近日,湖北江城实验室吴小虎课题组对基于外尔半金属(WSM)纳米粒子的卡西米尔辐射现象进行了研究。该工作揭示了WSM局域圆模式的关键作用,并发现电磁涨落所引起的辐射热流与真空力可实现同步增强,从而展现出传热与力学效应的协同调控能力。相关成果以“Casimir radiation with Weyl semimetals”为题发表于《Physical Review Research》。论文第一作者为西北工业大学博士生胡杨,通讯作者为湖北江城实验室吴小虎教授和西北工业大学黄秀全教授。
卡西米尔效应由荷兰物理学家Casimir于1948年提出,源于电磁场的量子涨落。当电磁场边界条件改变时,纳米粒子可在卡西米尔摩擦扭矩的驱动下加速旋转,并向外辐射热量,这一现象即卡西米尔辐射。以往研究多聚焦于星际尘埃中广泛存在的石墨纳米粒子,但普遍忽略了一个关键物理特性——非互易性。该特性是宇宙中的基本属性,表现为物理过程的方向依赖性。WSM作为一种拓扑材料,具有本征非互易性,能够显著增强光与物质的相互作用,为调控和增强卡西米尔辐射提供了新途径。本文重点研究了基于旋转WSM纳米粒子的卡西米尔辐射。
基于WSM纳米粒子的卡西米尔辐射构型如图1所示。WSM纳米粒子围绕z轴旋转,其动量分离b沿z轴方向。纳米粒子与平板的温度相同,但是纳米粒子在旋转过程中由于摩擦会向平板发出热量。
图1 卡西米尔辐射示意图
卡西米尔扭矩与近场辐射换热显著受到局域态密度(LDOS)的影响。本文通过耦合纳米粒子与平板的LDOS,实现了二者的协同增强。如图2(a)所示,当WSM纳米粒子的动量分离b非零时,其原本三重简并的模式会劈裂为三个非简并模式:中间的局域等离模式及两侧的局域圆模式。图2(b)和(c)分别展示了hBN与WSM平板的LDOS。hBN作为一种典型的双曲材料,能够在宽频双曲波段内激发双曲声子极化激元,从而显著增强LDOS,易于与粒子模式耦合。对于WSM平板,当面内动量分离非零时,其LDOS在不同频率下表现出明显的非互易共振特征。
图2 纳米粒子与平板的局域态密度
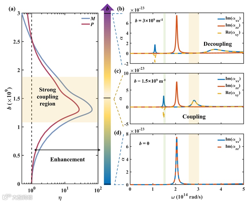
图3(左)展示了以hBN为基底时,卡西米尔辐射增强比随动量分离b的变化趋势。其中阴影区域对应hBN的第二双曲区间,纳米粒子的局域圆模式可与平板的双曲模式发生耦合。随着动量分离b的增大,卡西米尔扭矩与近场辐射换热的增强比均呈现先上升后下降的趋势。局域圆模式的激发与动量分离密切相关。图3(右)进一步给出了不同b值下粒子极化率随频率的变化。当b=0时,WSM介电张量的非对角元为零,极化率各分量完全重合,此时材料表现为各向同性,无法激发局域圆模式。当b≠0时,局域圆模式被激发,且随着b增大,其共振频率逐渐远离局域等离模式。通过调节b,可使圆模式的共振频率落入hBN的双曲波段内,从而实现卡西米尔扭矩与辐射换热的显著增强。

当纳米粒子与平板均采用WSM材料时,卡西米尔辐射的变化如图4所示。其中,卡西米尔扭矩谱呈现两个显著峰,而近场辐射换热谱则出现三个峰,且±kx 方向上的谱分布存在明显差异,这是由WSM平板导致的。当动量分离b沿z轴时,正、负波矢空间中的反射系数保持对称,系统表现为互易态。图中窄而亮的带状区域对应于表面等离激元的激发。由于WSM平板的表面等离激元与WSM纳米粒子的局域等离激元模式在共振频率上良好匹配,卡西米尔辐射得到显著增强。当动量分离b沿y轴时,正、负波矢方向上的反射系数分布呈现出明显的不对称特征。在−kx空间中,表面等离激元的共振频率发生蓝移,而在+kx空间中则出现红移。这一非互易的表面等离激元行为使其共振频率能够与WSM纳米粒子的局域圆模式有效耦合,从而进一步提升了卡西米尔辐射。

本文研究了基于WSM纳米粒子的卡西米尔辐射,发现通过非互易纳米粒子的旋转,可在无温差条件下实现纳米粒子至平板的近场辐射传热。与各向同性粒子相比,基于WSM纳米粒子局域圆模式与hBN平板双曲模式的耦合,该辐射可增强一个数量级。本工作为利用非互易纳米粒子实现近场能量调控提供了新的思路。
撰稿|课题组

