中红外(3~5 µm)波段被称为“大气传输窗口”与“分子指纹区”,在自由空间光通信、光谱传感、热成像及量子信息等领域具有重要应用。该波段的高性能电光调制器的研制存在较大挑战,面临材料吸收大、带宽受限、调制效率低等技术瓶颈。近日,南京大学胡小鹏教授、祝世宁院士团队在《人工晶体学报》2026年第2期发表了题为《基于薄膜铌酸锂异质集成硫系玻璃的中红外电光调制器的仿真研究》的研究论文(第一作者:潘凯彦;通信作者:胡小鹏)。该论文提出一种基于薄膜铌酸锂(LNOI)与硫系玻璃(ChG)异质集成的中红外电光调制器设计方案,通过模场工程与多物理场协同优化,在4.1 µm处实现了:110 GHz的电光带宽、14.7 V·cm 半波电压长度积,以及0.67 dB/cm的低传输损耗,为中红外波段高性能电光调制芯片提供了新的技术路径。
论文题录●●
潘凯彦, 蔡和意, 杜清扬, 秦琦, 胡小鹏, 祝世宁. 基于薄膜铌酸锂异质集成硫系玻璃的中红外电光调制器的仿真研究[J]. 人工晶体学报, 2026, 55(2): 173-181.
PAN Kaiyan, CAI Heyi, DU Qingyang, QIN Qi, HU Xiaopeng, ZHU Shining. Simulation Study of Mid-Infrared Electro-Optic Modulators Based on Thin-Film Lithium Niobate Heterogeneously Integrated with Chalcogenide Glass[J]. Journal of Synthetic Crystals, 2026, 55(2): 173-181.
//文章导读
硅、氮化硅、氮化铝等常见平台在中红外波段普遍存在载流子吸收或调制效率受限问题。薄膜铌酸锂具有优异的电光系数与宽透明窗口,是实现高速调制的理想平台。商用LNOI晶圆通常包含几微米厚的SiO2掩埋层(BOX),而SiO2在3~5 µm存在明显吸收,成为性能瓶颈。因此,如何在不破坏成熟LNOI工艺体系的前提下,降低BOX层吸收损耗,是实现中红外高速调制的关键。
本文提出的核心方案是在薄膜铌酸锂表面异质集成硫系玻璃波导层。硫系玻璃(ChG)在1~10 µm波段透明,且折射率可通过组分调控在2.1~2.7调节。通过优化ChG的折射率与几何结构(见图1),可将波导中光模场向上牵引,减少光场在SiO2掩埋层中的占比,从而显著降低中红外吸收损耗。同时,折射率可调这一特性为调制效率与带宽协同优化提供了新的自由度。这种“折射率工程+模场工程”的策略避免了去除BOX层或采用悬浮结构等复杂工艺,具有更好的平台兼容性与可实现性。
图1 不同折射率下ChG波导结构中SiO2层的光场限制因子与吸收损耗特性。(a)随ChG厚度变化的关系;(b)随ChG波导宽度变化的关系
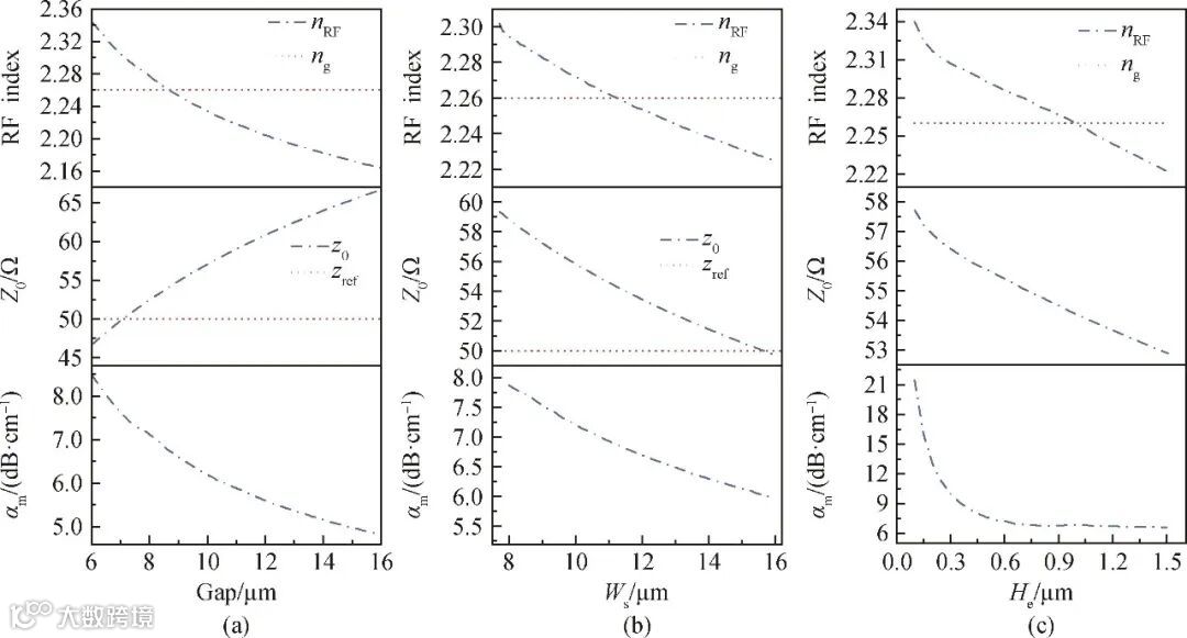
在光学结构基础上,研究团队进一步对行波电极进行了仿真设计。通过优化行波电极结构参数,实现光波群折射率与微波折射率匹配以及良好的阻抗匹配。根据图2结果最终确定电极间距9 µm、电极宽度11.5 µm、电极厚度1 µm,在保持低损耗的同时获得较高调制效率。
图2 电极结构参数对射频特性的影响。不同电极间距(a)、电极宽度(b)和电极厚度(c)下微波折射率、特征阻抗及微波损耗的仿真分析
调制器整体结构示意图如图3所示。器件采用商用X-cut LNOI平台,包含:900 nm 铌酸锂薄膜,4.7 µm SiO2掩埋层,500 µm硅衬底。所设计的中红外电光调制器包含两个关键功能单元:由一对移相臂构成的推挽电极调制区,以及两个用于光分束/合束的1×2多模干涉耦合器。
图3 MIR薄膜铌酸锂调制器的整体结构及MMI结构示意图。(a)MIR电光调制器的整体结构,插图:调制区截面图;(b)MMI结构示意图,插图:在4.1 μm处模拟的双端口透过率及电场分布图
从图4的频率响应曲线可以直观看到,在高频调制条件下,光波群折射率与微波折射率能够实现良好匹配,器件特征阻抗稳定在约54 Ω,微波损耗保持在可接受范围内。当调制区长度为10 mm时,器件电光带宽可超过110 GHz,而在更短的8 mm调制长度下带宽可进一步提升至约150 GHz,体现出中红外波段超高速调制的潜力。表1为本文与其他中红外异质集成平台的性能对比,该方案在保持较低损耗的同时实现了显著更高的调制带宽,体现出优良的综合性能。
图4 MIR电光调制器的频率响应。不同频率下的微波折射率(a)、微波损耗(b)、特征阻抗(c)及电光响应(d)仿真分析
表1 不同异质集成平台的MIR电光调制器性能
结 论
在这项工作中,设计并系统仿真了一种基于薄膜铌酸锂与硫系玻璃异质集成平台的中红外电光调制器。通过引入折射率可调的硫系玻璃作为光场导引层,有效将光场分布从SiO2掩埋层中向上牵引,显著降低了中红外波段的传输损耗。借助多物理场耦合仿真与参数优化,在4.1 μm实现了0.67 dB/cm的低传输损耗、14.7 V·cm的半波电压长度积,以及超过110 GHz的3 dB电光带宽。仿真中所采用的材料参数均参考了可购买获得的X切薄膜铌酸锂产品,及实际可制备的硫系玻璃工艺条件,基于该仿真设计的器件制备是可行的。本研究展示了折射率可变的硫系玻璃在模场调控方面的优势,为在中红外波段实现高效率、高带宽电光调制提供了新思路。该设计不仅克服了传统薄膜铌酸锂平台在中红外应用中的材料限制,也展示了异质集成策略在多功能光子器件中的潜力。未来,该异质集成调制器有望应用于中红外光通信、光谱学、量子信息处理等重要领域,并为实现全集成中红外光电系统提供基础。
通信作者●●
胡小鹏,南京大学现代工程与应用科学学院教授,博士生导师,江苏省光学学会理事。主要研究方向为微结构功能材料和集成光子技术,在薄膜铌酸锂、钽酸锂光子芯片的产业化关键技术,基于铁电畴工程的新型非线性集成光子芯片等研究方向取得了系列重要进展。以通讯作者、第一作者身份在Nature Photonics、Nature Communications、PRL等高水平学术期刊上发表学术论文近40篇;主持国家重点研发计划课题、江苏省科技重大专项、国家自然科学基金青年/面上项目多项;研究成果两次获得中国光学十大进展。
长按识别
下载全文

