

锁模激光器产生的超短脉冲在材料加工、光通信、光学传感、光谱学和医学等领域有着重要的应用。此外,锁模光纤激光器是研究耗散孤子丰富动力学的理想试验平台。随着先进实时表征技术的发展,虽然结合时间拉伸和时间透镜技术可以实现锁模激光器中部分脉冲动力学过程的全场表征,但大部分光孤子的非平衡动力学通常涉及具有嵌入色散波和相干结构的非平凡共存。因此,锁模光纤激光器中‘纯孤子’的动力学演变在很大程度上仍未得到充分探索。
非线性傅里叶变换(NFT),作为适用于超快光学的先进处理方法,近年来引起了人们的广泛关注。NFT作为一个强大的数学工具,在逆散射变换方法的框架下发展起来,用于求解非线性可积系统中的波传播问题,这使得非线性薛定谔(Nonlinear Schrödinger, NLS)方程的著名孤子解得以深入研究。同时,在合适的归一化条件下,NFT可以用于表征耗散非线性系统的超快动力学,从而显著降低精确追踪脉冲动力学的实际自由度。进一步地,在实际的超快激光实验中,测试NFT表征孤子动力学的泛化能力是非常必要的,因为大量孤子模式的存在可能对NFT的检索精度构成显著挑战。
在这项工作中,我们实现了超快光纤激光器中瞬态孤子动力学的全场表征(幅度和相位),包括表征在宽弛豫振荡中多孤子的形成过程、在外部注入下具有可重构时间分离的多孤子切换、光学孤子的可控漂移、以及漂移定制的数字编码。通过数值模拟进一步验证了实验结果的有效性。此外,利用自适应信赖域-非线性傅里叶变换方法(Adaptive Trust Region-Nonlinear Fourier Transform, ATR-NFT)对光孤子辐射进行表征,可以快速有效地求解复杂多脉冲的离散特征值。同时,利用逆NFT (Inverse Nonlinear Fourier Transform, INFT)可以恢复‘纯孤子’分布,证实滤波后的特征值可以很好地表征局域孤子模式。这些结果表明,NFT可以通过排除嵌入的色散波辐射影响来识别非平衡演化中的局域孤子,提供光孤子相互作用的独特视野,并有助于优化激光器性能。
图1. 锁模光纤激光器实验示意图及NFT分析。
如图1所示,在本实验中,利用相干零差检测和ATR-NFT方法,对多孤子的实时演变进行了全场表征。相应的实验装置如图1(a)和1(b)所示。图1(e)显示了准稳态下多个激光脉冲的全场时域表征。图1(f)显示了图1(e)中多个激光脉冲的示例性离散非线性傅立叶谱。每个点对应一个单独的孤子模式,其中特征值的虚部Im(λ)影响孤子的振幅与脉宽,实部Re(λ)与孤子中心频率和群速度有关。
图2. INFT恢复的波形与原始波形的比较。分别基于(a)软件库FNFT和(b)ATR-NFT方法计算INFT的离散谱。
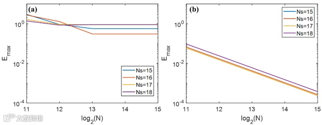
图3. 使用(a) 软件库FNFT和(b) ATR-NFT方法对特征值数Ns和时域样本数N的最大误差(Emax)估计。
在涉及离散谱中大量特征值的多孤子复杂演化的情况下,基于多项式方法的标准快速NFT (FNFT)方法在准确检索这些特征值方面存在明显困难。我们使用默认参数的传统软件库FNFT计算单次波形的离散谱,然后使用所有计算的特征值和谱系数恢复波形,恢复波形与实际波形的对比如图2(a)所示。由于离散特征值的搜索误差,恢复波形的强度分布与实际波形存在较大差异。进一步地,我们采用基于ATR-NFT的新方法计算特征值,恢复波形与实际波形一致(如图2(b)所示)。我们同时比较了使用FNFT和ATR-NFT方法进行特征值搜索的准确性。对比表明,与FNFT相比,ATR-NFT方法的计算精度提高了3个数量级(如图3所示)。

图4. 可控孤子漂移和典型的多字母编码。
锁模激光器具有丰富的非线性脉冲动力学,特别是在涉及多个孤子脉冲的瞬态演化中,通常存在线性色散波和相干结构的非平凡共存。孤子与内嵌色散波背底的共存给瞬态动力学的表征和分析带来了挑战。在这项工作中,我们基于自适应信赖域-非线性傅里叶变换方法和高带宽相干零差检测实现了锁模光纤激光器中瞬态孤子动力学的实时全场表征,为揭示复杂非线性系统中光孤子相互作用打开了一个新的物理学窗口。非线性傅里叶变换在光纤激光器色散波辐射中相干结构的分离和分析方面证明了它的有效性,这些发现为光学领域的超快瞬态动力学研究提供了新的思路。

论文信息:
Revealing Optical Soliton Radiation and Encoding via Nonlinear Fourier Transform
Yi Zhou,# Gai Zhou,*,# Yuwen Qin, Songnian Fu, Alan Pak Tao Lau, Philippe Grelu, and Kenneth K. Y. Wong*
ACS Photonics
DOI: 10.1021/acsphotonics.4c01623
原文链接:https://doi.org/10.1021/acsphotonics.4c01623


