文章来源:FUTURE | 远见、科研任我行
2025年9月17日,Phys. Rev. Lett.在线发表了中国科学技术大学崔萍教授课题组的研究论文,题目为「Emergence of Chiral Phonons in Two-Dimensional Kagome Lattices Harboring Electronic Chirality」,论文的第一作者为Yanru Chen。

手性声子以具有有限角动量的圆形或椭圆形振动模式为特征,自其最初概念和首次实验观测以来,在凝聚态物理中引起了极大的关注。声子角动量作为一种新的自由度,在角动量传递和守恒中起着重要的作用。鉴于角动量的基本性质,手性声子的重要性在越来越多的前沿研究领域得到认可,包括奇异输运、光电子学、磁学和自旋电子学。迄今为止,许多新的集体现象,如反常声子霍尔效应、声子爱因斯坦-德哈斯效应、声子塞曼效应和反常自旋塞贝克效应,都被追溯到手性声子的存在。
手性声子的涌现需要打破空间反演对称性或时间反演对称性。对于前者,最近研究表明,在适当的条件下,具有手性原子结构的体系通常可以容纳手性声子。此外,即使对于结构非手性体系,如果反演对称性被打破,例如,通过适当修改晶格位置和相关的位点间耦合,手性声子也会出现。对于后者,磁性体系是容纳手性声子的肥沃平台。随着该领域的进一步发展,人们非常希望发现手性声子可以出现的新领域,并探索这种手性声子的扩展作用,特别是在强关联电子体系的集体现象中。
在此研究中,作者表明这种有趣的手性声子也可以在非磁性kagome晶格中被诱导,这些晶格缺乏原子结构的手性,但由于存在环电流序而具有电子手性。这一中心发现通过两种类型的环电流序得到证明,一种是以纯虚电荷键序为特征的受限手性通量相,另一种是以复杂电荷键序为特征的更广义手性通量相,如层状AV3Sb5(A=Cs、Rb和K)所示。在力学水平上,电子手性引起的时间反演对称性破缺通过电子-声子耦合显著影响它们的振动特性。任一手性通量相中的电子手性都伴随着非零的分子Berry曲率,这反过来又表现为作用于声子矢量性质的非局域有效磁场。因此,每个布里渊区角落处的双简并被解除,赋予声子模式手性。这项研究为更全面理解这种结构非手性体系中的各种手性集体电子现象提供了不可或缺的组成部分。


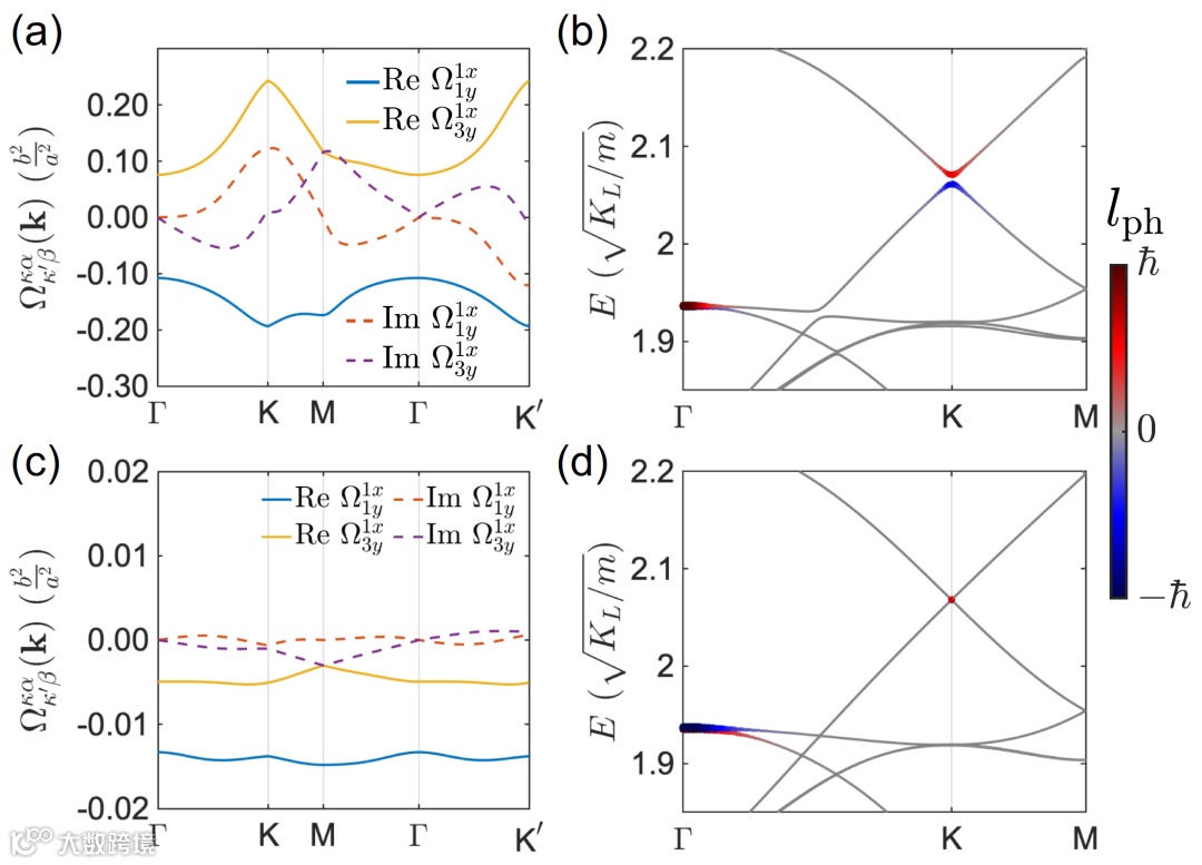
图2 | (a-b) 采用λ=0.3t0和g=0.05获得rCFP分子Berry曲率Ωκ'βκα在实空间和动量空间的分布;(c) 声子谱;(d) 图(c)紫色矩形框内声子谱的放大图;(e) 原始布里渊区中的折叠声子谱;(f) K点处第21支(上图)和第20支(下图)声子模式的振动模态。

