近日,国防科技大学团队与合作者在分子腔光力学研究方面取得重要进展,从理论上提出一种基于杂化分子腔光力系统的鲁棒量子纠缠生成方案。研究将高品质因子回音壁模式光学谐振腔与由金属纳米颗粒和单个有机分子构成的等离激元纳米腔耦合,构建了分子振动声子、等离激元与回音壁光学模式协同作用的杂化量子体系模型。该体系能够将原本产生于高损耗等离激元模式中的Stokes光子高效重定向至长寿命光学谐振腔,同时抑制分子振动吸收并维持分子振动基态,从而在室温条件下实现稳定的光子-分子量子纠缠。在特定参数范围内,其纠缠强度突破了传统双模腔光力系统的理论界限,该研究为在开放环境中保护量子纠缠并实现可扩展的室温量子信息处理技术提供了新思路。相关成果以《Strong Molecule-Light Entanglement with Molecular Cavity Optomechanics》为题发表于物理学国际权威期刊《Physical Review Letters》。论文第一作者为国防科技大学博士生喻红云,通讯作者为国防科技大学韦可副研究员、国防科技大学及湖南师范大学景辉教授,以及郑州轻工业大学焦亚峰博士。
量子纠缠是量子力学所特有的非经典关联,也是实现量子计算、量子通信和量子精密测量等量子信息技术的核心资源。然而,量子纠缠极易受到环境涨落和热噪声的破坏,如何在开放环境中实现量子纠缠的稳定生成与保护,一直是量子信息领域的重要科学挑战。
同时,腔光力系统可通过辐射压力实现光场与机械振子的相干耦合,为产生和调控宏观量子纠缠提供了重要平台。然而,传统腔光力系统通常采用GHz频段的宏观机械振子,其单光子光力耦合强度较弱且极易出现热化,导致其量子相干性易急速消失。因此,腔光力系统往往需要在毫开尔文量级的极低温环境下运行以抑制热噪声,这在很大程度上限制了其在实际量子信息技术中的应用。
相比之下,分子光力系统(Molecular Optomechanics,MOM)利用表面增强拉曼散射(Surface-Enhanced Raman Scattering,SERS)机制,将等离激元纳米腔中的强局域光场与分子的高频振动声子相耦合,从而显著增强了光力相互作用,并使分子振动模式在室温条件下接近量子基态成为可能。基于纳米颗粒-镜面(Nanoparticle-on-Mirror,NPoM)结构的等离激元纳米腔,是实现分子光力系统的一种典型物理系统。得益于分子的高频振动特性以及等离激元纳米腔产生的强局域光场,该体系近年来在多个方向取得了一系列重要进展,例如声子参量放大、光力频率转换、频率可分辨的光子关联以及振动介导的光子阻塞等现象,并为利用分子内禀自由度开展量子信息编码与量子计算提供了新的可能。然而,等离激元模式固有的强光学损耗(~10 THz)使得在该体系中制备鲁棒的宏观量子纠缠仍面临巨大挑战。现有理论方案通常通过增加分子数量以提升等效光力耦合强度,从而对抗系统耗散。然而,这种方法将不可避免地引入集体分子振动模式的非均匀退相干,其弛豫时间仅处于亚皮秒量级,同时其纠缠强度仍受到传统双模光力系统的稳态纠缠理论上限限制。因此,如何在单分子尺度下有效克服等离激元耗散,并突破稳态纠缠的理论极限,从而在室温环境中实现鲁棒的量子纠缠,成为当前分子光力纠缠研究中的关键科学问题。
在传统双模腔光力学系统中,光子—声子纠缠通常通过非线性双模压缩相互作用产生。然而,由于腔内损耗与热噪声之间的竞争,其稳态纠缠强度存在理论上限[Phys. Rev. A78, 032316 (2008)]。当以对数负性作为度量时,该上限为
。其物理原因在于双模压缩过程虽然能够产生关联的Stokes 光子-声子对,从而增强量子关联,但过强的耦合同时会引入大量额外的粒子噪声,从而抑制纠缠的进一步增强。在仅包含等离激元光学模式的分子光力系统(如NPoM系统)中,这一问题更加突出。由于等离激元模式具有极高的光学损耗,系统耗散远快于光力耦合速度,使量子关联在系统达到稳态前就迅速退相干,导致可产生的量子纠缠强度非常有限。
针对这一挑战,本研究提出了一种新型分子光力杂化量子系统模型(图1)。该模型通过将具有高Q 值的回音壁微环腔与包含金属纳米腔和分子机械振子的等离激元分子光力系统杂化耦合,并充分利用其各物理组分的量子优势和可控优势,从而产生出两个关键的杂化量子优势:(1)系统可将产生于高损耗等离激元模式中的Stokes 光子高效重定向至高Q 值的回音壁微环腔,大幅提升光子寿命;(2)通过等离激元-回音壁模式之间的相互作用可抑制分子振动激发,维持分子声子的基态(平均声子数
)。
图1 (a)杂化分子光力模型示意图:内含单分子的NPoM 等离激元腔与 WGM 微腔耦合;(b)杂化分子光力模型的电磁场仿真结果,展示了模式的杂化与耦合特性;(c)光子-分子纠缠产生与重定向机制示意图:在蓝失谐泵浦条件下,Stokes 光子由高损耗的等离激元模式被重定向至高Q 的WGM 模式,从而保护量子关联。
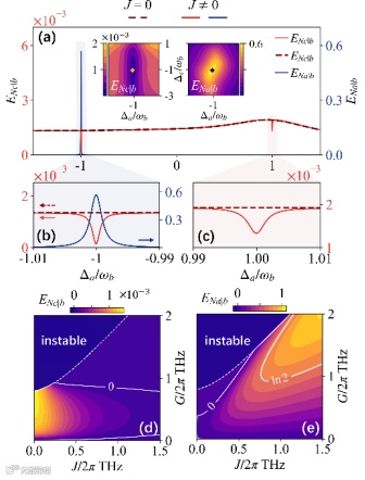
研究发现,在蓝失谐驱动条件下,该杂化体系出现了显著的“纠缠重分配”现象(图2)。随着等离激元-回音壁模式耦合的引入,原本局限于等离激元-声子组分中的微弱纠缠逐渐转移至光子-声子组分,并实现了纠缠强度约两个数量级的增强。
图2 (a)–(c)展示光子-声子纠缠和等离激元-声子纠缠随腔失谐量变化的行为;结果表明,在蓝失谐区域纠缠从等离激元模式高效转移至WGM 模式。(d)–(e)给出了蓝失谐条件下纠缠强度在参数空间中的分布,清晰展示了纠缠转移的有效参数区间。
通过对等离激元-回音壁模式耦合强度 J 与有效光力耦合强度G 的协同优化,该方案在理论上成功突破了传统双模腔光力系统稳态纠缠强度的 ln2≈0.69 理论上限。例如,在优化参数条件下,纠缠强度可达到EN ≈1.02;即使在较大的光学和声子耗散条件下,系统仍可保持EN ≈0.697 >ln2,展现出对环境噪声与热涨落的显著鲁棒性(图3)。
图3 (a)–(c)显示在特定参数区域内光子-声子纠缠可明显超越传统稳态纠缠理论上界;(d)表明即使在较强耗散条件下系统仍可保持稳定的强纠缠。
进一步分析表明,突破 ln2 上限的关键在于等离激元-回音壁模式耦合的引入,其耦合强度 J 与光力耦合强度G 共同调控“量子关联”与“噪声激发”之间的竞争关系:J 的增加能够增强光子重定向过程并降低噪声,而G 的增强则强化双模压缩关联但同时引入额外噪声。二者之间的非单调竞争决定了系统存在最优纠缠参数,并且最大纠缠始终对应于分子振动处于近基态冷却的参数区域(图4)。
图4 (a)噪声声子激发数与纠缠强度在参数空间中的对应关系,表明强纠缠区域与声子基态区域相一致;(b)优化后的最大纠缠强度及对应声子激发数,证实基态冷却是突破纠缠极限的重要条件。
本研究提出了一种在室温条件下生成鲁棒的光子-分子纠缠的通用策略。通过引入高品质因子光学微腔作为“纠缠存储库”,并实现Stokes 光子的高效重定向,有效克服了分子光力系统中等离激元模式高耗散带来的限制。该方案不仅在理论上突破了传统双模腔光力系统稳态纠缠的理论界限,也为在开放环境中实现稳定的室温量子纠缠提供了新的思路。这一研究为基于分子腔光力学平台发展室温量子技术奠定了重要基础,有望在高灵敏量子传感、片上量子光源以及杂化量子网络接口等领域得到应用。同时,该杂化体系还可以进一步结合动力学调制、库工程以及量子干涉等量子调控手段,实现鲁棒性和可扩展性更强的量子信息处理功能。
论文标题:Strong Molecule-Light Entanglement with Molecular Cavity Optomechanics
作者:Hong-Yun Yu,Ya-Feng Jiao,Jie Wang,Feng Li,Bin Yin,Qi-Rui Liu,Tian Jiang,Hui Jing,Ke Wei
论文链接:https://doi.org/10.1103/4z8v-f6s5
撰稿:课题组

