

在非厄米量子系统中,奇异点(Exceptional Point, EP)是系统本征值和本征态同时发生简并的特殊点。围绕EP进行参数绕圈时会触发手性态传递现象—即顺时针和逆时针演化路径会导致不同的末态。这种现象已在多个经典和量子系统中观察到,广泛应用于非互易态转换、信号放大与拓扑调控等领域。
传统研究大多聚焦于非厄米哈密顿量本征谱中的EP。而在开放量子系统中,系统密度矩阵的演化需通过刘维尔超算符来描述,该超算符的谱同样可出现EP结构,称为刘维尔异常点(LEP)。但LEP所导致的动力学效果往往为“瞬态”现象,在实验上极难捕捉与验证。
本研究围绕一个两能级开放系统模型展开。团队将量子主方程中的刘维尔动力学映射为量子朗之万方程,通过单光子的随机演化,重建出系统密度矩阵的演化轨迹。随后,研究以不同环绕时间尺度参数化地围绕LEP进行演化实验。结果表明:在长环绕时间下,系统最终总是松弛至稳态,无论绕行方向如何,手性效应均消失(见图1)。
图1. 长环绕时间的环绕动力学轨迹。
当演化时间缩短至中等时间尺度时,系统在不同方向的绕行下产生显著不同的末态,明确观测到手性态传递现象,证实手性仅在瞬态环绕时间存在(见图2)。
图2. 中间环绕时间的环绕动力学轨迹。
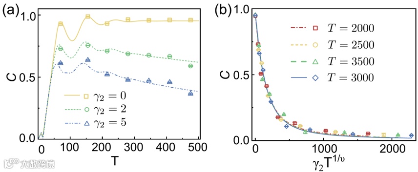
研究进一步定义手性度量,并实验测量其随环绕时间和去相干率的变化规律,发现其满足普适的幂律衰减规律(图3)。

图3. 手性的观测
该工作实验研究了在开放量子系统中LEP附近的手性态传递现象,并揭示了手性态传递现象的瞬态、方向依赖性和幂律衰减等关键特征。研究不仅验证了理论预言,还提供了一种基于单光子平台的可控、可扩展实验框架,为进一步模拟和研究开放系统提供了一个通用框架。未来,该平台可用于模拟更复杂的开放系统,并在非互易器件、拓扑量子控制等方向具有重要应用前景。
该论文的理论合作者为中国科学技术大学的易为教授。东南大学的高慧霞博士,中国科学院量子信息与量子物理卓越研究中心的孙孔浩博士和北京计算科学研究中心的曲登科博士为论文共同第一作者。该成果得到了国家重点研发计划和国家自然科学基金的支持。
文章链接
https://journals.aps.org/prl/abstract/10.1103/PhysRevLett.134.146602
供稿:课题组

