

近日,香港中文大学(深圳)解碧野助理教授课题组提出了一种具有连续相变的高阶拓扑安德森绝缘体。该研究揭示了无序如何在高阶拓扑相中诱发多重相变,推动了拓扑安德森绝缘体领域发展,为利用无序调控高阶拓扑态提供了新思路。相关成果以“Successive phase transition in higher-order topological Anderson insulators” 为题发表在《Physical Review Research》上。香港中文大学(深圳)博士后李翱东为该论文的第一作者,华中科技大学博士生许冰聪为共同第一作者,香港中文大学(深圳)解碧野助理教授为通讯作者。
近年来,拓扑物态由于其独特的物理性质,吸引了广泛的关注。无序作为重要的材料特征,对物态的分布具有明显影响,可以导致诸如安德森局域化等现象。拓扑物态的一个重要特征是对无序的强鲁棒性,不过研究发现,在拓扑安德森绝缘体中,弱无序的增强反而可以驱动拓扑平凡相到非平凡相的转变。这一现象在一维体系中已被深入研究,并拓展至光子学、声学和冷原子链等多个平台。近期研究显示,二维体系中无序可驱动高阶拓扑相的转变,例如从平凡相到量子化四极安德森绝缘体的演化。然而,非平凡高阶拓扑相是否可依据无序强度进一步分类,以及特定无序能否在单角落诱导多个角态等问题仍有待探索,这些问题的解答将拓展无序高阶拓扑相家族,并为无序拓扑器件应用提供新思路。
为了进一步推动拓扑物态的研究,本文报道了一种由无序强度连续变化引发的逐级高阶拓扑相变。我们以二维Benalcazar-Bernevig-Hughes(BBH)模型为基础,通过引入长程耦合项构建Z类拓扑体系。在特定跃迁项中引入平均值为0(即平均来说不改变胞内胞间耦合的相对大小)的正负随机无序时,不同子晶格对无序强度的相变临界响应存在差异,导致高阶拓扑相变依次发生。我们通过计算实空间拓扑不变量验证了这一逐级相变过程,并通过观察拓扑角态揭示其高阶体边对应关系。研究结果不仅揭示了无序诱导的非平凡拓扑相,更为拓扑角态数量的操控提供了新机制。
我们首先定义了一个具有长程耦合的二维格点模型[如图1(a)-(b)],该模型具有手征对称性,其拓扑性质可以通过实空间拓扑不变量多极手性数Nxy描述。在该模型中,每个原胞由16个格点组成,其中每4个格点组成一个亚原胞,不同的亚原胞具有不同的胞内耦合参数。在不引入无序时,其拓扑不变量与格点间耦合参数之间的关系如图1(c)-(d)所示,表明系统可以经历多个拓扑相变。

我们进一步探索了无序引入时的相变过程[如图2(a)]。当无序强度Wmax较弱时,系统处于拓扑平凡相,拓扑不变量Nxy为0;随着无序强度的增加,拓扑不变量Nxy实现0-1-2-3-4方式的连续变化,表明系统经历了多个拓扑相变;当无序强度进一步增加时,系统经历一个Nxy减小的多重分型过程,并最终到达Nxy为0的安德森局域化状态。由于无序的随机性,我们进行了多次计算,从而得到具有统计意义的结果。在该高阶拓扑安德森绝缘体中,从统计意义上讲,相变并不是随无序变化突然发生的,拓扑相变过程体现为拓扑不变量Nxy取不同整数值的概率随无序发生变化[如图2(b)]。

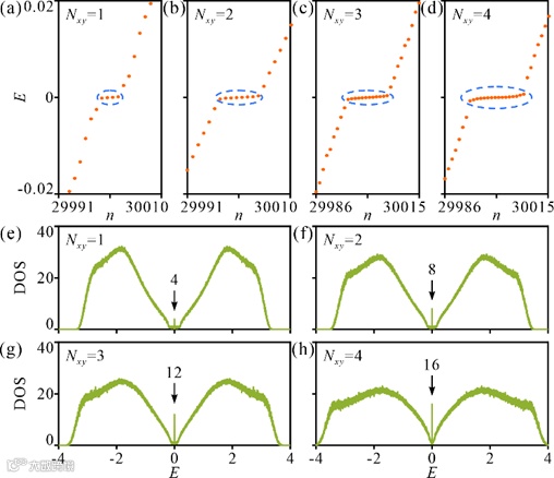
拓扑相的一个关键特点是可以预测拓扑边界态的数量。根据高阶体边对应关系,拓扑不变量的增大伴随拓扑角落态数量的增加,每个角上的拓扑态数目等于拓扑不变量。这些拓扑角落态在系统的四个角上局域化,且具有零能的特点。由于我们的二维系统有4个角,因此拓扑零能角态的数目是拓扑不变量Nxy的4倍[如图3(a)-(d)],图3(e)-(h)的态密度计算同样印证了当Nxy分别取值1、2、3、4时,拓扑零能态的数目分别为4、8、12、16个。

我们通过构建随机无序驱动的高阶拓扑安德森绝缘体中的逐级拓扑相变,揭示了无序强度与非平凡拓扑相之间的关联。尽管我们以Benalcazar-Bernevig-Hughes模型为例,但此类相变现象有望广泛存在于其他具有手征对称性的拓扑绝缘体中。此外,我们提出的理论模型可便捷地应用于声学、电路和光子学等经典波系统实验平台,这些体系中长程耦合与无序的引入均易于实现。值得注意的是,无序对波动行为的影响在不同维度及非厄米系统中差异显著。我们期待未来进一步探索此类无序驱动的逐级拓扑相变在三维量子化八极绝缘体、非厄米晶格以及合成维度系统中的表现,从而拓展无序拓扑物理的研究范围。
解碧野课题组招聘:解碧野教授致力于研究基于凝聚态物理的人工光/声波物态调控,课题组现热烈欢迎优秀科研助理、博士、博士后加盟,博士后综合待遇不少于32w一年,一作发表过顶尖期刊(如PRL 等)不少于36w一年,最高可达42w一年(含龙岗区政府补贴6w一年,视龙岗区最新政策而定)。课题组气氛宽松,科研氛围浓厚,请将个人简历、成绩单、论文代表作(如果有的话)发至xiebiye@cuhk.edu.cn。

