近日,同济大学物理科学与工程学院任捷教授课题组在声子激光器(phonon laser,又称“激声”)领域取得理论突破。他们提出一种基于量子声表面波(SAW,surface acoustic wave)的激射新方案:将嵌入金刚石并具有特殊能级结构的SiV色心置于光学微腔中,通过能级跃迁与应变耦合,实现声表面波的声子激射和声子自旋激射。
在光驱动与参数调控下,色心激发态到两个基态的跃迁路径发生干涉相消,导致激发态上几乎无布居分布,如同进入一种“隐身”状态。这种因干涉相消形成的特殊量子态被称为“暗态”,它使系统与激发态噪声有效隔离,显著提升了抗干扰能力。在此基础上,研究团队利用两个基态间的应变耦合跃迁,辐射出表面声波声子。此外,由于SiV色心的两个基态具有角动量差异,其跃迁所产生的声子必然携带自旋角动量,并结合“自旋-动量锁定”效应,使声子激光只能沿特定方向传播,实现了声子自旋选择的单向辐射。类比英文“laser”,科学家将这种SAW phonon laser 称为SAWaser,意为“SAW amplification by stimulated emission of radiation”。
该工作以“Dark-state-induced surface-acoustic-wave lasing and phonon-spin-selected unidirectionality” 为题,以Letter的形式发表在Physical Review Applied上(Phys. Rev. Appl. 25, L011001 (2026))。研究得到国家重点研发计划、国家自然科学基金委和上海市科委的资助。同济大学物理科学与工程学院博士后雷长勇为论文第一作者,任捷教授为通讯作者。
激光,即“受激辐射光放大”,能产生高度相干、方向性极好的光束。声子激光是把激光(受激辐射光放大)的概念扩展到量子声动力学领域,即得到受激辐射声放大。声子激光具有良好的相干性,在精密测量、传感、成像、引力波探测、宏观物体的冷却,量子信息和量子计算方面具有重要作用。然而,实现高性能的声子激光器面临着一个核心挑战:如何有效抑制噪声干扰?传统方案难以避免激发态噪声的影响,限制了其性能。
近年来的研究带来新思路:声子与光子类似,也可携带固有自旋角动量(自旋为1)。同济大学任捷课题组在声波自旋和声子自旋做了系统研究(参考PNAS 115, 9951 (2018);基本概念系统可见Chin. Phys. Lett. 39, 126301 (2022))。在某些体系(如表面声波)中,声子的自旋方向与其传播方向锁定(“自旋-动量锁定”),即:具有确定自旋的表面声波只能往某一方向传播,这为实现定向且受保护的声子传输提供了新的物理自由度。然而,此前声子激光的研究尚未关注携带角动量的声子激光。另一个重要问题是:如何设计一种既能抵抗噪声又能定向辐射的声子激光器?
同济大学的这项理论研究填补了这一空白,并给出了巧妙答案:将量子光学中用于隔离噪声的“暗态”概念,与声子的“自旋-动量锁定”特性相结合,构造了量子声表面波的声子自旋激射器件。
本工作的核心创新正在于此。通过暗态设计从原理上隔离主要噪声源,同时利用声子自旋物理实现声子的定向辐射。这为理论上构建强抗干扰、单向传播的声子激光提供了全新方案,为下一代高精度声学器件与量子声子学实验奠定了基础。
一、提出了利用暗态来产生声子激光的方案
图1 (a) 实现表面声波声子自旋激光的实验设置(内图为SiV色心的晶体结构),(b)SiV色心的能级结构,(c)通常的声子激光方案,(d)暗态声子激光方案。
本论文将嵌入SiV色心的金刚石置于光学微腔中(图1(a)),利用激光驱动SiV色心能级跃迁(图1(b))。通过两个跃迁通道的干涉相消,实现电子从|1〉态到|2〉态的直接跃迁(图1(d)),从而使激发态与系统退耦合,等效形成一组暗态,暗态间的跃迁辐射出声子激光。由于激发态退耦,激发态引起的噪声可忽略,使该声子激光方案具备抗噪声能力。传统激光方案需借助激发态(图1(c)),易受激发态噪声影响。
二、暗态显著增强激声的强度和抗噪声能力
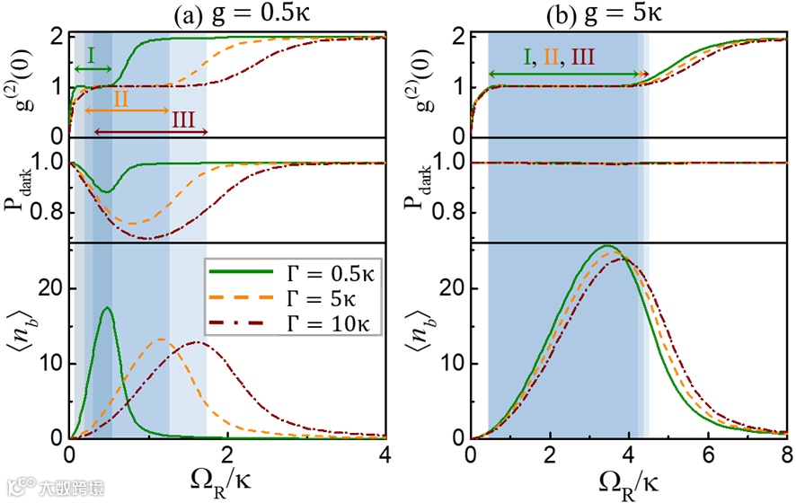
图2 随着噪声强度的增加(即随着SiV色心激发态衰减率
的增加),非暗态激声(a)与暗态激声(b)的比较。上排是二阶关联函数(
的区域为激光区域,即对应的阴影区域),中排是暗态几率,下排是声子激光的平均声子数。
对比噪声对非暗态声子激光(图2(a))与暗态声子激光(图2(b))的影响可见:非暗态激声随噪声增强,激声强度(平均声子数)峰值逐渐下降(图2(a)下排),而暗态激声几乎不受噪声影响(图2(b)下排),表明暗态声子激光具有强大的抗噪声能力。此外,暗态声子激光的强度峰值远高于非暗态声子激光,说明暗态有效增强了声子激光的强度。
三、产生单向辐射的声子自旋激光
图3 声子激光的自旋密度 (a) 和二阶关联函数
随方位角(声子传播方向与磁场的夹角)和Rabi频率
的分布图(下排为图中橙色线对应的极坐标画法)。
由于SiV色心两个基态间的跃迁存在角动量差异,所产生的声子激光带有声子自旋。图3(a)展示了声子自旋随波矢与磁场夹角θ的分布,可见声子自旋具有方向选择性(仅在一定角度范围内分布,见下排极坐标图)。由于自旋-动量锁定,声子自旋决定了声子激光只能朝特定方向辐射 (图3 (b)中白色区域
即为量子声子激射区域)。
该工作提出一种新型的表面声波声子激光(SAW phonon laser,亦称作SAWaser,意为SAW amplification by stimulated emission of radiation)理论。其不仅是量子的声子受激发射,更是声子自旋的受激发射(phonon spin lasing)。具体方案为:将具有Λ型能级结构的SiV色心(包含两个基态与一个激发态)嵌入金刚石,并置于光学微腔中,利用激光驱动其中一个基态至激发态的跃迁;当激发态向另一基态跃迁与微腔共振时,调节耦合参数可形成暗态(两跃迁通道干涉相消,使激发态布局数为零)。通过光驱动实现两个基态间的粒子数翻转,再利用基态间跃迁(等效于暗态间跃迁)辐射表面声波声子(材料应变引起基态能级移动,从而实现SiV色心与表面声波的耦合)。由于暗态与激发态退耦,噪声对声子激光的影响被极大抑制,实现了抗噪声的声子激光。此外,因两个基态具有角动量差异,产生的声子激光携带自旋,结合自旋-动量锁定效应,该激光只能朝特定方向辐射与传播。
该工作实现了强抗噪声、单向传播的量子声子激光(且是声子自旋的激射),对高精度的测量、成像,定向输运,集成声子芯片,非经典的声子态操控和宏观振动纠缠等领域具有积极推动作用。
Dark-state-induced surface-acoustic-wave lasing and phonon-spin-selected un
idirectionality,
C. Lei, and J. Ren*, Phys. Rev. Appl. 25, L011001 (2026)
供稿:课题组

