文章来源《智慧城市》
城市综合管廊集成了多种市政管线,关系到城市生命线安全。
城市综合管廊的设施必须要确保管线的安全运行,这使得城市综合管廊设施监控和运维管理的准确性和时效性要求较高。
城市综合管廊为管线单位提供运营服务,从而为投资者、社会公众创造价值,这种价值是以服务的质量和效益为基础的。
城市综合管廊运营管理的水平会影响管线单位的经济利益和政府财政支出,并最终影响投资者和公众的利益。
政府、投资者和公众作为城市综合管廊运营单位的监督者会不断促使城市综合管廊运营单位提升技术和管理水平,降低管廊及管线运营成本,这是城市综合管廊智慧运维技术发展的原动力,也是城市综合管廊运营单位提升服务质量、增强经济效益的根本措施。
城市综合管廊智慧运维的目的是通过信息化的技术手段,提升运营管理的安全性和经济性水平,增强城市综合管廊的经济效益,为社会创造价值,实现可持续发展,主要包括如下两个方面:
1)采用物联网、人工智能与机器人等技术增强城市综合管廊的监控能力,提升城市综合管廊的固有安全水平,降低决策成本,防止发生重大的运营事故,造成巨大的经济、社会和环境损失。
2)采用大数据、多源数据融合分析等信息化手段,优化运营管理服务和维修策略,降低运维活动的成本,实现降本增效,提升城市综合管廊的经济效益。
此外,城市综合管廊的智慧运维构成了智慧城市的一部分。
管线及城市综合管廊智慧运维技术应相辅相成,在智慧运维架构和技术体系上需要与智慧城市的顶层设计与架构相协调,避免成为智慧城市治理中的孤岛系统。
智慧运维与传统设施运维的显著区别在于采用了信息技术运营方式,利用多源数据融合的方法实现传统设施监控与运营服务的融合,从而提高管理效率降低运维成本,增强设施安全管理水平和经济效益。
智慧运维的对象不仅包括城市综合管廊的各种物理设施、人员等,还包括算法、数据等无形资产。
将数据作为资源,利用信息技术进行运营管理,提升组织的安全管理水平和运营效率,是城市综合管廊智慧运维最本质的特点。
城市综合管廊是典型的复杂系统,复杂系统的维修策略关系到设施的安全和运营成本,是影响城市综合管廊可持续发展的关键因素。
因此,如何在实现安全目标的基础上利用智慧运维的技术手段对运维策略进行优化并降低运维成本,是城市综合管廊智慧运维技术发展的重要方向,也是降低城市综合管廊全寿命周期成本的有效措施。
1 智慧城市综合管廊顶层设计
智慧城市综合管廊是运用人工智能、机器人、物联网、大数据等新一代信息技术,促进城市综合管廊规划、设计、建造和运维、管理和服务的智慧化的新理念、新模式和新形态,包括全寿命周期、技术要素和应用领域3个方面的因素。
图6-1给出了智慧城市综合管廊概念模型。

图6-1 智慧城市综合管廊概念模型
管廊类型、建造方式、地理环境、运营模式等的差异,可能影响智慧城市综合管廊的管理范围和技术条件。
因此,应根据不同的城市综合管廊类型和实际情况,确定智慧城市综合管廊的目标,并对目标进行细化和分解,针对每个细化目标,设计相应的建设内容和实施路径,明确相关的信息技术手段和相关的资源。
这需要开展智慧城市综合管廊的顶层设计,避免智慧城市综合管廊的定位和内容出现差异。
此外,通过建立统一管理与信息服务平台,采用传统的基于设施在线监控的运营模式与信息技术运营模式相结合的方式,并考虑与智慧城市架构体系的统一与兼容性,构建智慧城市综合管廊的技术架构和体系。
由于运营占据了城市综合管廊全寿命周期的绝大部分时间,因此,智慧城市综合管廊的核心应用应围绕运营阶段设计。
城市综合管廊的运维安全与经济性关系到城市综合管廊可持续发展,因此,智慧城市综合管廊在运营阶段必须要解决好安全与经济两方面的因素,通过人工智能与机器人等技术不断优化维修策略,将数据与服务进行融合提升管理效率,使得城市综合管廊的运营达到较高的安全水平和经济效益,实现智慧运维。
1.1 顶层设计
智慧城市综合管廊的顶层设计是从城市综合管廊可持续发展的需求出发,运用系统工程方法和信息技术手段协调城市综合管廊全寿命周期的各个要素,开展智慧城市综合管廊需求分析,对智慧城市综合管廊目标、总体框架、建设方案和实施路径等方面进行整体性设计的过程。
智慧城市综合管廊的顶层设计需要考虑如下的因素:
1)应与城市综合管廊、智慧城市发展规划相结合,并与城市其他相关规划和政策衔接(例如5G通信网络和城市综合管廊运营规范)。
2)应能促进城市综合管廊的安全与应急管理水平和经济效益的提升。
3)应从城市综合管廊可持续发展角度和智慧城市发展战略层面开展城市综合管廊智慧运维的顶层设计,围绕安全与经济两个层面,提升安全运营水平,重点围绕运营阶段开展设施监控与信息服务融合、全寿命周期安全与经济性评估等进行设计。
4)应考虑政府、投资者、公众、管廊与管线单位等多元主体的实际需求,重点围绕跨部门、跨领域、跨层级的资源统筹、数据共享、业务协同,从体制机制和技术应用两方面进行创新。
参照智慧城市顶层设计原则,城市综合管廊智慧运维顶层设计应遵循如下的基本原则:
1)以人为本:降低地下有限空间人员的安全风险和劳动强度,维护公众利益。
2)因地施策:根据城市综合管廊类型以及智慧城市发展规划和建设水平,合理进行资源配置,有针对性地进行规划和设计。
3)融合共享:以“实现数据融合、业务融合、技术融合,以及跨部门、跨系统、跨业务、跨层级、跨地域的协同管理和服务”为目标。
4)协同发展:建立政府、管线单位在信息化技术以及业务等多方面的协同发展体系。
5)多元参与:应考虑政府、投资者、公众等不同角色的意见及建议。
6)绿色发展:考虑城市综合管廊全寿命周期成本,以实现可持续发展为导向。
7)创新驱动:体现人工智能与机器人等新技术在智慧城市综合管廊中的应用,推动统筹机制、管理机制、运营机制、信息技术创新。图6-2给出了城市综合管廊智慧运维顶层设计过程。

图6-2 城市综合管廊智慧运维顶层设计过程
需求分析的目的是确定智慧城市综合管廊的目标和总体要求,它是建立在城市综合管廊发展规划与智慧化愿景、城市综合管廊与智慧城市建设现状以及管线、信息化、应急保障等相关规划基础之上,包括如下主要分析内容:
1)目标分析。
2)用户分析。
3)业务需求分析。
4)系统功能需求分析。
5)信息资源需求分析。
6)信息共享和业务协同需求分析。
7)信息基础设施建设需求分析
8)性能需求分析。
9)安全与经济需求分析。
10)接口需求分析。
总体设计是以智慧城市综合管廊需求分析为基础,包括基本原则、建设目标和总体架构方面的设计。
应结合智慧城市综合管廊需求,以智慧运维理论和主要建设目标为指导,以解决城市综合管廊可持续发展为出发点,围绕城市综合管廊运维的降本增效,提升安全管理水平的实际需求,确定城市综合管廊智慧运维的基本原则。
总体架构包括业务、数据、应用、设施、安全体系、标准体系、产业体系等设计内容。
业务架构应建立在城市综合管廊全寿命周期运营与设施管理基础之上,应涵盖政府、投资者、管线单位等业务对象多方面因素,采用多级结构,从现场监控、运营管理、政府监管、管线运营等维度进行细化。
数据架构应根据数据共享交换的现状和需求,结合业务架构,识别业务流程中的数据需求、共享环境与目标,包括数据资源架构、数据服务和数据治理。
数据资源架构是对不同应用领域和不同形态的数据(也是多源异构数据)进行整理、分类和分层。数据服务包括数据采集、预处理、存储、管理、共享交换、建模、分析挖掘、可视化等。
数据治理包括数据治理的战略、相关组织架构、数据治理域和数据治理过程等。
应用架构是根据智慧城市综合管廊技术现状和需求分析,结合业务架构及数据架构等,对应用系统功能模块、系统接口进行规划和设计,确定需要新建或改建的系统,识别可重用或者共用的系统及系统模块,明确系统、节点、数据交互关系。
设施架构包括现场感知设施、通信设施、计算与存储设施、数据与服务融合设施。
现场感知设施包括各种在线监控传感设备和智能巡检机器人与智能巡检设备。
通信设施包括监控网络、政务网络以及其他专用网络(如管线单位的专用网络)。
计算与存储设施包括数据与算法服务器。数据与服务融合设施包括各种数据资源、应用支撑服务、系统接口与可视化交互终端等设施。
安全体系应根据城市综合管廊规范标准,结合管线运营安全、信息安全等要求从规则、技术和管理维度进行设计。
规则包括建议遵循的及建议完善的安全技术、安全管理相关规章制度与标准规范。
技术应根据设施安全及可靠性分析理论,明确应采取安全防护保障的对象,及针对各对象需要采取的技术措施。
管理主要是从安全管理的组织机构、管理制度及管理措施等方面提出相应的管理要求。
标准体系应根据国家标准体系,可以从总体基础性标准、支撑技术标准、设施标准、管理与服务标准、产业与经济标准、安全与保障标准等维度开展标准体系的规划与设计工作,构建国家、行业、地方与团体标准相互配合的全方位标准体系。
产业体系应围绕智慧城市综合管廊目标,结合新技术、新产业、新业态、新模式的发展趋势,基于智慧城市和城市综合管廊产业现状,制定产业发展目标,规划产业体系,包括设施服务商(如智能巡检机器人)、信息技术服务商、系统集成商、公共服务平台企业、专业领域创新应用商、智慧化解决方案供应商等角度梳理、提出重点发展培育的领域方向,从创业服务、数据开放平台、创新资源链接、新技术研发应用等角度设计支撑智慧城市综合管廊的产业创新体系。
实施路径需要从智慧城市综合管廊目标出发,依据系统论和结构分析等方法论基础,结合总体设计和架构设计的内容,提出城市综合管廊智慧运维的主要任务和关键技术。
关键技术涉及关键设施与平台、数据智能分析、业务融合等关系到城市综合管廊可持续发展的安全与经济性方面的内容。
运营模式应结合城市综合管廊的运营现状,对城市综合管廊的投融资渠道与主体、市场能力、产业链、项目资金来源、财政承受能力、使用需求、市场化程度、回报机制、风险管理等多个维度进行定性定量分析,确定城市综合管廊智慧运营模式,明确不同角色的职责分工、投融资方式及运营方式。
实施保障措施应包括组织、政策、人才和资金方面的需求,明确智慧运营的管控思路和运维措施。
1.2 技术架构
智慧城市综合管廊的技术架构是建立在城市综合管廊业务框架(图6-3)和知识管理基础之上的,其中业务是实现智慧城市目标的基础,知识管理是手段和方法,其目的是实现最优的城市综合管廊全寿命周期的安全与经济指标。

图6-3 城市综合管廊业务框架
智慧城市综合管廊的业务框架是建立在信息技术(IT)能力基础之上的,包括业务目标、业务单元、业务交互和IT能力四个部分。
IT能力支撑了业务单元和业务交互,为业务的实现提供必要的IT技术手段和能力。
业务交互是建立在业务单元和IT能力基础之上,三者共同实现业务目标。
业务目标的服务对象包括政府、公众、投资者和管廊及管线单位。
IT能力是业务框架中核心的部分,包括数据服务融合、计算存储、网络通信、物联感知四个层次的技术能力,并且以IT的建设运维和安全保障为支撑,通过数据与服务的融合实现了城市综合管廊设施、人员与业务的有机联系和整合。
智慧城市综合管廊的知识管理(图6-4)包括知识管理平台层和领域知识模型层。
知识管理平台层是知识管理的实施层,包括城市综合管廊相关领域的知识库,以及基于知识库形成的知识管理、获取、整理、挖掘、推理等关键共性技术。
领域知识模型层,主要包含智慧城市综合管廊各个领域中的概念、概念的属性以及概念之间的关系所构造的领域知识模型及支撑领域知识模型构造的共性技术。
领域知识模型包括跨领域的核心知识模型和特定领域的知识模型两个层面,底层是跨领域的核心概念模型,定义了跨领域的核心概念以及概念之间的关系,用于支持特定领域的知识模型构造(例如安全与经济性评价),同时也为不同类型的城市综合管廊领域知识之间的互通和互操作提供了基础。
基于底层核心概念模型,补充各个领域中的特定知识,则可以扩展定义各个特定领域的城市综合管廊知识模型,各个城市综合管廊可以基于领域知识模型,扩展知识实例,从而构造各自的知识库。
知识模型的构造技术包括知识模型的表示和演化技术。知识表示技术用于支持知识的形式化表示与描述。
知识的演化则是探索知识模型持续演化规律和统一的演化管理过程,研究领域知识模型持续演化的质量评价以及质量保障措施,保障领域知识的可用性和时效性。

图6-4 智慧城市综合管廊知识管理
与传统的统一监控和管理平台的设施监控与管理建设目标不同,智慧城市综合管廊是以城市综合管廊全寿命周期信息化整体建设为目标,从信息通信技术的角度,根据城市综合管廊实际需求来构建5个层次与3个支撑的技术架构体系,图6-5给出了智慧城市综合管廊的技术架构体系。

图6-5 智慧城市综合管廊技术架构
物联感知层主要以物联网技术(包括各种工业物联网)为核心,通过身份感知、位置感知、图像感知、环境感知、设施感知和安全感知等手段以及执行器提供对城市综合管廊设施、环境、设备、人员等方面的识别、信息采集、监测和控制,使智慧城市综合管廊各个应用具有信息感知和指令执行的能力,主要由感知和执行设备构成。
感知设备是智慧城市综合管廊获取数据的主要方式,实现对城市综合管廊各个单元的全面感知、识别和信息的获取与采集,主要包括人员身份感知、位置感知、图像感知、环境感知、安全感知、设施和其他感知。
身份感知包括各种身份识别标签、传感器、读写器,具有对设施、设备、人员等单元进行统一身份编码、识别和管理的能力,并支持有线或无线网络传输协议。
位置感知设备支持通过卫星、移动通信网络、无线网络等定位技术,能够对设施、设备、人员等进行地理位置定位以及实时或非实时的跟踪和追溯。
图像感知设备主要是利用各种图像传感器对设施、环境以及人员等信息进行感知并对图像采集数据进行数字化编码。
环境感知设备具备采集城市综合管廊各种有毒气体、温湿度等环境信息以及颗粒物浓度、噪声及污染物等的环境污染信息。
安全感知设备主要用于感知结构垮塌、积水、有毒气体、燃气泄漏、火警以及其他涉及设施及城市公共安全的信息。
设施感知设备用于采集管廊本体、管线及其附属设施的运行信息。
其他感知设备主要用于支撑上层应用相关的信息和数据,可能来自管线单位以及智慧城市的感知系统。
执行设备是用于对城市综合管廊设施、设备、环境、人员等要素进行管理和控制的执行器,使得城市综合管廊具有根据应用或指令进行自动或手动控制的能力。
城市综合管廊的典型执行设备包括供电设施、通风设施、排水设施、消防设施、报警设施、智能巡检机器人以及各种阀门和电子门锁等。网络通信层连接感知设备和应用终端,分为公共网络和专用网路。
公共网络包括互联网、电信网、广播电视网等,涵盖了有线网络、无线网络和骨干传输网络。
专用网络用于连接分布式的计算和虚拟化计算与存储的网络,以及设施、人员和设备信息连接的现场总线等网络,包括有线网络和无线网络。
网络应支持自动上线、配置和远程实时管理与维护,采用高可靠性设计。
计算与存储层由软件资源、计算资源和存储资源构成,为城市综合管廊提供数据存储和计算以及相关软件环境资源,保障上层对数据的需求,包括集中式与分布式两种,并提供数据保护功能。
软件资源是城市综合管廊各种应用所需的基础软件,包括操作系统、数据库系统、中间件和资源管理软件以及各种智能分析算法软件等。数据与服务融合层包括数据来源、数据融合和服务融合三个部分。
数据来源包括感知设备的数据、业务和其他应用及网络的数据,例如BIM、GIS数据。
数据融合是根据智慧城市综合管廊的应用需求,融合物联感知层和应用系统的数据,实现数据挖掘分析,包括数据的采集与汇聚、整合与处理、数据挖掘、数据管理与治理等。
数据的采集与汇聚支持结构化、半结构化和非结构化的多源异构数据,并对采集过程和采集对象进行管控。
数据整合与处理主要实现数据的抽取、转换和加载,并对非结构化的数据进行识别、提取和标注。数据挖掘主要是利用统计分析、机器学习、文本与视频分析等方法和工具实现数据的描述性分析、诊断性分析、趋势性分析和因果分析等,提供可视化的表达工具。
数据管理与治理提供元数据的管理能力,提供数据质量、全寿命周期连续性数据管理,支持数据质量规则的定义和用户指定明确的数据管理策略、过程和活动,实现数字内容的可追溯、可关联、可识别。
服务融合支撑了城市综合管廊应用的基础技术服务,包括服务聚集、服务管理、服务整合和服务使用。
服务聚集主要是接入各种服务,并对服务进行监控管理,包括业务流程的编排、通信协议的转换、服务的定时启动和事件启动。
服务管理包括服务的目录、注册、审核、发布、注销以及启动和停止功能。服务整合可实现服务的路由选择和业务流程编排功能,支持顺序、循环、条件和异常处理等。
服务使用主要是指向上层应用提供开放接口的功能,通过接口对各种资源进行使用、控制、分析和管理,包括对数据的读取、存储、修改和删除,这些接口包括鉴权、使用、管理和查询接口。
应用层主要是智慧城市综合管廊的各种业务目标,能够接入智慧城市的各种资源和服务。
应用层主要是智慧城市综合管廊的各种业务目标,能够接入智慧城市的各种资源和服务。
全寿命周期管理体系包括城市综合管廊规划、设计、建造、运营和退役全过程项目的策划、实施、检查与改进体系,并建立相关的标准与规范。
安全与经济性保障体系主要遵循城市综合管廊全寿命周期各个环节的国家和行业安全与经济性相关的管理标准与法规。
1.3 统一管理与信息服务平台
统一管理与信息服务平台是实现智慧城市综合管廊共享数据和服务的统一接入和访问,提供各项应用开放所需数据与服务能力的信息系统。
与传统的管理平台不同,智慧城市的统一管理与信息服务平台侧重数据与服务的融合,突出的是信息能力的建设,业务流程更加优化,管理效能能够持续提升,安全和经济性水平能够得到保障,图6-6给出了统一管理与信息服务平台的总体功能框图。

图6-6 统一管理与信息服务平台总体功能框图
信息设施的接入包括管廊、管线等设施监控设备、智能巡检机器人以及环境、人员感知设备,将设备接入平台时应对接入设备的身份进行识别并进行必要的访问控制,确保接入平台不会危害信息系统安全。
设施管理主要包括城市综合管廊的设备的信息、诊断和监控管理。数据上报主要是将采集的数据上报给平台。
指令下发用于将指令传递给设备侧,实现对设备的控制。
消息推送主要是平台提供根据用户权限定制可推送的城市综合管廊设备及设施的相关信息。
数据支撑包括数据的采集、存储与加工。数据的采集包括结构化和非结构化数据,支持批量数据、准实时数据和实时数据采集、导入导出、交换和任务调度,可以采用自动、手工上报,文件上传,接口调用等采集方式。
数据的存储应支持海量数据的分布式不同维度存储、加密和文件系统的操作,提供快速检索、查询服务。
数据加工包括数据建模、数据抽取、清洗、转换、可视化与分布式处理,支持数据挖掘算法和各种数据分析的能力,如统计分析、机器学习算法。
环境支撑主要是指实现智慧城市综合管廊业务所需的数据库、中间件及应用管理的要求。
数据库需要考虑多源异构数据的共享,支持关系数据库、数据仓库等多维度分布式数据存储方式,支持大规模数据的并行处理。
中间件包括终端显示、数据访问、远程调用、消息等的中间件。应用管理主要是对应用的全寿命周期进行管理,包括应用的建模、编排部署、资源调度、监控自愈等。
数据管理包括数据的目录、建模、元数据、整合和关联等功能模块。
数据目录的管理是根据不同的应用主题,对数据进行分类,包括类目名称、编码等分类管理方式,支持元数据与目录编制、发布与维护等管理手段。
数据建模包括物理、概念和逻辑建模,是确定数据及其相关过程、定义数据、验证数据完整性、定义操作过程、选择数据存储技术等过程。
元数据管理包括对元数据的获取、存储、质量、责任、权限和监控进行管理和处置。
数据整合是利用多源数据融合分析的方法对多源数据在一定准则下进行自动分析、综合以完成所需的决策和估计任务。
数据关联包括静态与动态数据的关联,能够查找存在数据之间的频繁模式、关联、相关性和因果结构。
服务管理包括服务目录、聚集、全寿命周期、整合、使用、评价和交互等功能模块。
服务的目录管理主要采用分层目录结构进行统一的服务目录视图管理。
服务聚集提供通信协议适配转换、服务的目录、业务服务流程的编排和路由选择以及服务监控功能。服务全寿命周期管理包括服务的注册、审核、发布、启动/停止和注销等全过程的管理。
服务整合包括服务路由选择及流程编排、全局参数配置、服务节点注册与退出、节点身份的辨识与分布式协调、同步与一致性处理。
服务的使用包括提供鉴权、接口、权限、隔离、熔断以及对使用过程中的运行状态、信息进行统一管理。
服务评价包括服务审计和服务影响评价,以及对服务资源访问、数据资源下载、事件和日志等审计信息的汇总、查询和备份,根据服务间的依赖关系,对服务变更和退出给其他服务造成的影响进行分析和评价。
服务交互应提供服务寻址、组件通信以及协议转换等功能,实现服务间的互联和通信,为服务间的交互提供信息的载体,提高异构服务间的兼容性。
数据资源是平台接入并对需求者开放的数据类资源,包括管廊在线监控、巡检机器人、管线生产单位以及政府单位的数据,不限于通过物联网采集的数据,提供数据资源的查询、浏览、下载以及数据服务和数据算法的注册与管理,支持大数据的二次开发接口或开放的API。
API资源包括应对聚集的数据集工具、模型等服务资源进行加工形成的API,支持使用者接入并由平台统一管理和调度。
微服务资源是对聚集的数据、工具、模型等资源进行加工,按照应用场景对资源进行融合,形成具有独立功能的微服务,包括提供可视化接口以及满足平台的要求。
能力开发包括资源授权、确权、网关和门户展示、流通管理、开发运行环境。
资源授权是指将数据及服务管理方提供的数据及服务给第三方使用时,应经过授权才可以提供相应的服务,并具备灵活的控制结构和良好的扩展性与稳定性以及多种授权方式,如远程、行政审批等。
资源确权包括数据所有权、管理权、使用权、处理权、知晓权、隐私权等的确权,支持确权的登记、管理、追溯。
资源网关提供API、微服务、SaaS服务等资源管理,包括合法性校验、流水记录、黑白名单管理、鉴权、访问控制、动态路由等功能。
门户展示提供了数据资源、API资源、微服务管理和其他资源的统一接口的分类展示与资源的可视化操作,包括资源的增加、删除、检查和修改。流通管理包括资源共享、开放、交互等功能,提供资源需求、数据供应的发布和交互。
开发环境提高API、微服务、SaaS服务等开发与数据建模、可视化设计等,兼容C/S、B/S架构,支持XML、SQL等多种格式输出。
运行环境包括提供API、微服务、SaaS服务运行、模型与算法所需存储与计算资源,具备运行容器、缓存机制和安全防护机制等功能。
随着物联网、云计算等技术发展,信息基础设施的配置和建设向着更加灵活的方式发展,尤其是云存储和云计算,图6-7给出了基于物联网与云计算的智慧城市综合管廊统一管理与信息服务平台的典型架构,它包括智能巡检机器人以及人工采集与传统设施监控的传感器数据,利用云计算平台和边缘计算平台实现对城市综合管廊数据与服务的融合。

图6-7 基于物联网与云计算的智慧城市综合管廊统一管理与信息服务平台体系架构
2 数据与服务融合
数据与服务融合是智慧城市综合管廊的主要特征,也是信息技术促进城市综合管廊安全与经济效益提升的技术手段,尤其是大数据、云计算以及机器学习等智能技术的应用,不断促使城市综合管廊发展模式的革新和进步,典型的应用就包括时空大数据以及多源异构数据的融合与分析。
多源异构数据的融合分析使得知识挖掘的成本和效益得到提升,引发并支撑了城市综合管廊相关服务的融合,服务的融合会提升城市综合管廊全寿命周期安全水平与管理效率,从而降低城市综合管廊全寿命周期的成本,形成可持续绿色发展。
2.1 时空大数据
所谓时空大数据是指按照统一时空基准序化的结构化、半结构化和非结构化的大数据及其管理系统。
城市综合管廊建设与运维阶段BIM、GIS数据融合技术应用推动了城市综合管廊时空大数据技术的发展。
城市综合管廊时空大数据是智慧城市综合管廊不可或缺的部分,也是智慧城市时空基础设施的重要组成部分。
图6-8给出了以物联网云计算平台构成的时空云信息平台为基础的城市综合管廊时空大数据应用与保障体系。

图6-8 智慧城市综合管廊时空大数据设施与信息平台
智慧城市综合管廊的时空大数据应用是建立在信息化的时空信息设施基础之上的,这些时空信息设施包括时空基准、时空大数据、时空信息云平台及其支撑环境。
图6-9给出了城市综合管廊时空信息设施的组成。

图6-9 城市综合管廊时空信息设施组成
时空基准是时空大数据在时间和空间维度上的基本依据,其中时间基准主要采用公历纪元和北京时间。
时空大数据主要包括历史时空数据、智能感知数据、空间规划数据、管理分析系统和数据引擎。
历史时空数据是反映历史和现状等时间特征的基础地理及空间位置信息数据,包括:
城市综合管廊BIM模型数据、
测绘产品数据及其元数据、
影像数据、
城市历史时空数据等,
测绘产品数据包括:
全景、可量测实景影像数据、激光点云等综合管廊地下空间及地理位置数据,
城市历史时空数据包括:
城市综合管廊相关区域和设施的时空位置数据,主要用于城市综合管廊政府规划、建设、运营、退役以及应急中涉及政府及公众安全相关的监管与决策。
智能感知数据是具有时间标识的即时数据,包括各类专业空间位置传感器感知的实时数据及其元数据,如人员实时位置信息、现场视频影像监测数据、管线与管廊空间监测数据。
空间规划数据是反映未来城市综合管廊发展规划的数据,包括城市用地、管廊及管线规划数据。
数据引擎的目的是为了满足高并发、大数据量下的实时性要求,实现时空大数据的统一管理,支撑云服务系统。
管理与分析系统包括数据输入与输出、接收与调取、动态更新、处理、可视化、智能分析、安全管理等功能,为各种时空数据的综合应用提供集成环境和数据服务。
时空信息云平台包括服务资源池、服务引擎、位置地理引擎、业务流与知识化引擎以及相应的云服务系统。
以计算存储、数据、功能、接口和知识服务为核心,形成服务资源池,建立服务引擎、位置地理引擎、业务流引擎和知识化引擎,连同时空大数据的数据引擎,通过云服务系统,为各种业务应用提供时空大数据支撑和服务。
时空大数据的服务资源池包括计算存储、数据、功能、接口和知识服务功能。
计算存储具有宿主和弹性分配服务,提供高可靠的云服务,支持宿主服务能够寄存用户数据和开发的系统,且可部署在云上,利用云操作系统,按需动态分配资源,提高资源利用率。
数据、功能与接口服务主要是围绕时空数据进行实时位置和感知信息服务、数据的权限管理、查询、加密以及为应用程序提供数据解析、感知分析等接口服务。
知识服务主要是利用智能分析技术开展时空大数据的智能分析,发现时空数据中隐藏的规律和隐形联系。
云服务系统依托地理位置、业务流和知识化等数据与服务引擎,围绕时空数据的服务与数据资源池,实现时空数据的智能化应用和按需服务,并提供时空信息设施的运维管理和数据同步服务功能。
时空数据的应用需要建立在一定的支撑环境之上,包括相关的政策、标准与规划以及云计算与存储环境的建立和安全运维管理能力。
目前,围绕城市综合管廊时空数据的应用还处于初级阶段,主要围绕BIM、GIS以及各种视频数据开展应用,在数据与业务应用层面,缺乏系统性和协调性,难以构建面向政府、管廊以及管线单位的全寿命周期的时空大数据应用,其主要原因在于时空大数据的支撑环境还不完善,不利于与智慧城市融合发展,利用智慧城市的信息技术设施资源,降低城市综合管廊时空大数据应用难度和实现成本。
2.2 数据的融合
数据的融合是智慧城市综合管廊的典型特征,也是大数据、机器学习等信息技术在智慧城市综合管廊的主要应用方向。
它是建立在数据资产和开放共享业务需求与技术要求基础之上,包括数据采集、数据描述、数据组织、数据交换与共享和数据服务五个部分,体现了从原始数据产生数据资产,从而将数据转化成信息和知识的应用过程。
图6-10给出了数据的融合概念模型。

图6-10 数据的融合概念模型
数据的描述、组织和交换与共享实际上是多源异构数据建模与分析的过程。
数据的融合恰好是城市综合管廊数据资产的形成过程,包含城市综合管廊的数据以及数据融合过程中的其他信息,包括数据的编码、数据元素描述规范和数据的全寿命周期管理。
数据采集主要是利用机器人、人工、在线监测系统等设备或方式获取城市综合管廊全方位的数据,采用质量保证的方法并对数据进行清洗、转换,然后输入到数据资产中,保障数据的真实性、完整性、可用性、可追溯性和可靠性。
数据描述的过程实际上是数据建模的过程,包括结构化数据源和非结构化数据源的建模。
结构化的数据源可以直接采用数据模式进行建模。
非结构化的数据源可以采用非结构化建模的方法构建非结构化数据的表示规范,根据描述抽取数据模式,将数据源和数据模式汇聚到数据资产中。
数据组织主要是对数据源进行分类形成词汇表。
它是建立在数据源的实体关系描述和参考的标签库基础上的,对数据源中的实体进行分类并生成词汇表的过程。
数据交换与共享是对多源数据进行统一管理和分析,是建立在信息设施平台基础上,利用各种融合分析模型对数据资产进行知识挖掘的过程,包括描述性分析、预测性分析、因果分析、故障诊断分析、安全与经济性评价分析等知识模型,也是大数据、机器学习等信息技术应用的主要方面。
数据服务主要是围绕业务需求对外提供数据资产的数据、信息、知识检索和可视化等。
它是建立在开放共享数据的技术要求和规范基础之上的,包括数据质量、安全等方面的要求,目的是满足政府、公众、投资者、管线以及管廊等用户对数据的业务需求。
2.3 服务的融合
服务的融合是智慧城市综合管廊的主要目标和典型特征之一,也是利用信息技术降低城市综合管廊全寿命周期管理成本,提升安全与经济性的主要手段。
它与数据的融合构成了各类城市综合管廊智慧应用的基础。
服务的融合是建立在信息设施和数据的融合服务基础之上的,本质上是信息技术。
图6-11给出了面向服务的体系架构(SOA)应用模型。

图6-11 SOA应用模型
城市综合管廊服务融合的目标是实现城市综合管廊全寿命周期设施管理业务,核心是SOA应用的服务分析与设计,包括业务公共服务、支撑技术与服务和相关的SOA资源,如图6-12所示。
智慧城市综合管廊信息化基础设施和服务质量、安全和治理构成了服务融合的支撑环境。

图6-12 基于SOA的服务分析与融合设计过程
目标建模的目的是要解决城市综合管廊设施管理中存在的问题,根据智慧城市综合管廊的目标和业务中存在的问题,确定业务目标,并将业务目标作为服务分析的起点。
降低全寿命周期设施运维成本,确保人员、设施和管线的安全,增强防灾减灾应急处置能力是城市综合管廊设施管理的主要核心业务目标。
职责、流程和数据的建模是围绕业务目标关键业务场景,了解组织结构,确定岗位职责,并逐个分析业务场景,梳理确定业务流程,建立数据模型,获取业务流程相关的数据需求。
业务服务分析是在职责、流程和数据的建模基础上,分析当前和未来业务发展需求,关注当前的组织结构、业务流程和数据情况,并考虑未来业务模式和所需的业务服务集。
系统服务分析是建立在当前系统提供的核心业务和数据基础之上的,目的是从系统的角度识别需要补充的服务。
服务识别与筛选主要是去除业务流程、功能及数据中不适合通过信息基础设施提供的服务去实现的部分,目的是确定服务融合设计的服务集,并形成迭代优化的过程。
服务融合设计根据分类、管理识别出的服务集,逐个定义服务,确定服务接口、协议和实现矩阵,用于开发具体的业务并将服务部署到信息基础设施之上。
面向SOA的服务融合技术的实现主要涉及服务的描述、注册与发现、服务的管理、数据服务接口、服务集成开发、服务交互通信、服务编制和身份管理服务。
服务描述包括服务的基本描述、功能描述、非功能描述和统计特征描述。
服务的注册与发现主要用于服务的使用者、提供者、服务注册中心之间的交互。
数据服务接口包括数据的发布、订阅、通知和获取以及数据发布端、接收端实现方案。
服务的管理包括服务资源管理、服务访问管理、服务监控管理和服务评价管理4方面内容。
服务的集成开发包括业务服务开发和支持服务开发,以服务构件为基本元素,主要完成服务的实现、属性、接口、绑定、构件组合等功能。
身份管理是建立在实体、身份、属性及其关联关系基础上的,包括服务相关的实体、服务提供者与使用者,使用请求应答模式和身份同步模式。
服务融合的过程实际上也是服务治理的过程,实质上是建立一种规则,用于关注服务的全寿命周期,确保服务的价值满足业务目标的要求,图6-13给出了服务治理过程中的主要要素。

图6-13 服务治理过程中的主要要素
服务治理是一个不断迭代的过程,包括服务的规划、定义、实施、验证和优化全寿命周期,与组织的目标、业务需求和流程密切相关,图6-14给出了服务治理的过程示意图。

图6-14 服务治理过程示意图
智慧城市综合管廊的服务是一个动态不断融合和治理发展的过程,推动这一过程的根本原因是政府、投资者、公众、管廊以及管线运营单位对城市综合管廊高效安全运行的目标追求,信息技术的进步和应用加速了这一过程。
因此,对于智慧城市综合管廊的服务过程,需要在智慧城市综合管廊信息设施基础之上,从技术和管理方面,建立一个动态优化的过程,使得运营服务模式能够适应城市综合管廊的发展,增强设施管理的安全与经济性水平。
3 智慧运维与策略优化
城市综合管廊的智慧运维是智慧城市综合管廊最核心的业务目标,直接影响着城市综合管廊安全与经济性指标,决定了城市综合管廊的可持续发展目标。
在城市综合管廊运维阶段,运行措施确保了城市综合管廊的基本安全水平,维护策略则决定了城市综合管廊的最高安全运行水平,也直接影响了城市综合管廊的运营成本,因此,围绕安全和经济性指标,开展城市综合管廊维护策略的优化,可以显著提升城市综合管廊的安全与经济性水平,达到智慧运维的目标。
3.1 智慧运维
根据城市综合管廊全寿命周期特点和经济性评价指标体系,运营阶段的经济性评价是影响城市综合管廊可持续发展的关键部分。
运维技术的进步可能会使运营阶段的成本降低,并使得运营阶段的收支达到平衡。
然而,一旦发生危害管线及管廊结构本体的重大事故,可能就会对城市综合管廊的运营带来巨大的财政赤字,使得政府、公众、投资者、管廊及管线单位等各方的利益受到重大损失。
为了避免重大安全事故对城市综合管廊可持续发展产生不利影响,保障各方的经济利益,需要利用先进的技术手段来防止重大事故的发生,包括利用智能技术加强对设施的监控,优化维护策略确保设施的安全运行。
运营阶段的经济性优化策略必须要建立在安全目标达成的基础之上,围绕影响成本的主要活动进行优化,包括各种预防性维护策略。
根据智慧城市综合管廊顶层设计和技术架构,围绕统一管理与信息服务平台,利用大数据与数据挖掘分析等信息技术,根据城市综合管廊运营业务和目标,开展数据与运营业务服务的融合,提升城市综合管廊运维效率、安全和管理水平,是城市综合管廊智慧运维的主要目标和内容。
此外,运行和维护也关系到管线单位与政府的监管和城市公共安全应急,且城市综合管廊地域分布的分散性和地下有限空间环境特性,使得城市综合管廊的运维面临内外部业务数量和接口多,信息设施建设和业务与数据管理复杂等问题。
由于智慧城市综合管廊是智慧城市的重要组成部分,应从智慧城市的角度来构建城市综合管廊的智慧运维体系,图6-15给出了基于数据和业务融合的分布式城市综合管廊智慧运维的体系架构,其特点是从城市综合管廊地域分布和运营管理的隶属关系出发,采用集中与分布式技术相结合的方式,利用城市综合管廊与智慧城市的信息基础设施来构建城市综合管廊的智慧运维体系,并根据业务与数据的实时性要求建立网络通信设施架构与共享模式。
管廊运营单位建设城市综合管廊智慧运维技术体系时,需要结合管线单位和智慧城市的建设现状,充分利用已有的信息基础设施,来构建城市综合管廊的智慧运维平台,并利用规划、设计以及建造阶段的数据,根据运维业务构建数据驱动的运行和维护模式。
城市综合管廊智慧运维实质上是建立在不同层级的信息物理融合系统之上,通过数据驱动、软件定义、泛在连接、虚实映射、异构集成以及系统自治等构建城市综合管廊运维新模式,图6-16结合智慧城市综合管廊架构,围绕统一管理平台信息设施,给出了城市综合管廊智慧运维总体技术架构。

图6-15 城市综合管廊智慧运维体系架构

图6-16 城市综合管廊智慧运维总体技术架构
城市综合管廊物理对象的运维监控和管理是城市综合管廊智慧运维的核心现场业务。
管廊运营单位的区域监控和管线单位的生产监控以及政府的监管和应急构成了城市综合管廊智慧运维的远程业务。
现场和远程业务构成了城市综合管廊智慧运维的核心业务目标,其目的是确保城市综合管廊的安全、经济运行。图6-17给出城市综合管廊智慧运维的主要核心业务的组成部分。

图6-17 城市综合管廊智慧运维主要核心业务
运维监控和运维管理是现场业务的主要内容。现场运维监控包括对管廊、管线、通风、排水、消防、照明、通信、机器人等设施以及温湿度、积水、气体(可燃与有毒气体)人员与视频环境的监控,是现场运行业务的核心内容。
现场运维管理包括运维活动和人员、资源以及运维品质的管控,主要的运维活动包括巡检、监控、维护和应急,人员管控包括人员出入口管理、人员身份与授权管理等,资源管控包括运维活动中需要的工器具、原材料等的管理,安全和质量管控主要是为规范运维活动过程,采用的一些管理措施来确保设施人员安全与运维质量,例如安全设施的审批和运维活动的记录等。区域监控、管线生产监控和政府监管应急是远程业务的主要内容。
区域监控实现对现场重要设施和活动的监测和管理,围绕监测、业务规划、计划、备件、应急以及入廊管线对所属城市综合管廊(可能包括若干城市综合管廊)进行综合管控,并利用信息化技术开展质量、安全、经济、业务等评估、知识管理和策略优化。
管线单位根据管线生产运维以及应急业务的需要,开展监测、维护和应急联动业务。
政府根据监管和应急要求,实现管线与管廊区域监管之间的运营监管、应急监测、联动与决策业务。
统一管理平台信息设施主要包括泛在连接网络、计算与存储资源、交互终端以及数据与算法资源。
泛在连接网络用于将现场感知控制层与分布在不同区域或系统的信息设施资源与业务交互终端进行连接,包括各种现场总线、工业以太网、公共网络等物联网技术。计算与存储资源可以是传统的计算和存储服务器资源,也可以是云计算与云存储资源。
数据与算法资源包括BIM/GIS时空大数据、监测、运行、维护等领域的数据和知识,以及各种信息融合分析算法与工具,是构成数据驱动的智慧运维模式的关键要素。
交互终端用于将业务和数据进行可视化,实现与业务人员的交互。
这些资源一般根据业务聚集的情况,采用分布式的布置策略,主要分布在现场集控中心、区域监控中心和管线与智慧城市信息基础设施中。
现场感知控制层用于对城市综合管廊物理对象进行监测和控制,这些物理对象包括设施和环境,设施包括管廊、管线以及管廊相关的附属设施如通风、排水、消防、通信、标识、门禁等,环境包括内部地下空间的温度、空气质量和人员。
现场感知控制层的存储与通信设施也是城市综合管廊智慧运维信息基础设施的一部分,但是这些信息基础设施仅仅提供单元级的信息感知与融合处理,也包括各种边缘计算与存储资源,例如智能巡检机器人的控制单元。
3.2 运行策略优化
城市综合管廊运行策略优化的目的是发现城市综合管廊系统与运行过程中的安全隐患和不足之处,提升城市综合管廊运行安全水平和经济性。
利用数据驱动,发现城市综合管廊全寿命周期运行相关的数据中蕴含的知识和规律,采用安全与全寿命周期成本分析的方法动态地对运行安全与经济性指标进行优化,合理确定城市综合管廊智慧运维的安全与经济性指标。
运行策略的优化是建立在对城市综合管廊全寿命周期运行状态的识别与评估基础之上的,通过利用多源数据融合分析的方法,采用智能的大数据与机器学习和知识管理的方法对城市综合管廊运行状态进行识别和故障预测,对运行中的风险和成本进行评估,并根据安全与经济性指标开展运行策略的优化。
运行策略的优化是建立在运行策略空间的建模和优化算法基础之上的,根据城市综合管廊运行业务、模式和系统设计配置情况,对可能的运行策略进行分析建模,围绕运行系统、状态规程、巡检程序以及管理方法开展安全与经济性评估和优化。
通过优化过程,识别运行过程中的薄弱环节,并制定相应的措施,确定运行系统的改造方案,并修订相关规程、程序,完善运行业务模式。
图6-18给出了城市综合管廊智慧运行策略优化的过程和主要内容。
随着智能巡检机器人的应用,城市综合管廊的运行监控和巡检策略逐渐向地下空间的无人巡检发展。
由于机器人的巡检与在线监控、人工巡检在功能上的重叠和补充,无人巡检模式的发展需要机器人与在线监控系统以及运行管理模式的相协调,避免智能巡检机器人技术无法提升运行的经济和安全效益。
图6-19给出了智能巡检机器人应用评估的过程。

图6-18 城市综合管廊智慧运行策略

图6-19 智能巡检机器人应用评估过程
机器人的安全与经济性目标和城市综合管廊运行系统与模式的相互协调,决定了智能巡检机器人在城市综合管廊中的安全与经济效益。
机器人的安全与经济性目标需要建立在城市综合管廊全寿命周期安全与经济性评估基础之上,并考虑机器人替代人工巡检的经济收益与数据获取质量对安全指标的提升作用,从而为巡检模式、在线监测系统与运行管理模式的优化提供数据支撑。
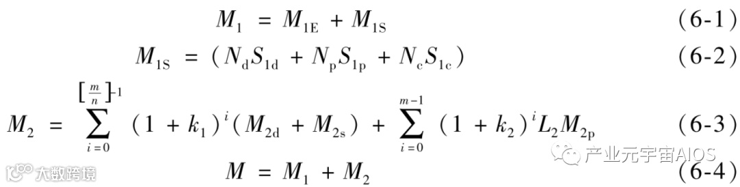
在经济性评估上,可以采用式(6-1)~式(6-4)估算全寿命周期机器人投入成本。

式中,M表示机器人成本;
M1和M2表示建造和全寿命周期运维阶段机器人成本;
N为建造阶段服务承包合同金额;S1为合同费用占比;
下标E表示设备部分,S表示服务部分,d表示设计阶段,p表示采购阶段,c表示建造阶段,2p表示人工;n表示机器人平均寿命;
m表示综合管廊设计预计运维寿命;
k1和k2分别表示设备与人工成本平均增长因子;
L1表示人工作业所需人员数量;
L2表示机器人作业所需人员数量。
根据作业机器人功能及效率分别评估替代人工作业的有效性k(0<k≤1)和替代人工作业数量l=L1-L2,k=L2/L1,考虑人工成本的增长,m年机器人获得的总收益如式(6-5):

用p表征投资回收期,计算公式如式(6-6):

由于机器人作业对安全上的收益无法用经济性指标进行评估,以机器人替代人工作业带来的人员安全风险降低以及系统安全性能提升为评估依据,采用如下定量模型评价机器人的安全效益。

式中,k3、k4是权重系统,且属于[0,1];q1是人员安全风险减少率;
q2是安全指标提升率;
可详见式(6-8)、式(6-9)

若q1和q2为负值说明机器人作业既不能减少人员安全风险,也不能提升系统的安全水平,显然在实际应用中q1和q2都为正才能带来显著的安全效益。
q1p与q1e来自经验数据,可以通过统计估算每年的安全事故数量来计算,分别表示人和机器人作业的统计安全指标。
若初始无经验数据,可用机器人替代人工作业的有效性k来估算,此时q1=1-k。
q2p是人工作业情况下系统安全评估值,q2e是机器人作业系统的安全评估值,它与作业机器人的功能和使用策略相关。
q2p与q2e由系统的定量安全评估模型计算确定。
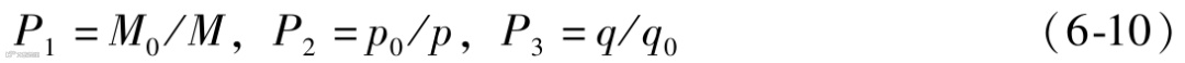
根据机器人投入成本、投资回收期及安全效益定量评价综合管廊作业机器人经济性。
确定机器人作业项目期望的投入成本M0、投资回收期p0以及安全效益q0,计算归一化的投入成本P1,投资回收期P2和安全效益P3,可详见式(6-10):

则机器人的经济性评价指标

,其中0<f≤1,为权重值。
若P>P0,P0为期望指标,表示机器人作业有较大的经济性,超过了预期的经济性目标,反之表明作业机器人的经济性较差。
此外,通过确定机器人对城市综合管廊安全目标的作用,来评估和优化运行系统安全目标和系统设计,降低冗余的监测功能,可以进一步降低在线监控系统的运维成本,例如降低固定式摄像头的数量。
3.3 维修策略优化
维修是城市综合管廊运营管理之中除运行监控外最重要的活动,维修策略和质量直接关系到城市综合管廊的安全和经济性。
企业用于设施维修的成本巨大,一般占到总支出的15%~70%。
因此,随着企业面临降低生产成本的压力,在确保安全的条件下尽可能减少维修费用是企业实现可持续发展的重要途径之一,也是城市综合管廊智慧运维需要实现的重要目标。
维修一般分为事后维修和预防性维修,其中预防性维修又可以分为定期维修和视情维修。
定期维修也是计划性维修,是目前应用广泛的一种维修方式。
目前,城市综合管廊的日常维修主要采用计划性维修,通常分为大修和小修,大修的周期比小修的周期长。
这种维修方式虽然可以节省维修成本,提升系统的可靠性和可用度,但是容易忽视系统的差异,导致盲目维修或过度维修。
由于视情维修是根据系统实际劣化程度(健康状态)来安排维修,能够避免不必要的维修工作实现精准维修,随着大数据分析等技术的进步,这种维修方式能够避免计划性维修的不足,并进一步提升维修活动的经济性与安全性水平,得到了快速的发展。
图6-20给出了城市综合管廊维修策略优化的过程。
城市综合管廊的安全与经济性目标决定了维修策略及其优化,智慧城市综合管廊运维策略是建立在信息基础设施基础之上的,采用数据与知识融合的方法进行维修策略的建模和动态优化。
由于智慧城市综合管廊提供了数据与服务融合的基础,维修建模与目标优化成了维修策略优化的关键。

图6-20 城市综合管廊维修策略优化
维修建模的过程实质上是维修策略建模,建模过程也是数据与知识融合的过程。从20世纪60年代开始,人们基于预防性维修理念提出了数以百计的维修策略。
由于设备故障与事故的发生具有随机性,多数维修策略都是根据运行时间或设备失效情况进行维修决策,视情维修或者精准维修的策略很少。
常用的策略包括寿命更换策略、成批更换、故障限制、维修限制、视情维修等。
这些策略方法的构建是建立在可靠性分析、安全分析以及不同的建模理论基础之上的,例如马尔科夫链、概率论、Gamma、Poisson过程等。
单一维修策略难以满足智慧运维的技术要求,随着元学习与大数据分析技术的发展,对不同的维修策略进行知识融合处理,构建复杂维修模型是解决维修策略优化的重要技术手段,图6-21给出了城市综合管廊维修策略与优化的过程和方法。

图6-21 城市综合管廊维修策略与优化方法
由于城市综合管廊是由管廊、管线以及附属设施构成的复杂系统,复杂系统的维修策略优化本质上是多目标综合优化,维修策略的建模和复杂系统的可靠性与安全分析密切相关。
维修策略的优化不仅仅关系到设施的维修,还关系到运维管理活动,例如大修计划的安排和组织,备件采购和管理,维修策略培训等,其中备件的采购和管理是维修策略实施过程中除了维修本身之外可以大幅度提升运维经济性的环节。
由于城市综合管廊全寿命周期内维修活动的复杂性,单一维修策略往往具有一定的局限性,难以适应精准维修策略的需求。
因此,必须从安全和经济性角度,对维修策略进行融合分析,发挥不同维修策略的作用,从而实现降低运维成本,提升城市综合管廊设施安全水平的目的,此外对设施故障或事件进行分级管理,依据可靠性与安全分析结果,从故障或事件的后果来优化维修管理的效能,并根据设施状态监测、故障模式识别与预测数据采取不同的维修策略来优化维修管理活动,从而降低维修成本。

