实现了大范围可调声子Fano共振,为声子量子干涉的工程化调控开辟了新路径。
近日,莱斯大学Shengxi Huang(黄声希)教授团队及合作者报道在Graphene/2DAg/SiC异质结构中实现了可调的基于声子的Fano共振。其非对称|q|参数覆盖2个数量级,调控范围比此前报道的系统大约高出30倍。为利用声子进行量子干涉的工程化开辟了道路。
玻色子之间的量子干涉因其比费米子更长的相干时间而提供了好机遇。法诺共振是离散态与连续态之间量子干涉的一个例子,其特征为非对称线形。虽然基于光子的法诺共振已实现了高灵敏度的分子检测,但由于离散声子与电子连续态之间的干涉效果不佳,基于声子的法诺共振尚未得到充分探索。
在该研究中,探索者报道石墨烯/二维银/碳化硅异质结构中的声子法诺共振源于SiC中离散声子与连续声子之间的频率和寿命匹配。二维银层重构了界面SiC,并促进了共振散射以增强法诺非对称性。研究者进一步证明,这种法诺共振能够在单分子水平上进行超灵敏的分子检测。
该研究工作近期发表于国际权威期刊《Science Advances》(Sci. Adv.11, eadw1800 (2025))
量子干涉是量子信息科学与技术的核心。在精密量子计量、单分子检测以及量子计算和密码学中都有重要应用。利用玻色子间的量子干涉效应具有独特优势,因为与费米子相比,玻色子具有更长的相干时间。
法诺共振是离散态与连续态间量子干涉的典型体现,Fano共振通常表现为不对称的Breit-Wigner-Fano(BWF)线型,不对称性参数|q|与干涉强度成反比。实现不同数量级范围内可调的|q|值对于提高多种应用性能至关重要。例如,在生物传感中,当|q| ≈ 1时,微小的扰动便能引起明显的谱线变化,从而获得更高的检测灵敏度和选择性;而当|q| ≪ 1时,离散态与连续态能量相等,可实现电磁诱导透明效应,从而产生慢光并用于量子转换。
虽然光子系统能够实现高度可调的法诺不对称性。而声子Fano共振因离散声子与电子连续态间的低效干涉,呈现出极小的不对称性。|q|值趋于远大于1,且缺乏可调性。声子Fano共振研究工作滞后,限制了其在红外成像、拉曼生物传感、超导量子计算与热电能量收集等方面的应用发展。
研究团队在石墨烯/二维Ag/SiC异质结构中实现了声子的可调法诺共振,尤为重要的是,非对称参数|q|具有跨越两个数量级的宽范围可调性,调控范围比此前报道的系统大约高出30倍。
该研究通过2D Ag插层技术,在SiC中实现了显著的声子可调法诺共振现象。研究发现,构成法诺共振的离散态与连续态分别源于二维金属/碳化硅界面处的FLO声子与限域LO声子,二者在散射路径上实现了频率与寿命的精准匹配。研究者通过金属插层后SiC特定表面终端结构,成功解释了多样化的法诺共振模式。借助金属插层在SiC中引入缺陷(其效果类似于中子散射),可实现法诺共振非对称性的有效调控。研究证实二维银通过共振拉曼散射在诱导法诺共振中起关键作用——当入射光子能量与二维金属光吸收匹配或相差声子能量时,该共振散射会大幅增强声子模式的散射强度,从而产生极其高效的法诺干涉。
研究表明,其源于SiC离散声子与连续声子在频率和寿命上的匹配,2D Ag层重构了界面SiC结构,并通过促进共振散射增强Fano非对称性——这是传统Ag材料无法实现的。
研究还发现,除二维银外,二维镓、二维铟等金属插层同样能在SiC中实现法诺共振,这表明通过调控插层二维金属(包括可调成分的二维合金)的光学特性来操纵法诺共振具有广阔前景。作为实现共振效应的另一途径,近场红外光子可作为激发源,有望进一步提升声子模式的散射效率。
研究团队进一步证明该Fano共振可实现单分子水平的超灵敏检测,引入罗丹明6G(Rhodamin 6G)分子后,共振峰强度变化达43%,|q|值变化达47%。该异质结构中的法诺共振处于生物体系特征声子所在的波数范围(500–1700 cm⁻¹)内,因此可拓展应用于复杂生物体系的成像、传感及生物能量收集等领域。
该项研究工作为声子量子干涉的调控开辟了新思路,促进了相应的器件工程化。
图1.石墨烯/2D Ag/SiC中的Fano共振。(A) 由于离散态与连续态的干涉,修饰后的声子光谱。(B) 离散态与连续态之间频率(能量)匹配的示意图。(C) 寿命匹配的示意图,其中声子寿命为皮秒级,而电子-空穴对的寿命为纳秒级,这阻碍了声子与电子激发之间的干涉。(D) 不同材料中报道的|q|与声子频率的关系,其中拉曼活性声子作为离散态,如石墨烯、碳纳米管、砷化铌、铝硅酸镧、二硫化钨、二硫化铼、硅、碳化硅、钛酸钡和钽铌酸钾。图中|q|为据我们所知每种材料的最高值。(E) 石墨烯/二维银/碳化硅的横截面扫描透射电子显微镜(STEM)图像和原子结构。比例尺,1纳米。(F) 在532纳米激发下,裸露的碳化硅、碳化硅上的外延石墨烯(G/Sic)、氧等离子体处理后的碳化硅上的外延石墨烯(等离子体处理后的G/Sic)以及石墨烯/二维银/碳化硅(G/2d Ag/Sic)的拉曼光谱。光谱沿y轴移动。(G) 放大的FlO2和FlO4模式。灰色点代表测量数据,蓝色曲线代表拟合光谱。a.u.,任意单位。
图2.由SiC终端确定的三种Fano谐振模式。(A)不同Fano模式的拉曼光谱。光谱沿y轴移动。(B) 使用BWF函数在背景减除后对(A)中的FlO4或FlO5模式进行最小二乘拟合。(C) 石墨烯/二维Ag/SiC样品#1的光学图像。比例尺,5 μm。(D) 对(C)中框选区域的FlO2-4模式(蓝色)下的FlO4强度和FlO2-5模式(红色)下的FlO5强度进行映射。(E) 石墨烯/二维Ag/SiC样品#2的光学图像。比例尺,5 μm。(F) 对(E)中框选区域的FlO2-4模式(蓝色)和FlO3-4模式(紫色)下的FlO4强度进行映射。(G) 具有不同SiC端接的石墨烯/二维Ag/SiC的STEM图像。灰色点表示Si的周期性。(H) 6h-SiC的示意图。横跨表面的黑色曲线表示不同平面的端接。灰色点和虚线表示Si的周期性。橙色箭头表示在Sc端接处的Si重构。
图3. 连续态声子限域效应分析。(A)纵向光学(lO)声子沿Γ-M方向的色散。灰色光谱表明,远离Γ点的声子对整体强度有所贡献。(B)使用声子局域化模型构建的光谱显示了不同相关长度D下局域化lO声子的展宽。使用声子局域化模型对(C)FlO2-4的散射背景进行拟合,以及(D) FlO3-4模式。
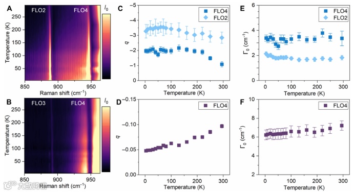
图4. Fano共振的温度依赖性。不同温度下(A) FlO2-4和(B) FlO3-4图案的拉曼强度图。(C) FlO2-4和(D) FlO3-4图案中FlO2和FlO4模式的拟合q值随温度的变化。 (E) FlO2-4和(F) FlO3-4图案中FlO2和FlO4模式的拟合Γ0值随温度的变化。误差条表示通过拟合获得的95%置信区间。
图5. Fano共振对2D金属光吸收的依赖性。在488-、532-、633-和785-nm激发下,具有(A)4/3堆积和(B)3/3堆积的二维银(2d Ag)的拉曼光谱。光谱通过788 cm−1处的光学声子进行归一化,并沿y轴进行位移。(C)4/3堆积和(D)3/3堆积的横截面扫描隧道显微镜图像。比例尺,1 nm。(E)4/3堆积和(F)3/3堆积的二维银/硅碳(2d Ag/SiC)的原子结构。(G)具有二维银的差分反射率ΔR。(H)计算了2d Ag/SiC在4/3和3/3堆积方式下的ε2。(I)不同2d金属的激发能量与光吸收之间的相关性。激发能量是指每种金属的Fano模式强度最强时的能量。插图是入射和散射共振拉曼散射的示意图。
图6.基于Fano共振的单分子检测。(A)R6G和4/3堆积的二维银(2d Ag)的电子态图。(B)在532nm激发下,用不同浓度的R6G处理的具有FlO2-4图案的2d Ag样品的拉曼光谱。标签“溶剂”指的是仅用溶剂处理的2d Ag样品,“原始”指的是原始生长的2d Ag样品。10−12 M的浓度对应于激光束下有一个单分子。(C)用不同浓度的R6G处理的2d Ag样品与原始2d Ag样品的FlO4模式的强度比和(D)q比。误差条表示五个不同位置的标准差。
声子法诺共振的重要意义体现在多个维度:首先,其共振模式对碳化硅终端结构与缺陷能级的敏感性,可作为一种非破坏性快速探针用于分析碳化硅原子构型。更重要的是,二维金属实现的共振拉曼散射为纳米尺度声子量子干涉的工程化调控提供了新思路。基于这种表面敏感性,进一步证明非对称法诺模式可作为单分子水平超灵敏检测的特征标识。
声子法诺共振将为超灵敏光学检测、高效热电材料和超导器件等领域带来新机遇,这些器件的性能均受声子行为的深刻影响。
论文链接:
https://doi.org/10.1126/sciadv.adw1800

