
文章来源:FUTURE | 远见 Chip编辑部
近日,南京大学寇君龙、徐挺、陆延青团队以「Complex-amplitude-modulated meta-device for optical image processing」¹为题在Chip上发表研究论文,采用调制超表面光瞳函数的方法实现了边缘检测与高斯滤波的重要图像处理功能。第一作者为蒋欣辰和林沛城,通讯作者为徐挺、陆延青和寇君龙。Chip是全球唯一聚焦芯片类研究的综合性国际期刊,已入选「中国科技期刊卓越行动计划高起点新刊项目」、「中国科技期刊卓越行动计划二期项目-英文梯队期刊」,为科技部鼓励发表「三类高质量论文」期刊之一。
近年来,卷积神经网络(CNN)进入稳步发展阶段,广泛应用于模式识别、机器人操控与数据处理。尽管CNN在计算机视觉中取得了巨大的成功,但因为其电子系统中半导体器件的特性也带来了诸多挑战,包括巨大的算力需求和电子器件存在的热损耗问题。其中CNN的核心运算是卷积,而多层卷积结构带来的计算开销尤为高昂。因此,利用光学元件替代电子卷积层具有重要意义。为实现器件小型化与集成化,研究者致力于调控平面光学器件的传递函数。例如,Guo等通过光子晶体板实现拉普拉斯算子2,Zhu等利用一种实现了宽带二维微分3,Komar等通过米氏共振超表面实现各向同性图像处理4。然而,这些方法通常仅适用于单一操作,难以满足CNN卷积层对复杂特征映射(如边缘、纹理、形状组合)以及去噪算法的多样化需求。
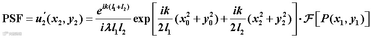
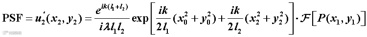
本研究成果提出了一种基于复振幅调制的紧凑型超表面设计方法,结合Pancharatnam-Berry相位与圆偏振转换效率调控器件的复光瞳函数(Pupil function)。相较于传统4f系统需匹配卷积核与点扩散函数(Point spread function, PSF)的思路,该单层超表面可直接根据目标空间频率分量设计光瞳函数。为使得该超表面具备卷积操作的功能,研究者为光瞳函数施加了额外的聚焦透镜相位以抵消杂散相位项,通过图1(a)所示的点扩散函数计算过程,最终PSF函数表达式为:
其中P为施加了聚焦透镜相位后超表面的光瞳函数。由于根据傅里叶光学理论,输出图像是输入图像与PSF的卷积,像平面光场分布U(x2,y2)可表示为:
对等式两侧进行傅里叶变换可得:
因此,通过调控超表面的光瞳函数滤除非目标空间频率分量,无需传统4f系统。为验证这一理论,研究者对边缘检测和高斯滤波两种常见的图像处理功能进行了超表面设计,如图1(b)-(c)所示。
图1 | 光学卷积超表面工作原理。(a) PSF计算示意图;(b)-(c) 边缘检测与高斯滤波功能示意图。
首先研究者参照一阶拉盖尔-高斯光束在z = 0处的电场分布对超表面光瞳函数进行调制,该电场分布具有甜甜圈形状振幅和螺旋相位,如图2(a)(c)所示。为了证明超表面能够实现有效的二维空间微分,研究者在模拟和实验中的「NJU」图案进行了边缘检测。图2(e)给出了处理后图像的模拟和测量结果。可以看出,位置变化剧烈的边缘已被有效检测,而变化较缓的部分则被滤除。同时,图2(f)给出了模拟与实验结果的定量对比,展示了图3(e)中蓝色和橙色虚线方向的光强剖面。这里采用边缘光强的全宽半高(FWHM)作为边缘检测精度的标准。通过选取两个光强剖面中的所有峰值,计算其平均FWHM,并确定模拟和实验的检测精度分别为2 μm和2.6 μm。此外,研究者考虑到具有高斯型光瞳函数的超表面将在功能半径内形成亮场图像,同时滤除入射图像高空间频率分量,因此选取了一定束腰半径的高斯光束作为光瞳函数的调制参考进行高斯滤波操作。在本工作中,研究者选取了四幅具有不同图案或噪声的图像来评估超表面作为高斯滤波器的性能。模拟和实验中输入图像分别呈现在图3(e)中从左至右的第一列和第三列。在这四幅图像中,字母「NJU」、手写的「7」和「5」的图案受到了椒盐噪声的污染,而下方的「7」中则引入了高斯噪声。图3(e)中从左至右的第二列和第四列展示了去噪后图像的模拟与实验结果。显然,大部分噪声在通过超表面后已被去除。为了进行定量分析,研究者采用了峰值信噪比(PSNR)作为图像质量的评价标准。图3(e)中图像下方给出了相对于无噪声原始图像的相应PSNR值。显然,去噪图像的PSNR显著提高,这证明了去噪后图像的质量高于输入噪声图像。
图2 | 边缘检测结果。(a),(c) 分别显示圆偏振光照射下超表面的振幅和相位分布。(a) 中的插图是离散化的振幅分布;(b) 制造的超表面扫描电子显微镜(SEM)图像。整个器件的直径为600 μm,比例尺为2 μm;(d) 测量得到的超表面强度分布。(d) 中的插图是沿 (a) 中蓝色虚线和 (d) 中橙色虚线的模拟和测量强度剖面;(e) 「NJU」经过边缘检测后的模拟图像(上)和测量图像(下)。比例尺为10 μm;(f) 沿 (e) 中蓝色和橙色虚线的模拟和测量强度剖面分布。
该研究介绍了一种新的用于光学图像处理的复杂振幅调制超表面,展示了其在理论和实践方面的重大进展。该超表面利用复杂的振幅调制来实现高速、低功耗和通用的图像处理功能,如边缘检测和高斯滤波。其紧凑的设计和可调的光瞳函数功能使得无缝集成到各种成像系统成为可能,为实时检测应用提供了可替代方案。该元设备提供了一个绕过传统4f系统的光学计算框架,同时展示了其在生物医学成像、模拟计算、高分辨率显微镜等方面的应用潜力。
图3 | 高斯滤波去噪结果。(a),(c) 分别显示圆偏振光照射下超表面的振幅和相位分布。(a)中的插图是离散化的振幅分布;(b) 制造的元器件的扫描电子显微镜(SEM)图像。整个超表面的直径为600 μm,比例尺为2 μm;(d) 测量得到的超表面强度分布。(d) 中的插图是沿(a)中蓝色虚线和(d)中橙色虚线的强度剖面;(e) 不同噪声或图案下的数值模拟和实验测量结果。比例尺为20 μm。模拟和实验中输入图像为从左数第一和第三列。字母「NJU」、手写「7」和「5」的图案被椒盐噪声污染,而高斯噪声则在第三行加入到手写「7」中。从左数第二列和第四列分别展示了模拟和实验中去噪后的图像结果。
Complex-amplitude-modulated meta-device for optical image processing¹
In recent years, convolutional neural networks (CNNs) have entered a phase of steady development, finding extensive applications in pattern recognition, robotic control, and data processing. Despite their tremendous success in computer vision, CNNs are facing numerous challenges due to the inherent characteristics of semiconductor devices in electronic systems, including massive computational demands and thermal dissipation issues. The fundamental operation of CNNs—convolution—incurs particularly high computational overhead due to multi-layered convolutional architectures. Consequently, replacing electronic convolutional layers with optical components holds significant importance. To achieve device miniaturization and integration, researchers have focused on modulating the transfer functions of planar optical devices. For example, Guo et al. realized a Laplacian operator using photonic crystal slabs2, Zhu et al. achieved broadband two-dimensional differentiation3, and Komar et al. demonstrated isotropic image processing via Mie-resonant meta-devices4. However, these methods are typically limited to single operations, failing to meet the diverse requirements of CNN convolutional layers for complex feature mapping (e.g., edges, textures, shape combinations) and denoising algorithms.
This study proposes a compact meta-device design method based on complex amplitude modulation, combining Pancharatnam-Berry phase and circular polarization conversion efficiency to regulate the device’s complex pupil function. Unlike traditional 4f systems that require matching convolution kernels to point spread functions (PSFs), this single-layer meta-device directly designs the pupil function based on target spatial frequency components. To enable convolutional functionality, an additional focusing lens phase is imposed on the pupil function to cancel stray phase terms. Through the PSF calculation process illustrated in Fig. 1(a), the final PSF expression is:
where P represents the pupil function of the meta-device after incorporating the focusing lens phase. According to Fourier optics theory, the output image is the convolution of the input image and the PSF, with the image plane field distribution U(x2,y2) expressed as:
Then, performing Fourier transforming on both sides:
Thus, by modulating the meta-device’s pupil function to filter undesired spatial frequency components, the traditional 4f system is rendered unnecessary. To validate this theory, the researchers designed meta-devices for two common image processing tasks—edge detection and Gaussian filtering—as illustrated in Figs. 1(b)-(c).
Fig. 1 | Working principle of convolutional meta-device for image processing. (a) Schematic of PSF calculation; (b)-(c) Functional diagrams of edge detection and Gaussian filtering.
Firstly, the researchers modulated the meta-device's pupil function based on the electric field distribution of a first-order Laguerre-Gaussian beam at z = 0, which exhibits a doughnut-shaped amplitude and spiral phase, as shown in Figs. 2(a) and 2(c). To demonstrate the meta-device’s capability for effective 2D spatial differentiation, edge detection was simulated and experimentally performed on an 「NJU」 pattern. Fig. 2(e) presents the simulated and measured results of the processed image. Rapidly varying edges are effectively detected, while slowly varying regions are filtered out. Fig. 2(f) provides a quantitative comparison between simulations and experiments, showing intensity profiles along the blue and orange dashed lines in Fig. 2(e). The full width at half maximum (FWHM) of edge intensity was used as the criterion for detection accuracy. By averaging the FWHM of all peaks in two intensity profiles, the simulated and experimental detection accuracies were determined as 2 μm and 2.6 μm, respectively.
Fig. 2 | Edge detection results. (a), (c) Amplitude and phase distributions of the meta-device under circularly polarized illumination. The inset in (a) shows discretized amplitude distribution; (b) Scanning electron microscopy (SEM) image of the fabricated meta-device. The device diameter is 600 μm, scale bar: 2 μm; (d) Measured intensity distribution of the meta-device. Insets show the simulated and measured intensity profiles along the blue dashed line in (a) and orange dashed line in (d); (e) Simulated (top) and measured (bottom) edge-detected 「NJU」 images. Scale bar: 10 μm; (f) Simulated and measured intensity profiles along the blue and orange dashed lines in (e).
Additionally, considering that a meta-device with a Gaussian-type pupil function would generate a bright-field image within a functional radius while filtering high spatial frequency components, the researchers selected a Gaussian beam with a specific waist radius as the reference for pupil function modulation in Gaussian filtering. Four images with distinct patterns or noise types were used to evaluate the meta-device’s performance as a Gaussian filter. The simulated and experimental input images are shown in the first and third columns of Fig. 3(e), respectively. Among these, the letters 「NJU」, a handwritten 「7」, and a 「5」 were contaminated with salt-and-pepper noise, while the lower 「7」 contained Gaussian noise. The second and fourth columns of Fig. 3(e) display the denoised images from simulations and experiments. Most noise is effectively removed after passing through the meta-device. For quantitative analysis, the peak signal-to-noise ratio (PSNR) was adopted as the image quality metric. The PSNR values relative to noise-free original images are provided below each image in Fig. 3(e). The significant PSNR improvement confirms the enhanced quality of denoised images compared to noisy inputs.
This study introduces a novel complex-amplitude-modulated meta-device for optical image processing, demonstrating significant theoretical and practical advancements. The meta-device leverages complex amplitude modulation to achieve high-speed, low-power, and versatile image processing functions such as edge detection and Gaussian filtering. Its compact design and tunable pupil function enable seamless integration into diverse imaging systems, offering an alternative solution for real-time detection applications. This device establishes an optical computing framework bypassing traditional 4f systems while showcasing potential in biomedical imaging, analog computing, high-resolution microscopy, and beyond.
参考文献
1. Jiang, X. et al. Complex-amplitude-modulated meta-device for optical image processing. Chip 4, 100132 (2025).
2. Guo, C. et al. Photonic crystal slab Laplace operator for image differentiation. Optica, 5, 251-256 (2018).
3. Zhu, T. et al. Generalized spatial differentiation from the spin Hall effect of light and its application in image processing of edge detection. Phys. Rev. Appl. 11, 034043 (2019).
4. Komar, A. et al. Edge detection with Mie-resonant dielectric meta-devices. ACS Photonics 8, 864e871 (2021).
https://www.sciencedirect.com/science/article/pii/S2709472325000061
作者简介
寇君龙,副教授,博士生导师,国家级青年人才,紫金学者。本科毕业于南京大学,博士毕业于加州理工学院。长期从事微纳结构调控的无源、有源光电材料及器件研究,器件主要用于光传感、光通信、能源、汽车雷达、生物医疗等领域。2021年入选国家级青年人才,2022年入选紫金学者,曾获江苏省科学技术一等奖、南京大学青年五四奖章、中国光学学会「王大珩」高校学生光学奖、江苏省优秀硕士学位论文、南京大学教学竞赛一等奖等。寇君龙教授在Nature系列、IEEE系列、OPTICA系列、ACS系列、Physical Review系列等著名微电子和光电子刊物发表同行评议论文50余篇,相关成果被人民日报、Nature Photonics、麻省理工科技评论、今日头条等报道;申请、授权美国发明专利1项、中国发明专利20项,转让1项;撰写图书章节2章。中国光学学会高级会员,中国光学工程学会高级会员,中国电子学会/中国物理学会/OPTICA/IEEE/SPIE会员,《Chip》、《红外与激光工程》、《光子学报》、《真空》青年编委。指导学生多次获得国家级大创项目、地方创新创业项目、南京大学优秀毕业生等荣誉。
Prof. Jun-long Kou received his bachelor's degree from Nanjing University and his Ph.D. from the California Institute of Technology. He has been engaged in passive and active optoelectronic materials and devices with micro-nano structure control. From 2019 to 2022, he worked at leading international semiconductor companies, engaging in the research and development and application of semiconductor lasers and modulator chips. He was selected as a National Young Talent and Zijin Scholar. He has won awards such as the First Prize of Jiangsu Province Science and Technology, the Nanjing University Youth May 4th Medal, the Chinese Optical Society Wang Daheng College Student Optics Award, and the Excellent Master's Degree Thesis of Jiangsu Province. Professor Kou has published more than 50 peer-reviewed papers in renowned optoelectronics journals such as the Nature series, IEEE series, OPTICA series, ACS series, and Physical Review series. His research findings have been reported by Nature Photonics, MIT technology review, etc.
徐挺,南京大学现代工程与应用科学学院副院长,南京大学未来技术创新研究院院长,智能光传感与调控技术教育部重点实验室主任。曾入选长江学者特聘教授,国家高层次人才,海外高层次青年人才,美国光学学会会士。担任中国光学学会光学制造专委会副主任委员,中国材料研究学会超材料分会理事,科研方向主要集中于微纳光学及应用基础研究,发表包括Nature、Nature Nanotechnology、Nature Communications、PRL等在内的学术论文100余篇。
Prof. Ting Xu currently serves as Vice Dean of the School of Modern Engineering and Applied Sciences at Nanjing University, Director of the Institute for Future Technologies Innovation, and Director of the Key Laboratory of Intelligent Optical Sensing and Manipulation Technology, Ministry of Education of China. He has been honored as Distinguished Professor and Fellow of Optica (formerly OSA). His research is centered on micro/nano optics and fundamental studies in applied optical science. He has authored over 100 peer-reviewed publications in leading international journals such as Nature, Nature Nanotechnology, Nature Communications, and Physical Review Letters.
陆延青,入选长江学者、国家杰青、万人领军等人才计划,致力于液晶光学、微纳光学及其应用研究,主持863、973、重点研发等科研项目,在Science、Nature子刊、PNAS、PRL等刊物上发表论文400余篇,获国家及省部级、一级学会科技奖励十余项;担任中国光学学会会士/常务理事、中国光学工程学会会士/常务理事、中国物理学会理事兼液晶分会主任、美国光学学会会士及COL执行主编。
Prof. Yan-qing Lu is a Distinguished Professor of Changjiang Scholars Program, a winner of the National Science Foundation for Distinguished Young Scholars. He has taken charge of a number of national projects such as the National Key R&D Program of China, the National High-Tech R&D Program of China (the 863 Program), the National Key Basic Research Program (the 973 Program) and the National Natural Science Foundation. His research focus is liquid crystal optics and nanophotonics. So far, he has published over 400 papers on SCI journals as Science, NP, PRL, NC, PRL, AM, SA, etc. He is the Fellow of the Chinese Optical Society (COS), and the Fellow of the Optical Society (OSA), member of SPIE, SID, the executive editor of Chinese Optics Letters.

