导读
近日,上海交通大学物理与天文学院袁璐琦课题组提出了在合成空间-频率维度中构建非阿贝尔规范场的新方案,突破了常规的构建非阿贝尔格点规范场方案中自旋翻转跃迁项不能独立构建的瓶颈,首次提出了在实验中构建SL(2,C)规范场的可行方案,展示了相比于常规SU(2)规范场更加丰富的拓扑相变过程,为非阿贝尔物理与人工规范场的构建开辟了新方向。相关成果以“SL(2, C) non-Abelian gauge fields in a photonic molecule array”为题,发表于《Nature Communications》上。该工作的第一作者是博士生董兆辉,通讯作者为袁璐琦教授,该工作得到陈险峰教授的重要指导。
关键词:非阿贝尔规范场,人工合成维度,狄拉克半金属,拓扑相变
研究亮点
人工合成规范场一直是调控光子学系统拓扑物态的重要手段。近年来,利用非阿贝尔规范场调控自旋系统拓扑性质的研究日益受到关注。这样的规范场通过产生与控制系统中的自旋-轨道耦合产生,并且各个场分量间遵循不对易关系。然而在现有的构建非阿贝尔规范场方案中,各自旋翻转耦合项通常是不独立的(由同一激光束或器件产生),因此对应的规范场通常是SU(2)形式的。但非阿贝尔规范场所要求的不对易性并非只有SU(2)群能够满足。因此,现有方案的不足限制了在实验上探索其他形式非阿贝尔规范场中新奇物理的能力。
研究团队提出了在耦合光学分子阵列中构建非阿贝尔格点规范场模型的方案,创新型地解决了上述难点。如图1a所示,每个光学分子由两个相同的光学谐振环A和B组成。两环间光场的耦合使得各环中谐振模式杂化产生对称与反对称的超模,对应频率上的劈裂。这两个劈裂的频率模式可以作为上下两个自旋,每个光学分子间再通过失谐的连接环彼此耦合,构建在空间上的跃迁项。同时在A环和B环中放置电光调制器对光场施加相位调制,调制信号包含三个的调制频率,以实现各频率模式间自旋翻转项(κ1、κ3)和自旋不变项(κ2)的跃迁。因此可以在二维合成空间-频率维度中构建一个自旋格点模型。值得注意的是,在频率方向的跃迁项中,自旋翻转项的跃迁由调制信号的不同频率分量产生,因此两者是彼此独立的,这为在实验上构建其他形式非阿贝尔规范场提供了可能。在两自旋翻转项满足κ1=-κ3*时,对应的非阿贝尔规范场为常规的SU(2)形式(泡利矩阵的线性组合,系数为纯实数),而在两者不满足上述关系时,对应的规范场为SL(2,C)形式(泡利矩阵的线性组合,系数为复数)。
图1. 非阿贝尔格点规范场模型的构建
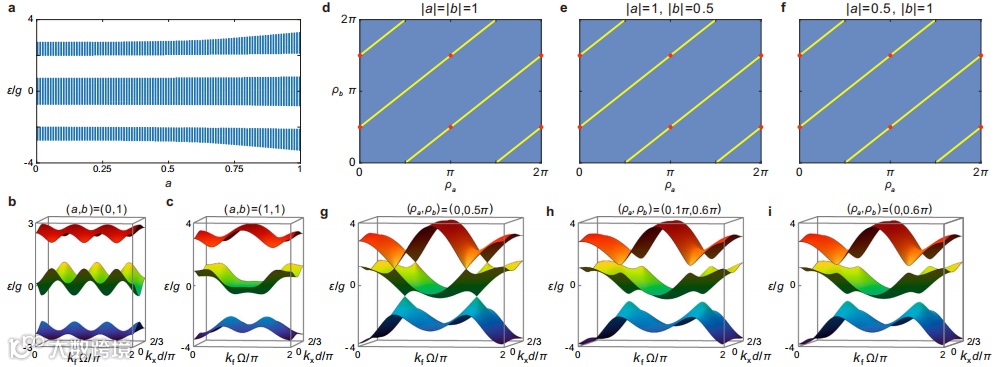
研究人员首先通过改变两自旋翻转项间的不平衡度a探索SL(2,C)规范场产生的物理效应。当a从0增大到1时,图2a中第四和第五能带间的四个狄拉克点往中间移动并湮灭,打开一条带隙,如图2b所示。图2c-f展示该过程中边界态能带、局域程度Λ及自旋投影的变化。随着狄拉克点的逐渐靠近,Λ曲线的两个低谷(对应狄拉克点的位置)也彼此靠近,最终合并为一个后消失。而边界态的自旋投影也由原本a=0时几乎不变的情况转变为a=1时随kf以正弦形式变化,这是由于自旋翻转项中两种不同性质耦合的竞争引起的。
图2. SL(2, C)规范场中的狄拉克点湮灭过程
研究人员进一步改变这两种不同性质的耦合(与参数a与b相关)并发现了在第四和第五条能带间更为丰富的相变过程,对应的相图展示在图3中。其中a=0的情况对应了SU(2)规范场,此时在第四和第五条能带间始终存在着四个I型狄拉克点。而当a≠0时(SL(2, C)规范场),系统展示多样的相变过程,证明了SL(2, C)规范场在调控系统拓扑物态的丰富潜力。
图3. SL(2, C)规范场中的丰富相变过程
此外,为了进一步揭示SU(2)规范场和SL(2, C)规范场的差异性,研究团队考虑了阿贝尔规范场的情况,在a=0时,系统展现出非平庸的Z2拓扑不变量,此时两自旋翻转耦合项满足κ1=-κ3*的关系,而当a≠0时该关系被打破,系统展示出平庸的Z2拓扑不变量。并且这一拓扑相变过程在a与b等于0时并未出现带隙关闭过程,如图4a所示。但若考虑a与b为复数的情况,即使|a|≠0,也可以得到非平庸的Z2拓扑不变量,此时的自旋翻转耦合项满足|κ1|=|κ3|。这表明在SL(2, C)规范场下存在比SU(2)规范场情况更广泛的对称性,使得非平庸的Z2拓扑不变量能够出现。系统相图如图4d-f所示,其中红色点对应四重兼并点的出现(图4g),黄色线对应拓扑非平庸情况(图4h),蓝色区域为拓扑非平庸区域(图4i)。
图4. SL(2, C)阿贝尔规范场中的拓扑相变
综上所述,本工作提出了在合成空间-频率维度中构建非阿贝尔规范场的新方案,研究了在SL(2, C)规范场下的拓扑相变过程,为后续进一步探索在SU(2)非阿贝尔规范场之外的新物理提供了基础。
论文信息
SL(2, C) non-Abelian gauge fields in a photonic molecule array
Zhaohui Dong, Xianfeng Chen, Luqi Yuan*
袁璐琦教授为论文的通讯作者
Nature Communications 16, 10166 (2025)
DOI: https://doi.org/10.1038/s41467-025-65214-z
原文链接:
https://www.nature.com/articles/s41467-025-65214-z
撰稿|课题组

