示的仅具有次近邻耦合的晶格模型,这样的哈密顿量可以分为两个独立的子系统,在图2.c的能带中可以视为二重兼并态。我们引入两种时间界面(即在某一时刻改变系统的哈密顿量)进行能带的操作,一种是能带折叠/反折叠,另一种为能带平移。在能带反折叠中,所有的次近邻耦合在操作发生后变为最近邻耦合,原来的二重简并态投影至新能带上的两个态中,能带折叠则相反。而在能带平移中,系统中的耦合相位被改变,原来的态投影至新能带的态中,群速度发生改变。

图2. 两种时间界面的能带操作
我们把这两种时间界面进行组合即可得到图3所示的时域多层结构。以激发二重简并态中的一个态为例,首先将实施能带反折叠,原来的波包分类为两束。然后对能带施加一个π平移,把能带翻转,两个波包的群速度变为原来的相反数,同时我们人为对上方的波包施加一个相移。最后,系统的哈密顿量恢复为初始状态,但由于人为施加的额外相移,末态在两个简并态上都有投影。这一过程可以视为对系统的态矢量施加了绕x轴旋转的操作。要实现非阿贝尔Aharonov-Bohm干涉还需要对态矢量绕其他轴旋转的操作。这可以通过对其中一个简并态施加额外相移达成,等价于对态矢量施加绕z轴旋转。把这两个对态矢量的操作按不同的顺序施加即可制备经过两个不同路径的末态并实现非阿贝尔Aharonov-Bohm干涉。

图3. 时域多层结构中演化

图4. 非阿贝尔干涉与阿贝尔干涉的对比
综上所述,我们提出了一种利用时域多层结构实现任意维度非阿贝尔Aharonov-Bohm干涉的方法,并将其拓展至任意维度规范场的情况,这种方法可以应用于各种离散物理系统中,为利用时域能带工程实现光场调控和研究高维度非阿贝尔物理提供了新思路。
论文信息:
Temporal multilayer structures in discrete physical systems towards arbitrary-dimensional non-Abelian Aharonov-Bohm interferences
Zhaohui Dong, XiaoXiong Wu, Yiwen Yang, Penghong Yu, Xianfeng Chen, Luqi Yuan*
DOI: 10.1038/s41467-024-51712-z
原文链接:
https://doi.org/10.1038/s41467-024-51712-z

