




今天我们继续为大家带来本周的超材料前沿研究精选,内容涉及通过合成轴子场探测超快磁化动力学,高熵氧化物纳米带的弹性、形态和熵转变,自组装纳米粒子晶格中的纳米尺度声子动力学,非线性超表面中的拓扑印迹等,敬请期待!
3、非线性超表面中的拓扑印迹
4、自旋轨道耦合Mott绝缘体中声子驱动的多极动力学
5、自组装纳米粒子晶格中的纳米尺度声子动力学
6、测量诱导相变中的拓扑结构与谱特征
7、准晶稳定性和形核动力学的密度泛函理论
8、高熵氧化物纳米带的弹性、形态和熵转变

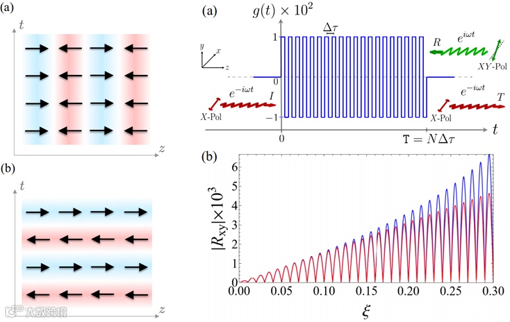
时间调制介质的光学研究可以追溯至上世纪50至70年代的开创性工作。近年来,伴随材料工程与纳米制造技术的迅猛发展,研究者对该领域的兴趣持续升温,也使得时间调制光学结构的实验实现变得切实可行。通过在时间维度上调控材料参数,系统可展现出一系列非常规现象。由于系统不再具备时间平移对称性,能量守恒在一般不再成立,这为实现辐射的选择性放大、频率转换,甚至静止电荷辐射等现象提供了可能。此外,时间调制还可在无静态磁场的条件下,在光学频率范围内打破时间反演对称性,为构建强非互易光学结构提供新的平台。从物理图像上看,时变介质与光子晶体在概念上存在对应关系。空间周期性结构赋予光子晶体以动量空间中的能带结构,而时间调制则使系统在频率域产生非平凡结构。典型实例是光子时间晶体,其具有动量带隙、可支持时间反射等独特现象。需要指出的是,光子时间晶体与“真正的”时间晶体不同,后者的时间对称性是自发破缺而非外部驱动。尽管时间调制常常伴随时间反演对称性破缺和非互易性,但其可实现的非互易响应形式仍远未被完全探索。其中,轴子电动力学近年来在基础物理、凝聚态物理以及光学领域均受到广泛关注,成为研究焦点。已有研究表明,在空间磁化非均匀(如反铁磁结构)中可以诱导有效轴子场。这些系统中的基本激发,例如自旋波或磁振子,使得轴子响应具有显著的时间依赖性。
近日,圣彼得堡ITMO大学的Maxim A. Gorlach教授团队提出了一个全新的机制:即使磁化在空间上保持均匀,仅通过其在时间上的快速调制,也可以诱导出一个有效的轴子场。磁化在特定时刻被快速激发并在短时间内振荡衰减。即使在整体上平均磁化为零的条件下,这种超快的磁化动态仍可产生非平凡的轴子响应。更重要的是,所诱导的轴子场不仅取决于振荡的幅度,还对其初始相位高度敏感。该有效轴子场反过来调控低频探针波的传播行为,特别体现在交叉偏振的时间反射与时间透射信号中。这意味着,即便无法直接解析太赫兹尺度上的磁化振荡,也可通过探针波中的光学响应“反演”出其关键信息,从而为研究超快磁化动力学提供了一种全新的测量范式。
相关内容发表于《PHYSICAL REVIEW LETTERS》。(金梦成)

文章链接:
https://doi.org/10.1103/2rrr-glyn
太赫兹频段在生物医学成像、安全检测及未来无线通信领域具有战略价值,尤其对6G及后6G技术发展至关重要。然而传统太赫兹器件面临体积大、损耗高、制造复杂等挑战。硅基光子晶体虽能实现低损耗传输,但受限于尖锐弯折处的严重信号衰减,制约了高密度集成芯片的发展。谷霍尔光子晶体(VPC)通过打破空间反演对称性产生拓扑边界态,在特定弯折角度下展现出近乎无损的传输特性,并已实现超高速数据通信。但既有的VPC设计受晶格受到对称性约束,波导路径仅能沿固定轴向延伸并限定弯折角度,无法满足多功能芯片的自由布局需求。
近日,新加坡南洋理工大学的Chong Yidong教授、Ranjan Singh教授研究团队创新性地提出非晶拓扑光子解决方案。利用分子动力学模拟重构三角晶格,构建出具有局部有序而长程无序的全硅结构。理论证实非晶化虽缩小体能隙,但短程序仍维持拓扑保护机制——通过调控两种相反谷陈数域的界面,形成鲁棒边界态通道。实验制备的芯片成功实现多种任意角度弯折及复杂曲线波导,其中典型直角结构在工作频段内展现近完美传输与低反射特性。对比测试显示,非晶VPC在任意弯折下均显著优于传统波导,其场局域化能力有效抑制散射损耗。基于此原理设计的四端口频率路由器,实现了输入信号向垂直方向的高效分流转发。高速通信验证中,不同构型互连芯片均达到吉比特级传输速率,功率代价处于可控水平。该方案突破了晶体对称性对波导路径的束缚,为太赫兹集成芯片提供了自由形状互连的关键技术路径。此项成果发表于《Science Advances》。(刘梦洋)

3、非线性超表面中的拓扑印迹
随着光学物理的发展,光被发现不仅具备波长、相位等传统特征,还拥有轨道角动量(OAM)等额外自由度,推动了结构光的出现。这类光束可在多个维度定制,广泛应用于通信、量子信息与精密成像。早期结构光主要借助线性光学实现,近年逐渐引入非线性过程(如谐波产生)以获得更复杂的光场结构,但始终受相位匹配、材料吸收及器件体积等限制。平面光学器件(如超表面)因其亚波长厚度与灵活设计,在短波长下提供了突破口。特别是全电介质非线性微系统,能在不依赖严格相位匹配的条件下,通过非线性相互作用实现对光束振幅、相位与偏振的控制,成为实现小型化、高效结构光生成的关键方案。尽管如此,双频调控等仍面临材料、几何与相互作用间的精细权衡,设计仍具挑战性。
近日,杜克大学的Natalia M. Litchinitser团队为克服传统非线性光学在短波长下效率低、相位匹配难和材料吸收强等挑战,提出一种基于拓扑印迹的策略,在基频(FF)和谐波(如三次谐波TH)频率下同步生成相同的波前结构。通过设计非线性光学超表面(MS),并结合拉曼-纳特效应和锁相机制,实现了OAM态和光学结等复杂结构在FF与TH中的复刻。特别地,尽管多晶硅在可见光下具有强吸收,INHOM-TH分量仍能被锁相并随泵浦光共传播,不受吸收影响。在强吸收材料中,HOM-TH因迅速衰减而被抑制,使得INHOM-TH得以主导,从而实现清晰的拓扑保持。实验中,成功在FF和TH频率下同时产生具有一致波前的拉盖尔-高斯光束,且在FF处的谐振结构可转印至TH中,尽管后者位于材料吸收带内。这一策略为实现在紫外甚至更短波长下的高效结构光整形提供了新方向,有望突破材料限制和制造瓶颈,推动非线性光学器件的小型化与集成化发展。相关工作发表在《Science Advances》上。(刘帅)
文章链接:
https://doi.org/10.1126/sciadv.adv5190
4、自旋轨道耦合Mott绝缘体中声子驱动的多极动力学
近年来,随着超快光学和太赫兹技术的发展,科研工作者得以用光激发晶体中的电子、原子,制造出各种令人惊叹的非平衡量子态。例如,通过共振激发晶体中的特定声子模式,可以操控超导态、铁电态,甚至诱导全新的磁有序。这一领域已经从传统的磁偶极子(即普通磁性)系统扩展到了更为隐秘而复杂的“多极矩”自由度。所谓多极矩,诸如四极矩(quadrupole)和八极矩(octupole),并不像常见的磁矩那样容易探测,它们往往与自旋-轨道纠缠态相关,不能直接被磁场或常规探针探测,因此被称作“隐秩序”(hidden orders)。然而,这些“隐秩序”在许多强自旋-轨道耦合材料中极为普遍,例如镧系和过渡金属氧化物等。近年来,实验上开始观察到这些隐秩序通过与晶格振动(声子)的耦合展现出一些“蛛丝马迹”——例如在Ca₂RuO₄中,通过太赫兹激发出现的异常声子谱宽度揭示了潜在的四极矩序。这一前沿发展亟需理论工作跟进,建立可模拟多极矩材料中“光-声-自旋”三者耦合的动力学理论框架,助力实验识别、调控这些难以捉摸的秩序。
近日,加拿大多伦多大学物理系 Arun Paramekanti 教授团队,首次提出并实现了一套面向多极矩莫特绝缘体的“光驱动多极动力学”模拟工具,揭示了晶格声子如何在超快时间尺度内诱导、探测甚至反转材料内部的八极矩秩序。这项工作以含有竞争四极与八极有序倾向的双钙钛矿材料为模型,深入探讨了Eg对称的局域爱因斯坦声子与局域赝自旋之间的耦合行为,并提出一种类比磁场作用下自旋进动的“多极进动”现象:当线性耦合的声子模式被脉冲激发后,系统中的多极矩状态会沿非对角向发生进动,从而促成隐藏的八极矩状态在皮秒尺度上的建构与操控。研究团队使用蒙特卡洛方法结合分子动力学模拟,对经典赝自旋与声子耦合系统的非平衡演化进行了建模。在设定合理参数(例如声子频率80 meV,对应约0.6 ps的时间尺度)后,研究人员成功再现了以下结果:(1)通过泵浦-探测模拟发现,在八极有序相中,激发一个声子模式(如Qₓ)可在皮秒内触发能量向正交声子模式(Qz)转移,这种“能量交换行为”可作为八极有序的间接探针;(2)采用两个声子模式的相干激发(具有特定相位差),可以在参数相中瞬时诱导出暂态八极序,且其方向由相位差决定;(3)在预有八极序的材料中,合适的双模声子驱动还能实现“八极序反转”——即从+⟨τy⟩反转为–⟨τy⟩,对应多极有序的方向翻转。这种反转通过声子激发在“多极矩空间”中推动赝自旋穿过对称壁实现,展现出复杂的非线性多体响应机制。研究团队建议,实验上可通过受激拉曼散射激发声子,结合时间分辨X射线衍射(trXRD)或时间分辨二次谐波信号(tr-SHG)来验证其理论预测。尤其在后者中,通过测量SHG信号的对称性变化,即可精确反映八极矩的“符号”,实现对其超快反转过程的直接成像。
相关内容发表于《Physical Review Letters》上。(张琰炯)
文章链接:
5、自组装纳米粒子晶格中的纳米尺度声子动力学
拓扑设计为多种系统赋予独特性能,从MAXXI博物馆的曲面结构到软机器人致动器及拓扑超材料中的单向边界态和可重构波导。特别是麦克斯韦晶格等拓扑工程机械框架,因其边缘稳定性、可转换性和拓扑保护模式在减震与非互易传输中具有重要应用。此类框架已在宏观尺度广泛实现,并在纳米尺度通过光刻和印刷技术逐步推广。声子能带结构作为波矢函数表征其传播特性,是设计与操控声子的关键。同时,胶体纳米粒子(NP)自组装结构因其可调性和拓扑控制潜力受到关注。尽管NP组装晶格有望结合纳米特性与机械性能,在兆赫兹至太赫兹频段实现新型超材料,但其声子能带结构尚未充分探索。受限于现有表征手段的空间和频率分辨率,传统方法难以适用于纳米尺度,亟需发展新理论与实验方法以深入理解NP组装框架的物理机制。
近日,伊利诺伊大学Qian Chen、密歇根大学Xiaoming Mao、威斯康星大学麦迪逊分校Wenxiao Pan团队,将拓扑设计的机械框架与胶体纳米粒子(NP)组装晶格相结合,提出了NP组装晶格(如麦克斯韦晶格与六边形晶格)中声子能带结构的理论与实验框架。采用各向异性的金纳米立方体构建具完美铰链特性的麦克斯韦晶格,限制粒子纵向运动并允许旋转自由度。利用液相透射电子显微镜构建的声子模式纳米显微镜(PMN)平台,无需预设相互作用模型即可测量声子能带结构,并识别晶格中的软模式与各向异性传播特性。相比之下,六边形晶格不含软模式,展现各向同性行为并抑制重构。结合PMN与粗粒度计算,揭示了晶格结构与NP间多体、熵效应及远程相互作用对声子结构的调控机制。该研究为纳米尺度声子传播与NP基机械超材料的开发提供了理论与实验基础。相关工作发表在《Nature Materials》上。(刘帅)

文章链接:
https://doi.org/10.1038/s41563-025-02253-3
6、测量诱导相变中的拓扑结构与谱特征
拓扑学已成为理解物质稳定相的核心理论框架之一。对于具有有限激发能隙的局域哈密顿体系,不同拓扑相之间的基态无法在不闭合能隙的条件下连续变换,这种不可变性源于拓扑不变量的离散性。特别是在对称保护拓扑相中,体系的非平庸拓扑结构会在边界诱导出受对称性保护的无能隙模态。这一被称为体-边对应的现象,在过去几十年中得到了广泛而深入的研究与验证。然而,尽管拓扑理论在平衡态体系中取得了巨大成功,其在非平衡动力学系统中的角色仍未被充分揭示。特别是被监测的量子系统近年来受到极大关注,它们在多次测量与量子演化的协同作用下展现出如纠缠熵跃迁、信息纯化等新颖的非平衡量子相变。然而,这些系统中的时空随机性由测量结果的概率性所引入,破坏了时空平移对称性,使得传统定义下的拓扑不变量与边界态等概念难以直接应用,从而成为理解此类系统拓扑特性的主要障碍。
近日,东京大学的Hisanori Oshima教授团队提出并验证了一种新的理论框架,首次在被监测的Majorana电路中揭示了Lyapunov边界模态与拓扑不变量的存在。这些量能够有效表征测量诱导下的拓扑相变,并呈现出类似于体-边对应的拓扑特性。团队引入了一种基于Lyapunov分析的“有效哈密顿量”方法,发现当系统处于拓扑相时,Lyapunov谱中存在零能模态,其波函数局域于边界;而在平庸相中,此零模完全缺失。此外,还构造了一种结合边界测量结果扭曲的拓扑不变量,该不变量可准确区分拓扑与平庸的面积律纠缠相。进一步地,在系统处于临界相时,发现Lyapunov谱整体闭合,尽管此时体-边对应关系被削弱,但该拓扑不变量在有限时间尺度上的演化仍可动态地刻画出三种相的区别。尽管本工作主要聚焦于自由费米子系统,提出的分析方法具有良好的通用性,预计可拓展至包含相互作用的多体体系,从而为研究测量诱导拓扑相变提供一种普适而强有力的理论工具。相关内容发表于《PHYSICAL REVIEW LETTERS》。(金梦成)

文章链接:
https://doi.org/10.1103/PhysRevLett.134.240401
7、准晶稳定性和形核动力学的密度泛函理论
准晶作为一类兼具长程取向序与非平移对称性的材料,自发现以来持续挑战固体物理的基本认知。其独特的结构介于晶体与非晶态之间,导致其热力学稳定性长期存在根本性争议:准晶究竟是零温热力学基态相,还是依赖熵稳定的高温亚稳态?传统密度泛函理论受限于周期性边界条件,无法直接计算非周期体系的能量,致使该问题悬而未决。既往研究通过热退火行为、电子浓度规则或凝固中间相等间接证据推测准晶稳定性,但这些方法难以区分热力学稳定性与动力学效应。这种认知局限不仅阻碍对准晶形成机制的深入理解,更制约了新型非周期材料的设计与应用。因此,发展突破周期性限制的第一性原理计算方法,成为揭示准晶本征稳定性的关键科学挑战。
近日,美国密歇根大学的孙文豪教授团队创新性地开发了纳米颗粒尺寸标度技术,首次实现了准晶体相形成能与表面能的直接第一性原理计算。该方法通过构建不同尺寸的二十面体准晶纳米颗粒,结合高精度有限元密度泛函理论计算,系统研究了ScZn7.33与YbCd5.7两种典型二元准晶。计算结果表明,这两种准晶的体相形成能均显著低于其相应合金体系的凸包线,确证它们为零温热力学稳定的基态相。这一发现颠覆了“平移对称性是固体零温稳定性必要条件”的传统认知,对理解固体中原子结构与化学键的本质关系提出了深刻问题。尽管ScZn7.33被证实为热力学稳定相,研究进一步发现其凝固过程受动力学制约:具有较低表面能的ScZn6相在多数成分条件下优先成核。通过构建混合热力学-动力学相图,该研究揭示仅在高锌成分与特定过冷度条件下,准晶相才具备成核优势,这合理解释了其合成困难性与实验观测现象。此项工作不仅解决了准晶稳定性这一长期争议,其发展的非周期材料能量计算方法为研究玻璃、非晶氧化物等复杂体系的构效关系开辟了新途径,该研究成果发表于《Nature Physics》。(刘梦洋)

文章链接:
https://doi.org/10.1038/s41567-025-02925-6
8、高熵氧化物纳米带的弹性、形态和熵转变
在材料科学快速演进的当下,设计出兼具高稳定性、强机械性能与复杂功能性的低维纳米材料,成为推动下一代能源、电子与极端环境工程应用的关键所在。其中,高熵材料(High-Entropy Materials, HEMs)因其多组元构成所带来的高度混乱结构和巨大的热力学稳定性,正在引发广泛关注。相比传统单组元或低组元材料,高熵氧化物(High-Entropy Oxides, HEOs)不仅拥有超高的熵稳定性,还在热、压、化学环境中表现出惊人的结构韧性。然而,迄今为止,绝大多数HEO依旧局限于颗粒形态,难以实现维度可控、生长受限结构的构筑,尤其是在一维形貌下的稳定性和物理性能研究仍属空白。而要真正发挥HEO的工程潜力,还必须探索其在极端条件下的结构转变机制、能量吸收能力以及在多场耦合下的响应行为。
针对这一挑战,伊利诺伊州芝加哥大学Amin Salehi-Khojin教授、Russell J. Hemley院士联合斯德哥尔摩大学黄哲昊教授,成功合成出具有一维纳米带结构的高熵氧化物(MoWNbTaV)O₃,并系统研究其在高温、高压、强酸碱环境中的结构演化与热力学行为。该研究中,研究团队从五种过渡金属元素出发,采用空气氧化2D硫化物前驱体(MoWNbTaV)S₂的策略,精确控制温度和升温速率,获得宽度从60纳米到15微米可调、结构均匀的一维HEO纳米带。该纳米带在1000°C的高温、30 GPa的超高压,以及pH=2.3(5 mM H₂SO₄)与pH=13(0.1 M NaOH)的强酸碱环境中均展现出卓越的结构稳定性,并保持单相结构无析出,显示出强大的耐腐蚀与热力韧性。此外,其机械性能同样令人瞩目:在纳米压痕测试中,材料的硬度高达6.89 GPa,弹性模量约为70 GPa,弹性回复模量更高达40 MJ/m³,远超当前航空用高温合金Ti-6Al-4V与Inconel 718的性能。高压原位XRD揭示,该材料在15 GPa时发生从正交晶相到立方相的重构转变,继续加压至30 GPa后形成完全可逆的无定形态结构,释放出结构无序熵,表明该体系具备“熵上加熵”的能力,拓展了高熵材料的定义与应用边界。文章指出,该一维HEO纳米带兼具高硬度、高弹性、高稳定性和应变响应性,有望在极端环境防护、能量吸收材料、热电与耐蚀涂层等领域发挥核心作用,也为理解低维高熵体系中的结构熵与功能耦合机制提供了全新视角。相关内容发表于《Science》上。(张琰炯)
https://www.science.org/doi/10.1126/science.adr5604

免责声明:本文旨在传递更多科研资讯及分享,所有其他媒、网来源均注明出处,如涉及版权问题,请作者第一时间后台联系,我们将协调进行处理,所有来稿文责自负,两江仅作分享平台。转载请注明出处,如原创内容转载需授权,请联系下方微信号。

