
今天我们继续为大家带来本周的超材料前沿研究精选,内容涉及等离子体时间晶体,四维声学超材料中张量单极子诱导的拓扑边界效应,石墨烯中Floquet态的观察等,敬请期待!
2、四维声学超材料中张量单极子诱导的拓扑边界效应
3、石墨烯中Floquet态的观察
4、扭曲WSe2双层膜中层斯格明子的实验特征及其对能带拓扑的影响
5、低对称性系统中的拓扑Meron-Antimeron磁畴壁与斯格明子
6、通过非互易传热实现可持续的全固态弹热冷却器
8、中红外掺铥YAP晶体中的电子-声子耦合分析及声子辅助激光波长扩展
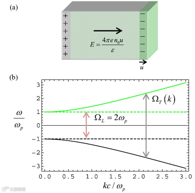
1、等离子体时间晶体
材料的时间调制相当于及时改变材料的某些参数。通过这种方式,一种新的人造材料被创造出来,具有新颖的物理特性。特别是,如果材料的介电常数ε经历周期性调制,那么就会产生光子时间晶体(PTC)。PTC可以放大k个带隙中波数为k的电磁波。k带类似于空间光子晶体中的频带。通常,时间调制的概念适用于任意时间相关性。到目前为止,材料的时间调制已经成为一个广泛而活跃的研究领域,有许多理论和实验工作。一些以前的工作研究了一些特殊形式的色散时间晶体,主要集中在横波。另外还有局部等离子体激元的可能放大,以及表面等离子体激元。这种正在进行的关于各种类型的PTC中的参数放大的工作必须区别于关于气体等离子体中的参数共振和不稳定性的旧工作。
近日,海法大学的Joshua Feinberg团队,研究了等离子体时间晶体,它是从基于介质的光子时间晶体向等离子体介质的扩展。作者证明了此类系统可以放大纵模和横模。特别是,证明了等离子体时间晶体支持纵模的“集体共振”,这种共振的发生与波矢k无关,即使在存在显著耗散的情况下也是如此。这些共振源于未调制系统等离子体色散关系的正负频率分支之间的耦合,以及等离子体频率附近的态密度发散。最强共振出现在调制频率Ω = 2ωp处,对应于直接带间跃迁。作者证明了这些共振在各种周期性调制曲线下的表现,并提供了弱调制极限下共振宽度的通用微扰公式。此外,提出透明导电氧化物是实现等离子体时间晶体的有前景的平台,因为它们能够显著调节电子有效质量,同时保持适度的耗散水平。该研究结果为利用时间调制等离子体介质增强光增益和控制纳米尺度的波动力学提供了新的见解。相关工作发表在《Physical Review Letters》上。(刘帅)

文章链接:
https://doi.org/10.1103/PhysRevLett.134.183801
规范场理论是描述基本粒子相互作用与引力机制的重要理论框架。在电磁学中,矢量规范场(如电磁势)预言了奇点结构,例如三维空间中的U(1)阿贝尔型 Dirac单极子,以及五维空间中的U(2)非阿贝尔型 Yang 单极子。虽然这些磁单极子在高能物理中尚未被直接观测,但它们在动量空间中的等效结构已经在超冷原子系统和人工设计的拓扑结构中得以实现。三维晶体中的Weyl点便是一种典型的动量空间奇点,作为贝里曲率的源点Weyl半金属展现出如Fermi弧、手征零模与量子振荡等一系列独特拓扑现象。而当规范场从矢量拓展至更高阶形式,即所谓的Kalb-Ramond张量场时,理论预言了存在于四维参数空间中的“张量单极子”——其为二阶反对称张量规范场中的点缺陷,以Dixmier-Douady不变量作为拓扑标志。张量单极子为高维手征拓扑绝缘体、高阶拓扑相以及碎片态物质的研究提供了新的视角。然而,迄今为止尚未在真实动量维度系统中实现张量单极子,限制了对其边界拓扑效应的实验研究。近年来,声学超材料凭借其出色的结构可设计性和低损耗特性,成为模拟高维拓扑相与合成规范场的理想平台。研究者已在此类系统中实现类Landau能级、Chern绝缘体、Weyl半金属等多种拓扑结构,为更复杂的拓扑现象探索奠定了基础。
近日,香港大学路翠翠教授和张霜教授,同济大学祝捷教授团队,首次在真实动量空间中构建了具备四维张量单极子的声学系统。通过三维声学晶格引入可调耦合通道作为“合成动量”,有效扩展系统至四维动量空间,并在其中诱导出成对张量单极子。该研究还观测到了由张量单极子诱导的两类边界拓扑态:在无间隙子系统中清晰识别出类Fermi弧表面态,其形态与Weyl半金属中的开放轨道结构相似;在有间隙子系统中则形成Dirac锥表面态,呈现手征拓扑绝缘体的典型特征。该成果不仅首次在实验中实现了基于真实动量维的张量规范场系统,也为未来探索更高维度、更高阶拓扑结构(如四维Hopf半金属、多体张量态等)提供了现实可行的平台。相关内容发表于《PHYSICAL REVIEW LETTERS》。(金梦成)
文章链接:
https://doi.org/10.1103/PhysRevLett.134.186601

3、石墨烯中Floquet态的观察
Floquet拓扑工程由Oka和Aoki开创,他们提出可通过圆偏振光照射在单层石墨烯中实现Haldane模型,从而诱导动态拓扑反常霍尔态。该现象可通过Floquet理论解释,并已在冷原子和光子晶体中实验验证。目前,Floquet工程在固态材料中已有进展,但实验多局限于绝缘体,而金属和半金属如石墨烯的应用则面临挑战。石墨烯虽具潜力,但其超快退相干时间被认为阻碍了Floquet态的实现。因此,一个关键问题是在石墨烯及一般金属中,Floquet工程能否真正实现,以及耗散与退相干效应是否构成根本障碍。
近日,哥廷根大学的Marcel Reutzel和Stefan Mathias团队与不来梅大学的Michael A. Sentef团队合作,通过电子结构测量,提供了石墨烯中Floquet效应的直接光谱证据。研究人员通过测量Floquet边带、Volkov边带及其量子路径干涉对石墨烯光发射光谱的贡献,观测了光-物质修饰的狄拉克带。结果表明,即使超快退相干过程发生在几十飞秒的时间尺度上,在石墨烯中进行Floquet工程仍然是可能的。该方法提供了一种在金属和半金属系统中实验实现Floquet工程策略的方法,并可用于相干稳定具有潜在非平庸拓扑性质的光诱导态。相关工作发表在《Nature Physics》上。(刘帅)
文章链接:
https://doi.org/10.1038/s41567-025-02889-7

4、扭曲WSe2双层膜中层斯格明子的实验特征及其对能带拓扑的影响
近年来,过渡金属二硫属化物(TMD)莫尔材料因其可调控的电子关联效应和拓扑性质成为凝聚态物理领域的研究热点。在扭曲同质双层结构中,层间耦合与莫尔超晶格的共同作用可诱导出丰富的量子态,例如分数陈绝缘体、陈绝缘体以及非常规超导态。理论研究表明,此类体系中的层自由度可形成类斯格明子(skyrmion)的赝自旋纹理,其空间拓扑结构直接影响能带的陈数与非平凡拓扑特性。然而,由于实验上难以直接分辨不同能谷(Γ谷与K谷)的电子态并解析层极化的空间分布,层斯格明子纹理的存在及其与能带拓扑的关联尚未得到确凿验证。此外,连续介质模型的关键参数(如莫尔势振幅、层间隧穿强度等)通常依赖理论计算,缺乏实验校准,这限制了对其拓扑性质的精准预测。因此,开发一种结合高空间分辨谱学与理论建模的实验方法,成为揭示TMD莫尔体系中拓扑起源的关键挑战。
近日,美国德克萨斯大学奥斯汀分校的Allan H. Macdonald教授和 Chih-Kang Shih教授研究团队,通过扫描隧道显微镜(STM)与扫描隧道谱(STS)技术,在5.1°和4.2°扭曲角度的菱方堆叠双层二硒化钨(tWSe2)中首次观测到层斯格明子纹理的实验证据。通过分离Γ谷与K谷的莫尔电子态,研究发现K谷波函数在MX和XM位点呈现相反的层极化:XM位点的电子态局域于顶层,而MX位点局域于底层。这种极化反转与理论预测的层赝自旋斯格明子纹理一致,其空间分布对应莫尔超晶格内层赝自旋矢量的非平庸缠绕。进一步结合连续介质模型,实验数据被用于精确提取莫尔势振幅(Vm=13.6 meV)、相位参数(ψ=49.1°)及层间隧穿强度(ω=10.0 meV),并证实顶层能带的陈数为零,表明该扭曲角下的体系处于拓扑平庸态。值得注意的是,该模型揭示了能带拓扑与层赝自旋空间构型的直接关联:当参数ψ变化时,局域态密度(LDOS)的极值位点从AA转移至XM或MX,对应陈数从0跃迁至±1。这一发现不仅为理解TMD莫尔材料的拓扑性质提供了实空间观测依据,还建立了一种通过局域谱学反演连续模型参数的新范式,为探索分数陈绝缘体等奇异量子态奠定了方法基础。此项研究成果发表于《Nature Physics》。(刘梦洋)

文章链接:
https://doi.org/10.1038/s41567-025-02876-y

5、低对称性系统中的拓扑Meron-Antimeron磁畴壁与斯格明子
拓扑磁性结构的研究是凝聚态物理和纳米磁学领域的核心课题之一。近年来,斯格明子、meron等非共面自旋构型因其独特的拓扑特性及在自旋电子学中的潜在应用受到广泛关注。传统研究多集中于高对称性体系,如立方晶体或具有三、四重旋转对称性的系统,这类体系中的斯格明子通常呈现轴对称特征。然而,低对称性系统因其相互作用的各向异性,可能孕育更丰富的磁结构,但相关实验证据和理论模型仍较为匮乏。尤其是二维低对称性材料中,如何平衡交换作用、Dzyaloshinsky-Moriya相互作用(DMI)和各向异性,进而调控拓扑磁畴壁与孤立斯格明子的形成,仍是一个亟待探索的问题。此外,现有研究多依赖长程偶极相互作用或高对称性晶体约束,难以在纳米尺度实现局域磁结构的精准控制。因此,探究低对称性系统中拓扑磁结构的形成机制及其动态响应,对扩展磁性材料的应用边界具有重要意义。
近日,德国汉堡大学的Reiner Brüning和Kirsten von Bergmann研究团队与匈牙利HUN-REN维格纳物理研究中心的Levente Rózsa合作,以Ta(110)基底上生长的Fe单层薄膜为对象,结合自旋极化扫描隧道显微镜(SP-STM)实验与基于第一性原理的原子自旋模型模拟,系统揭示了低对称性系统中磁畴壁与斯格明子的拓扑特性及其调控机制。研究发现,在零磁场条件下,Fe单层的面内铁磁基态通过竞争性相互作用形成两类磁畴壁:沿
方向的畴壁由交替的meron与antimeron链构成,每6纳米长度携带单位拓扑电荷;而沿001方向的畴壁则为拓扑平庸的共面结构。通过引入孔洞或边缘缺陷,系统基态可转变为连续自旋螺旋态,进一步证实局域磁相互作用的敏感性。施加垂直磁场后,两类畴壁均向饱和态转变,同时孤立拉长型斯格明子从螺旋态中析出。值得注意的是,畴壁类型(头对头或尾对尾)决定了其在磁场下的稳定性差异,这一现象源于meron与antimeron的非对称性及DMI的旋转偏好。研究还发现,低对称性导致的各向异性DMI参数使得斯格明子呈现沿特定晶向的拉长形态,突破了传统高对称性体系中斯格明子的对称性限制。这些结果不仅首次在实验上验证了低对称性表面存在拉长斯格明子的理论预言,还为基于拓扑磁结构的纳米器件设计提供了新思路。该研究成果发表于《Physical Review X》。(刘梦洋)
文章链接:
https://doi.org/10.1103/PhysRevX.15.021041

在“双碳”目标和绿色能源时代背景下,开发高效、环保的固态制冷技术成为热管理领域的研究热点。弹热制冷(Elastocaloric Cooling)因其潜在的高能效和无氟环保特性,被认为是制冷技术革命的有力候选者。其核心原理是依靠固体材料在外力作用下的马氏体相变过程,实现吸热和放热的循环。然而,目前弹热制冷设备在效率提升方面仍面临多重挑战,主要瓶颈之一在于热交换的非对称性与可控性:如何在热力学允许的条件下实现单向热流或非互易热传输,突破传统热交换方式的限制,是制约弹热制冷效能进一步提升的关键难题。近年来,随着非互易热传输(Non-reciprocal Heat Transfer)研究的发展,这一问题迎来了全新解法。通过引入非平衡热流设计和方向性热管理机制,科学家希望打破传统傅里叶定律对热传导方向对称性的约束,为热流控制带来革命性突破。
近日,南方科技大学朱桂妹研究员、李保文院士以及沈翔瀛副教授建立了开发非互易传热固态弹热装置的框架,成功构建了一个基于非互易热传输的全固态弹热制冷系统。该工作中,研究团队首次提出并实验验证了通过热二极管设计实现弹热系统中“只出不进”的热流模式,该原型结合了超材料设计的非互易传热单元,可实现高效传热和稳定运行。该冷却器的热整流比为6.5,冷却功率为174.8mW,对应的冷却热通量为242.8mWcm−2。采用非互易传热单元的冷却器在抗屈曲压缩载荷下,实现了超过200万次循环的设备级运行疲劳寿命,且未发生故障。从而打破制冷循环中热量回流的能效瓶颈。他们利用NiTi形状记忆合金构建弹热制冷核心,并通过弹性驱动与热二极管的动态耦合,使制冷系统在无主动控制的条件下,实现了近似单向的热流传输,大幅度提升了冷端温差与系统COP(性能系数)。该研究不仅实现了完全固态、无需工质的可持续制冷循环,更为下一代绿色微热管理器件提供了新范式。相关内容发表在《Nature Sustainability》(张琰炯)。
文章链接:
https://doi.org/10.1038/s41893-025-01552-6
近年来,由于原子层范德瓦尔斯(vdW)材料中层层扭转或晶格失配可形成莫尔超晶格(moiré superlattice),如石墨烯、六方氮化硼(h‑BN)及过渡金属二硫族化合物(TMDs)等,其在电子、光学、摩擦学等领域展现出卓越性能——包括莫尔激子、非常规超导、电磁铁性、滑润超润滑等现象,吸引了广泛关注。随着器件微型化及功率密度提高,二维材料在热管理方面的潜力日益凸显,尤其是“扭热学”(twisted thermotics)研究的兴起,使得扭转角度对面内及跨层热传导的调控成为前沿方向。然而,现有研究多依赖昂贵的实验或高强度计算模拟,且缺乏直接、简洁的解析关系来揭示扭角如何通过原子重构影响声子输运行为。
针对上述挑战,武汉大学欧阳稳根教授带领团队系统研究了2H相均匀TMD材料扭转界面热传输特性。他们通过非平衡分子动力学(NEMD)模拟,考察了MoS₂、MoSe₂、WS₂、WSe₂四种TMD在平行与反平行堆垛下、0°–25°广泛扭转角范围内的跨层热导率(κₚ),并结合局部配位指数(LRI)分析莫尔超晶格中高效与低效热输运区域的分布变化,揭示原子重构导致高效堆垛区域比例随扭角增大而急剧减少,横向声学声子模态随之软化,进而驱动κₚ在小扭角(0°–5°)范围内呈70%–80%急降趋势。对比不同堆垛模式的层间结合能与声子群速,团队提出了通用解析公式,将界面热导(ITC)与扭转角θ建立直接数学关联:


文章链接:
https://doi.org/10.1021/acsnano.4c12148
8、中红外掺铥YAP晶体中的电子-声子耦合分析及声子辅助激光波长扩展
电子-声子耦合效应是固态激光器实现波长扩展的重要物理机制。传统过渡金属掺杂晶体(如钛宝石和亚历山大石)的振动激光已有较多研究,但稀土掺杂晶体因电子-声子耦合强度较弱而鲜见报道。本研究通过理论分析与荧光光谱实验,定量计算了掺铥铝酸钇(Tm:YAP)晶体的电子-声子耦合强度。理论构建了电子跃迁与耦合晶格振动的选择定则,基于温度依赖的Huang-Rhys因子拟合(300 K时S=1.06)证实Tm:YAP具有强电子-声子耦合特性。通过声子辅助线型函数计算与谐振腔优化设计,在Tm:YAP晶体中实现了宽带中红外激光波长扩展:2129 nm和2149 nm波长处分别获得1.44 W和1.07 W的激光输出。特别引入双折射滤光片后,成功实现了1940.6-2156.1 nm连续光谱调谐,创目前Tm:YAP晶体最宽波长调谐纪录。该工作为扩展固态激光器应用范围提供了新方案,并为超短超快中红外激光光子学开辟了新方向。
近期,山东大学于浩海教授、梁飞教授和张怀金教授研究团队的研究成果定量解析了掺铥YAP晶体的电子-声子耦合效应,获得了其温度依赖的Huang-Rhys因子(S因子)。建立了Tm:YAP体系中电子-声子耦合的选择定则,通过优化谐振腔设计实现了2129 nm和2149 nm连续波激光输出(突破其固有荧光光谱限制),其中2129 nm波长处获得1.45 W最大输出功率,斜率效率达28.2%。通过调节双折射滤光片角度,进一步实现了2113.1—2156.1 nm宽带可调谐激光。证实了基于电子-声子耦合效应实现Tm3+掺杂激光晶体超宽带波长扩展的可行性,该策略有望推广至Ho3+、Er3+、Dy3+等其他中红外材料体系,为3—5 μm波段宽带激光源的开发提供新范式。相关研究成果以“Electron-phonon coupling analysis and phonon-assisted laser wavelength extension in mid-infrared Tm: YAP crystal”为题发表在《Optics & Laser Technology》上。(郑佳慧)
文章链接:
DOI:10.1016/j.optlastec.2024.112337

免责声明:本文旨在传递更多科研资讯及分享,所有其他媒、网来源均注明出处,如涉及版权问题,请作者第一时间后台联系,我们将协调进行处理,所有来稿文责自负,两江仅作分享平台。转载请注明出处,如原创内容转载需授权,请联系下方微信。

