
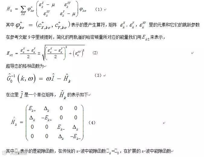
BiS2-基超导体中BiS2层状结构与铜氧化物超导体以及铁基超导体等非常相似,能带结构计算发现该系统具有很好的网状的费米面拓扑结构,因此,短程的磁涨落可能诱导了电子配对从而表现出非常规的超导电性;在这篇文章当中,我们使用在单一的非磁性杂质中的局域电子结构来证明BiS2-基超导体的对称性,以BiS2-基超导材料为研究对象,从两带的紧束缚模型出发,利用T矩阵近似和格林函数的方法,在弱散射和强散射情况下,考虑不同的掺杂浓度,考虑传统的s-波、扩展的s-波、s±-波以及
-波的配对对称性,研究单个非磁性杂质诱导的杂质共振态以及空间调制结构,为判断超导配对对称性提供理论依据,从而揭示其中的非常规超导机理。
作者信息:王亚利(北京交通大学理学院物理系)
2012年,日本发现了一种新的超导材料—BiS2-基超导体,这种新型的超导材料引起了较大关注,对于这类材料,超导电性首先是在Tc = 4.5K的Bi4O4S3上被发现的[1]。之后发现ReO1-xFxBiS2(Re =La, Nd, Ce 和Pr)也表现出超导电性,在LaO0.5F0.5BiS2中发现了最高的超导转变温度Tc = 10.6K[2,3]。这些发现说明在BiS2-基超导体中也会出现较高的超导转变温度。由此BiS2-基超导体再次引起了凝聚态物理超导研究领域的研究工作者的广泛关注[4]。
在对非常规超导体的实验研究中,BiS2-基超导体家族的许多新成员被发现,同时BiS2-基超导体的一些反常的物理性质也在实验中被发现,虽然关于BiS2-基超导体的配对对称性的理论研究有很多,但是始终没有得到一个确切的结论,而且关于BiS2-基超导体是常规超导体还是非常规超导体这一问题也一直存在着争论[5]。第一性能带原理的计算结果[6,7,8]表明BiS2-基超导体的费米面具有一个准嵌套的结构[9],而正是因为这种嵌套结构容易带来电荷密度波的(CDW)失稳;而且电子与声子的耦合也会进一步加强这种失稳,正是因为上述的情况,BiS2-基超导体被认为是具有完整能隙结构的传统的s-波超导体,而且实验上得出的超流密度和温度的关系曲线图像,也似乎证实了BiS2-基超导体是具有完整能隙结构的传统的s-波超导体的结论。但是,实验上的角分辨光电子能谱(ARPES)测量结果又表明,真实材料的在布里渊区的X点处的费米口袋比名义上正常填充的费米口袋要小的很多,这一结论就告诉我们费米面的嵌套是很弱的。而且能带的重整是很小的,这就暗示我们电子与声子的耦合是非常小的。这个结论和最近的一个中子散射实验得出的结论是一致的。另外在一个角分辨光电子能谱实验测量中也发现了这个小的费米口袋,同时测量的反常的低能谱函数与温度的依赖的关系,也印证了强的关联效应。此外,扫描隧道显微镜(STM)实验测量BiS2-基超导体得到的2A/^C的比值要比常规超导体的比值要大的很多,这就暗示着BiS2-基超导体很有可能是非常规超导体家族中的一员[10,11],一些理论研究认为关联效应在诱导超导的过程中产生了非常重要的作用。
正如高温超导体在理论上还没有被理解一样,BiS2-基超导体的物理起源也还不很清楚。但要需要明确的是,当电子的配对一旦形成而且出现宏观相干之后,超导体的物理性质似乎就与导致电子配对的具体的相互作用的形式没有关系,只要我们知道了电子配对的能量尺度(即能隙函数)和准粒子元激发的谱函数,就可以准确地预言这个超导体的热力学和几乎全部的动力学行为[12]。这就是在非常规超导体机理尚不清楚的前提下,我们依然能够对它们的物理性质进行讨论和准确判断的前提依据[13]。值得提出的是,能够正确的判断超导电子配对的对称性非常有助于我们分析和确定非常规超导体中的配对机理,从而建立起相应的非常规超导的微观理论模型。虽然传统的s-波,扩展的s-波,s±-波,以及
波等这几个有可能的电子超导配对对称性被提出[14,15],但遗憾的是由于缺少直接测量实验的验证,导致BiS2-基超导体中的电子的配对机制以及其电子配对对称性至今还是一个谜团等待我们去研究。BiS2-基超导体材料中的二维层状结构与高温铜氧化物超导体以及铁基超导体的结构非常相似[16,17],此外,能带结构计算结果发现BiS2-基超导体具有很好的网状的费米面拓扑结构,因此有可能诱导电子配对从而表现出非常规的超导电性的是短程的磁涨落[18];基于BiS2基超导体的意外发现,我们对其超导配对对称性的研究,并将其与高温铜氧化物、铁基超导材料等相比较,或许有可能揭示高温超导体的配对机制,为解释铁基和铜氧化合物的超导体出现的一些反常现象增加了希望[19]。
我们考虑传统s-波、扩展的s-波、s±-波以及
波的配对对称性,并利用杂质效应,研究单个非磁性杂质诱导的杂质共振态,为判断超导的配对对称性提供理论依据,从而揭示其中的非常规超导机理[20,21,22]。
2
理论模型与方法
第一性原理的计算结果显示,在BiS2-基超导体的这类材料的能带结构中,可以用一个简化的两轨道模型来拟合费米能级附近的能带,并且费米面有很好的嵌套性。而且这种嵌套性,与铁基超导体非常相似,理论上这种很好的嵌套性会导致材料中较大的自旋涨落或电荷涨落,从而表现出非常规超导体的一些超导电性。在这个简化的两轨道模型中,我们把它的哈密顿量写为:


在文章的讨论中我们认为单杂质散射的情况是完全局域的,其散射矩阵我们可以表示为:

在这里我们只考虑了带内散射效应忽略了带间散射,U为杂质散射势的强度;
LDOS的理论结果可以直接与STM实验测量得到的隧道谱相比较,从而有效准确地判断超导配对对称性。
3
计算分析
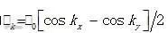
首先,我们考虑掺杂浓度x=0.55时
-波配对对称性,即
,再结合公式(2)中给出的能带色散关系,拟合出BiS2-基超导体的费米面拓扑结构,如图1所示,其中绿色线和蓝色线是杂化能带所围成的费米面,黑色线代表的是能隙节线结构,从图中我们可以看出当掺杂浓度x=0.55时,电子口袋和空穴口袋同时存在;同时我们也计算得到了与隧道电子谱测量定性一致的正常态和超导态下的电子态密度(DOS),如图2是x=0.55的电子态密度,我们发现正常态的DOS是呈U型结构,且在正负能量处出现了两个显著的散射峰,这正是强关联电子效应的体现;从图中我们看到
-波呈现出的是V型对称性的结构,这可能是由于超导能隙节线穿过了费米面,从而导致每个费米面上的超导配对能隙值发生改变,从而呈现出V型对称结构,而且在低能量时
-波出现了新的干涉峰,这正是双带结构特征的体现。

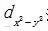
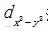
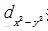
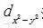
接下来我们讨论对低能局域电子态密度的影响,图3是掺杂浓度x=0.55时不同散射势下的
波的LDOS,包括杂质点的,近邻点的,次近邻点的,我们发现在杂质点的LDOS中(图3(a)),在费米能级左侧的负能量处出现了共振峰,而且随着散射势的增大,共振峰慢慢的向费米能级靠近,而且其峰值也在慢慢的减小,减小的原因可能是散射势太大使电子变少;在最近邻点的LDOS中(图3(b)),在正负能量处都出现了共振峰,而且随着散射势的增大,共振峰都在向费米能级靠拢,最终在费米能级附近汇合成一个峰值,而且随着散射势的增大,共振峰的峰值也越小;在次近邻点的LDOS中(图3(c)),共振峰的情况和最近邻点是相似的,但是峰值要比次近邻点小,这正是杂质散射效应的局域性特征的体现。

图3:x=0.55不同散射势下单个非磁性杂质诱导的LDOS,(a)是杂志点(IMP)、(b)是最近邻点(NN)、(c)是次近邻点(NNN)。
为了进一步清楚的分析杂质散射的效应,我们对杂质诱导的共振态的空间调制进行了计算,如图4是x=0.55时在强散射下u=-5时的杂质诱导的共振态的空间调制,图5是x=0.55时在强散射下u=-100时的杂质诱导的共振态的空间调制,杂质位于中心点(17,17)处,从图像中我们发现空间调制是四重对称的,而且对称的方向与
-波的能隙节线方向是一致的,从空间调制与局域电子态密度的结合看,BiS2-基超导体极其有可能是
波超导体,为了进一步确定BiS2-基超导体的配对对称性,我们可以用杂质诱导的共振态的空间调制特性去和STM实验相比较,从而可以帮助我们确定其配对对称性,帮助我们进一步理解非常规超导体的超导电性。

4
结论
我们以BiS2-基超导材料为研究对象,从两带的紧束缚模型出发,利用T矩阵近似和格林函数的方法,考虑不同的掺杂浓度,考虑传统的s-波、扩展的s-波、s±-波以及
-波的配对对称性,研究单个非磁性杂质诱导的杂质共振态以及空间调制结构,我们发现了低能共振峰会在杂质散射的情况下被诱导出来,而且从空间调制我们也可以看出其强烈依赖于超导能隙的节线方向,这些新奇的性我们可以由STM实验测量去验证,从而有助于确定BiS2-基超导体中的配对对称性,为判断超导配对对称性提供理论依据,从而揭示其中的非常规超导机理。


《中国科技信息》杂志公众号推出“科创百人”封面人物,报道对科技创新与科技转化做出显著贡献企业创新家、发明家、科研工作者、投资家,传播他们的个人事迹或品牌故事,引起社会广泛关注,营造科技创新氛围,塑造科技领军人物。

人物推荐、咨询合作事宜请联系
电话:13699204203或微信id:liangdianshenghuo
1元精品微课推荐
《全球品牌评价谁主沉浮》
点击识别下图中二维码,直接进入课程在线聆听


长按二维码,关注我们!
《中国科技信息》杂志社 主管单位:中国科学技术协会 主办单位:中国科技新闻学会 国内统一刊号:CN11-2739/N 邮发代号:82-415 在线投稿平台:www.cnkjxx.com 投稿电话:010-68003056/57/58
投稿、寻求报道、内容合作,请联系微信:liangdianshenghuo
杂志收录情况:
《中国知网》
《中国期刊核心期刊(遴选)数据库》
《中国学术期刊综合评价数据库(CAJCED)统计源期刊》《中国期刊全文数据库(CJFD)》
《中国科协、中国图书馆学会(解读科学发展观推荐书目)》

