本文由论文作者团队撰稿
导读
近日,南京大学徐飞教授团队在Light: Advanced Manufacturing发表题为“Monofiber-Based Temperature and Strain Discrimination using Heterogeneous Waveguide Bragg Gratings”的研究论文。
该研究提出一种创新的单光纤温度–应变解耦技术,基于异质波导布拉格光栅实现。仅在单根光纤中写入两种热光特性不同的波导光栅,无需隔离封装或额外补偿,即可同步高精度测量温度与应变。该技术在动态温度环境下表现优异,显著提升测量准确性,为极端环境下的结构健康监测提供了全新的解决方案。
光纤布拉格光栅(FBG)具备灵敏度高、抗干扰能力强及可分布式测量等优点,被广泛应用于温度与应变监测领域。然而,传统FBG的反射波长同时受温度与应变的影响,其典型的交叉敏感度约为10 με/°C。在实际应用环境中,温度与应变往往同时变化,导致传统FBG传感器难以准确区分二者,测量可靠性受限。
目前常见的温应变解耦方案多依赖于双光纤隔离封装、干涉仪结构或多传感元件组合,普遍存在封装复杂、热响应滞后、体积较大等问题,难以适应动态、快速变化的温度与应变测量场景。
研究团队创新性地提出“异质波导布拉格光栅”器件,在单根光纤内实现了温度与应变的有效解耦。
图1:飞秒激光直写的异质波导光栅结构示意图
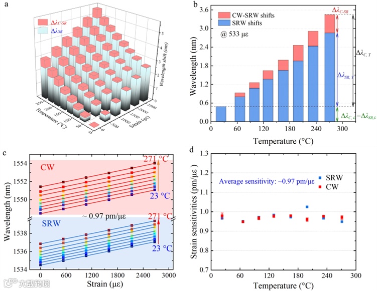
团队利用飞秒激光直写技术,在保偏光纤中分别制备应力柱波导光栅与纤芯波导光栅。由于两者材料掺杂特性不同,其热光系数存在差异(温度响应比约为0.8),而应变响应则高度一致(约0.97 pm/με)。基于双光栅波长移动的差异与同步变化,可直接反演出温度与应变信息,无需额外补偿元件。
图2:不同温度下,器件应变响应与灵敏度
为验证该传感器在动态环境下的实际性能,研究团队将其与传统的双光纤补偿方法进行对比。传统方法采用一根裸FBG与一根封装于钢管内的应变隔离FBG进行补偿。实验结果表明,本研究提出的单光纤传感器在时间分辨率与细节捕捉能力上均优于传统方案,在动态温度干扰下,静态应变测量的波动更小,应变测量精度比双光纤方法提高约一个数量级。
图3: 动态温度变化下,单光纤与传统双光纤补偿方法的应变测量精度比较
总结与展望
本研究成功实现了无需复杂封装、无需多传感器组合的单光纤温度–应变同步解耦测量,为极端环境和动态工况下的结构健康监测提供了全新的技术架构。未来,该技术有望拓展应用于航空航天关键部件实时监测、锂电池热失控早期预警、化学与能源领域的瞬态过程分析等场景,为动态、多参量、高灵敏的过程监测提供可靠工具。
论文信息
Junxian Luo, Hanwen Liu, Haotian Ding, Zhengda Zhang, Zhuo Chen, Fei Xu. Monofiber-based temperature and strain discrimination using heterogeneous waveguide Bragg gratings[J]. Light: Advanced Manufacturing 6, 1(2025)
https://doi.org/10.37188/lam.2025.077

