

近日,国防科技大学李永强教授团队联合华中科技大学吴英海副教授和吉林大学袁建民教授在量子多体系统弛豫动力学中的拓扑物态研究中取得重要进展,相关研究成果以“相互作用玻色系统弛豫动力学中拓扑物态的演生现象”(Emergence of Topological States in Relaxation Dynamics of Interacting Bosons)为题,发表于物理学顶级期刊《物理评论快报》(Physical Review Letters)。
国防科技大学硕士研究生黄旺(现博士)、讲师杨旭辰和博士研究生曹睿为此论文的共同第一作者,国防科技大学李永强教授和华中科技大学吴英海副教授为论文的通讯作者,吉林大学袁建民教授为该工作做出了重要贡献。
自整数量子霍尔效应被发现以来,拓扑物理已成为凝聚态物理乃至整个物理学科中的热门领域,拓扑的概念在物理学研究中发挥着越来越重要的作用。拓扑非平庸的量子物态具有奇异的性质,例如拓扑边缘态和对微扰的鲁棒性等,这对于设计新型电子器件和功能材料以及构建拓扑量子计算具有非常重要的意义。目前,对于量子物态的拓扑性质的研究大多都聚焦于系统的基态,其拓扑特性已有了较为深刻的认识,但对于非平衡量子多体系统的拓扑性质尚未得到充分探索。
在本项工作中,研究团队将强关联、拓扑和非平衡等物理因素结合起来,研究了拓扑量子系统的非平衡弛豫过程,揭示了一个能量远远偏离基态时的拓扑平庸态如何演化为拓扑非平庸态的动力学过程,并提出了一个实验方案。研究发现,长时间演化后演生的稳态是一个能量远远偏离基态、且与许多能量本征态有交叠的高能量态,展示出了拓扑、非热以及低熵等奇异性质,具备对称性保护拓扑基态类似的物理(如图1所示)。

图1 量子多体系统弛豫动力学中的拓扑非平庸稳态的演生
光晶格中的超冷原子为研究量子多体系统的弛豫动力学提供一个纯净和可控的实验平台。在当前的冷原子实验中,人们可以通过调控激光的场强和相位来构造一维超晶格,用于装载超冷玻色气体。通过调控原子在光晶格中的隧穿项和相互作用项,可以在冷原子系统中模拟拓扑非平庸的一维超晶格Bose-Hubbard 模型。实验上可以利用自旋依赖的光晶格技术,将玻色子制备到一个用粒子占据数表征的直积态上。研究团队以一维超晶格Bose-Hubbard模型为例,驱动玻色子从占据数为 1010……的高能量的初态出发,进行长时间幺正动力学演化至稳态,进而研究相互作用系统弛豫动力学中稳态的拓扑性质。

图2 不同参数下长时间演化后的稳态显现出不同的拓扑特性。(a)两种拓扑平庸初态的示意图; (b-e)拓扑非平庸情形下的数值计算结果; (f-i)拓扑平庸情形下的数值计算结果; (b)(f)弦关联函数随时间的演化,橙色实线和绿色实线分别对应系统从1010…和1100…初态出发后的结果,黑色虚线对应于热力学系综的预测结果; (c)(g)半链二阶Renyi熵随时间的演化; (d)(h)不同大小子系统的二阶Renyi熵,其中红色实线和黑色实线分别对应稳态和热力学系综的结果; (e)(i)不同尺寸大小系统的弦关联函数的动力学。
研究团队发现在一定参数区间内(如图2所示),系统的长程弦关联函数在经历初期的振荡后,逐渐稳定到一个非零的值附近。非零的长程弦关联函数表明,长时间演化后的稳态具有拓扑非平庸的性质。在同样的参数下,系统从不同的初态(例如占据数为1100……)出发后,长时间演化得到的稳态也具有非零的长程弦关联函数。该工作计算了系统的半链二阶Renyi熵,其在经历初期的增长后逐渐达到一个饱和值,此时子系统的二阶Renyi熵明显区别于对应的正则系综的预测,表明这里的拓扑非平庸的稳态与系统没有热化的事实相关。在其他参数区间内,从不同的初态出发,系统的长程弦关联函数都会快速衰减到零。同时,稳态的二阶Renyi熵与正则系综的结果相一致,表明了系统在长时间演化中发生了热化,对应的拓扑特性消失。

图3 近邻二格点纠缠熵的动力学。(a)(b)分别对应于拓扑非平庸和拓扑平庸情形下,近邻二格点纠缠熵随时间的演化; (c)拓扑非平庸情形下,稳态(红色实线)和相同参数下基态(黑色实线)的近邻二格点纠缠熵; (d)拓扑平庸情形下,稳态的近邻二格点纠缠熵。
除了长程弦关联函数之外,该工作还研究了系统纠缠熵的动力学过程(如图3所示)。拓扑非平庸稳态的二格点纠缠熵显现出了交错的结构,这一点与相同参数下拓扑非平庸基态的结果相似。而对于拓扑平庸的稳态,其二格点纠缠熵在格点分布上几乎是均匀的。系统基态与稳态的近邻二格点纠缠熵的对比分析表明,演化后稳态具有与系统对称性保护的拓扑基态类似的特性,都源于拓扑非平庸的哈密顿量。
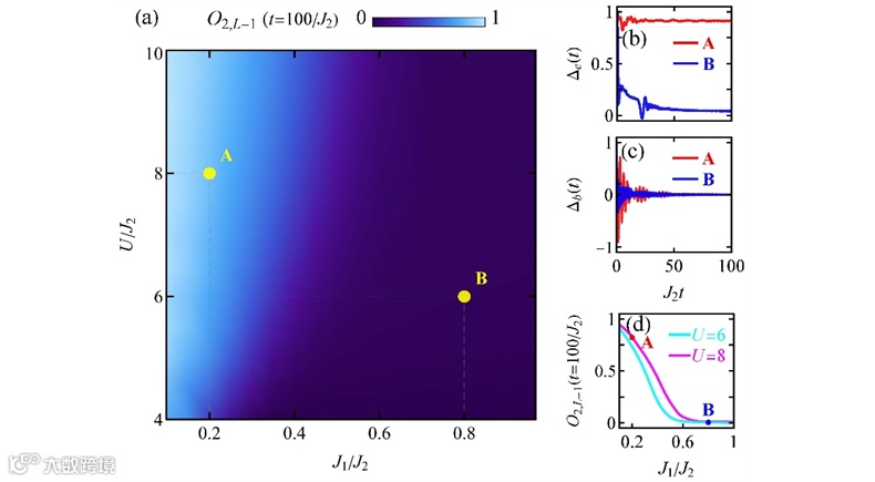
最后,该工作给出了系统的非平衡相图以及其他可观测量的实验方案(如图4所示)。根据长时间演化后稳态的长程弦关联函数的数值大小,系统的非平衡相图可以划分为两个部分,分别对应于拓扑非平庸(非热化)和拓扑平庸(热化)。此外,边缘态是对称性保护的拓扑相的典型特征,研究团队计算了左右边缘粒子数之差随时间的演化,发现拓扑非平庸区间内边缘态始终存在,而在平庸区间内逐渐衰减到零附近。该工作还研究了体态奇偶格点的平均粒子数之差随时间的演化,结果表明体态的粒子在两个区间内都会趋向于均匀分布。边缘和体态粒子数分布的动力学过程进一步表明了拓扑非平庸稳态的演生。

图4 非平衡相图以及边缘和体态粒子数分布的动力学。(a)基于稳态的弦关联函数定义的非平衡相图; (b)左右边缘格点粒子数之差随时间的演化; (c)体态奇偶格点粒子数之差随时间的演化; (d)固定相互作用强度,稳态弦关联函数随隧穿系数之比的变化。
该工作首次发现了高能量拓扑物态的非平衡演生现象,将拓扑的研究扩展到了量子多体系统的弛豫动力学中,对于进一步研究非平衡量子多体系统中的拓扑物态具于重要意义。国防科技大学为该研究成果的第一作者单位,该研究成果得到国家自然科学基金和湖南省科技创新项目资助。

文章链接:
https://doi.org/10.1103/PhysRevLett.134.123405

