现实世界中有一个横跨量子力学和经典物理学既神奇又有趣的物理现象:在一个连续的向外辐射的背景谱中,存在一些不合群的完全约束在结构中的模式,就像“身在曹营心在汉”的关羽,或者“出污泥而不染”的荷花,这就是连续谱中束缚态(Bound states in the continuum (BICs))。科学家和研究者们纷纷被它的表象吸引,一方面探究它背后神奇的物理机制,另一方面挖掘它可能的应用。虽然各种类型的物理机制很快被发现,也开发了很多应用,但在应用层面还面临一些技术瓶颈,主要体现在模式的激发和动态调制。理想的连续谱中束缚态是养在深闺人未识的大家闺秀,不轻易显示出它的美。它无限大的Q因子让外源无法去激活它隐藏的能量。于是科学家只好通过破坏结构的对称性,剥离它厚厚的保护层,来显示它的庐山真面目。但由于它的特性大多依赖周期结构,破坏结构的对称性需要精细调节大量的结构单元,这给实验加工提出了挑战。同时,调节结构参数的方法也很难对它的性能进行动态的调控。
江苏大学方云团教授课题组联合浙江大学何赛灵教授团队在Laser & Photonics Reviews上在线发表研究成果,针对BIC模式的激发和动态调制的技术难题,研究设计一种特殊的光栅-波导-光栅的三明治结构,结果发现以下不同寻常的光学效应:
(1)BIC和共振态在连续谱中形成孪生双模,通过结构占空比的变化它们可以相互转换;
(2)准BIC法诺谱线嵌入到寻常法诺谱线内,形成特别的双重法诺共振;
(3)通过两个光栅的平移错位,准BIC共振峰和Fano共振峰经历连续的演化,从分离到合并,再到分离,最后实现了反转;
(4)简并准BIC-Fano双模不仅具有无穷Q因子,而且具有与外界激励耦合的通道,产生1+1>2的物理效应。
双模的珠联璧合在提高空气波导的耦合效率和超高分辨率的位移传感方面具有特别的应用价值。它们的相互作用、共存和转换是通过简单的单层或双层光栅以及其他单层Fano/BIC系统无法实现的。通过两个光栅的平移错位提供了特殊的调控自由度。
1 模型设计
图1. 模型示意图
形状如图1所示,光栅-波导-光栅形成三明治结构模型。所设计的结构由两个周期相同的周期光栅组成,固定在波导层的上下表面。波导层被分成两个半层,通过它们之间的滑动,可以让两个光栅实现精细的平移错位,来调控结构的传输属性。设置坐标系,使结构在z方向上不变,x方向上周期变化(光栅),y方向与结构垂直。电场沿z轴方向(TM极化)。两个光栅高度hG,周期长度a,分别由折射率nG=1.5的玻璃柱和折射率n0=1的空隙(槽)组成。利用占空比
来定义构型。硅制成的波导层高度hW= 2微米,折射率nW=3.4。两个光栅之间的平移位移为d。之所以选择玻璃和硅作为材料,是因为它们的折射率差大,有利于波导模式的形成。
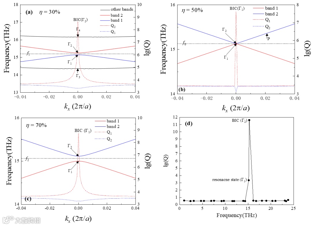
2 占空比引起共振态和BIC的融合和反转
在结构所有的能带中,有2条特别的有交叉趋势的能带,它们是在平面波导交叉色散曲线的基础上受光栅周期性调制形成的。图2是在没有位移错位的情况下,这2条能带和能带中心点
的(品质因子)Q在占空比的调节下出现的演化。图2(a)基于
的Q分别位于谷底和峰顶,呈现分离的共振态和BIC。图2(b)基于
共振态
正好重合。图2(c)基于
出现分离的共振态
,此时
的状态和
的情况正好相反,出现反转。图2(d)记录了k=0 各个能带
点的Q值,从中可以看出
的Q值明显高于其他能带的
点。所以
形成一对独特的模式。
3 BIC和共振态的远场极化矢量的分布
BIC和共振态的区别可以通过k空间远场极化矢量的分布来说明。对图1的结构模型,BIC和共振态远场极化磁场矢量的分布显示在图3(a)、(b)三维坐标空间中。横轴Hx和Hy是矢量的两个分量,纵轴kx标定每个矢量的中心位置。在图3(a)中,
处极化矢量是一个没有长度的点,说明BIC的远场极化为0;在图3(b)中,
处极化矢量具有比邻近空间模式更大的长度,说明共振态的远场辐射比邻近空间模式更强。图3(c)显示2条能带的相位分布,很明显,能带1中心点BIC的相位出现跃变,而能带2中心点共振态的相位和周围点是连续的。
图3 包含BIC和共振态能带远场极化磁场矢量的分布。(a)包含BIC的能带;(b)包含共振态的能带;(c)包含BIC和共振态能带远场极化矢量相位的分布。
4 光栅平移调制下双模共振峰的分离、合并和反转
图4(a)、(b)是两种结构
透射谱的随两个光栅相对位移的演化。除d=0和d=0.5a两种情况,其他任何位移都存在准BIC共振峰和一般法诺共振峰并存的局面,它们均位于
的频率。随着位移的增加,两个不同的峰由分离到合并,再到分离。神奇的是,重新分离后,两个峰的频率位置出现反转,并且在一个特定的位移,两个峰出现融合,形成独特的双重法诺峰。这个双重的法诺峰兼具共振态和BIC的双重特征,即:接近无限大的Q因子,和与外源耦合的通道。这种特性将产生1+1>2的光学效应,为BIC的实际应用创造了更好的条件。由于光栅平移可以通过两个波导层之间滑动来实现,不需要调节结构参数,可以对模式实现动态连续的调制,是本文设计的一个亮点。
5 简并BIC-Fano双模增强平面波从空气到波导的耦合

作为一个简并BIC-Fano双模的一个应用,我们考虑一个平面波导的耦合效率问题。对于平面光波回路,如何有效地将空气中的光信号(从回路上方的光源发射)耦合到平面波导中是一项重要的技术。一般情况下,BIC无限大的Q值为波导提供了极强的共振效应,但由于平面波的模场与BIC模式正交,外部平面波很难与BIC耦合,导致能量无法进入波导。共振态具有与外界耦合的通道,也Q因子较低。而对于简并双模,共振态为平面波与BIC之间的耦合提供了通道。为了利用这一特性,我们用有限周期的平面波正常入射到图1模型结构上进行了一些模拟。仿真模型如图5所示。它是一个矩形模拟空间,结构位于中间位置,两侧有两个完美匹配层(PML),底部有一个PML。利用顶部的散射边界条件作为平面波源。两条监测线(虚线)L1和L2分别记录该区域的平均能量密度E1和E2。来自源的平均能量密度用E0表示。E1包括反射和入射的平均能量密度。透过率T和反射率R分别由T=E2/E0和R=(E1-E0)/E0计算。除了反射率和透射率外,其余的能量都耦合到波导层上。波导的耦合效率可以近似定义为Ef=1-(T+R)。图6是三种结构下耦合效率随频率的变化,频率范围围绕
。对
的结构BIC和共振态简并,此时耦合效率达到最大值,其峰值位于简并的双模频率;而其他两种结构,BIC和共振态是分离的,耦合效率明显变小,其峰值均位于各自的共振态频率。
论文链接:
https://onlinelibrary.wiley.com/doi/10.1002/lpor.202500341

