近日,南方科技大学高振副教授课题组与北京大学彭超教授课题组、重庆理工大学胡鹏副教授合作,利用高品质因子的单向导模共振(UGR)增强古斯-汉欣(Goos-Hänchen,GH)位移的同时实现光的高效辐射(高效反射或透射),并理论上建立古斯-汉欣位移与单向导模共振模式品质因子之间的关系。相关研究成果以《Giant Goos−HänchenShift with Stable High-Efficiency Emission Enabled by Topological High-Q Unidirectional Guided Resonances》为题发表于国际著名光学期刊《ACS Photonics》。南方科技大学博士后公茂华、北京大学博士后张子璇为共同第一作者,南方科技大学高振副教授、北京大学彭超教授、重庆理工大学胡鹏副教授为共同通讯作者,南方科技大学博士生涂清安也为本工作做出了重要贡献。
当一束光在不同介质界面反射或折射时,在入射平面内会发生偏离几何光路的微小横向位移,即Goos-Hänchen(GH)位移。增强该位移对于光信息存储和高灵敏传感等应用至关重要。近期,利用具有极高品质因子的连续谱中准束缚态可以显著提高GH位移,但此方法对入射角高度敏感,导致反射或透射效率随入射角强烈波动。这种角度依赖性极大地限制了其在要求光强恒定的纯相位光学器件中的应用。针对该问题,南方科技大学高振副教授课题组联合国内多个单位,提出了一种创新方案:通过一维介质超构光栅中的高品质因子UGR,成功解决GH位移增强与效率稳定性之间的矛盾。
1. 基于高品质因子UGR引起的增强GH位移和稳定高效率光发射
UGR作为一种拓扑光学现象,其特性是实现光的完美定向辐射。研究团队巧妙地运用对称性方案,设计了两种超构光栅结构以调控UGR的辐射通道。第一种超构光栅保留了C2z对称性,其中高Q因子UGR的互易激发与辐射通道位于结构同一侧,当入射光激发共振时,可在保持接近100%的反射率下,获得巨大的GH位移(图1)。第二种结构则保留了宇称(Parity, P)对称性,其UGR的互易通道分布于结构两侧,从而实现了保持接近100%透射率下的增强GH位移(图2)。GH位移大小由相位对入射角的梯度所决定:
。模拟结果证实,相位发生急剧变化,从而产生了超过巨大GHS,同时反射率或透射率始终保持接近于1的稳定高效率。
图1. 一维超构光栅中由C2z对称UGR诱导的反射率保持近100%的巨大GH位移。该结构保持C2z对称性但打破σz对称性。(a) 一维超构光栅示意图。(b) 一维超光栅的模拟能带结构。蓝色三角形和实心圆点分别代表传统导模共振与UGR,其对应的电场分布(Ey)展示于(a)图右侧两列。(c) (b)图中能带A的总品质因子Qtot(黑色点划线)、向上辐射品质因子Qu(红色虚线)、向下辐射品质因子Qd(蓝色实线)及其比值η = Qd/Qu(绿色虚线)。(d) 在UGR频率下,透射率(蓝色实线)和反射率(红色实线)随入射角θ的变化谱线,以及对应的反射相位曲线(红色点划线)。(e) 古斯汉欣位移随入射角θ的变化曲线。
图2. 具有P对称性保留但C2z和σz对称性破缺的一维超构光栅中,UGR诱导的恒定高效透射GH位移。(a) 一维超构光栅示意图。(b) 一维超构光栅的模拟能带结构。能带上的蓝色三角形和实心圆点分别代表传统导模共振与UGR,其对应的电场分布(Ey)展示于(a)图右侧两列。(c) (b)中能带A的品质因子及其比值η。(d) 在UGR频率下,透射率(蓝色实线)和反射率(红色实线)随入射角θ的变化谱线,以及对应的透射相位曲线(蓝色点划线)。(e) 古斯汉欣位移随入射角θ的变化曲线。(f) 束腰为80λ的高斯光束以最大位移对应角度入射时的电场分布。(g) 最大古斯汉欣位移随入射高斯光束束腰的变化关系。
2. 增强GH位移的稳定性
超构光栅中的UGR对应于远场偏振的相位奇点,能够稳定存在于三维参数空间。因此,由UGR诱导的增强GH位移同样能在三维参数空间中稳定存在(图3)。该研究通过耦合模理论揭示了GH位移大小与UGR品质因子之间的关系:
,其中v为背景介质中的光速,ω为UGR的角频率。这表明,GH位移的增强效果取决于共振模式的品质因子。得益于UGR的拓扑保护特性,该现象对结构的几何参数变化表现出优异的鲁棒性,确保了其在实际应用中的稳定性。
图3. UGR诱导的增强GH位移在三维参数空间中的稳定性。(a) 图2中能带A的不对称辐射比η随kx的变化曲线,展示了五种不同均匀介质层厚度h2下的计算结果。各曲线对应的光栅厚度h1根据(b)图中的发散条件确定。(b) UGR在参数空间(kx, h1, h2)中的演化轨迹。(c) UGR的最大古斯汉欣位移(黑色实线)和品质因子(黄色矩形)随h2变化的演化轨迹。
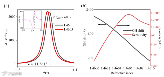
3. 基于增强GH位移的折射率传感器
图4. 基于UGR增强GH位移实现的折射率传感器。(a) 对应环境折射率n = 1.46(黑色实线)和n = 1.4605(红色实线)的古斯-汉欣位移角谱。插图展示了ΔSGH随入射角度的演化关系。(b) 古斯-汉欣位移(黑色实线)和传感器灵敏度(红色实线)随环境折射率n变化的演化曲线。
基于UGR附近相位的剧烈变化,其对外界环境扰动表现为极高敏感性,基于此研究团队设计了超灵敏折射率传感器。通过仿真得出,仅0.0005的折射率指数变化,在特定入射角下便引起高达600个波长的GH位移变化。该传感器的理论灵敏度极限值超过了1.2×10⁶λ/RIU,这在环境监测、生物检测等领域展现了巨大的应用潜力。
我们通过理论分析证明了在具有C2z或P对称性的一维超构光栅中,利用高品质因子UGR可实现具有稳定高效反射或透射特性的巨古斯-汉欣位移。得益于UGR的拓扑特性,增强的古斯-汉欣位移在三维参数空间中稳定存在。同时,我们理论证明了古斯-汉欣位移的幅度与UGR的品质因子成正比。基于UGR诱导的古斯-汉欣位移对周围环境的高敏感性,我们设计出一种环境折射率传感器,其灵敏度超过1.2×10⁶λ/RIU。本研究提出了一种实现恒定高效反射或透射下增强古斯-汉欣位移的新方法,为光学传感、生物检测等先进光子技术应用提供了新途径。此外,基于UGR的古斯-汉欣位移可通过相变材料或外部磁场实现动态调控,这为主动光束操控与可重构光子系统的开发奠定了技术基础。
文章链接:
https://doi.org/10.1021/acsphotonics.5c01065
撰稿|课题组

