夏至已至,招聘程序员,绝大部分公司的技术面都会有代码能力测试。招聘季不少公司甚至会进行在线编程测试,统一做题,自动评分,然后直接带走排名靠前的程序员,简单又粗暴,实用又高效。
这些题目的考点包括搜索、排序、动规、贪心……都是我们在数据结构与算法的课上打过交道的东东。然而,当这些知识点隐藏在题目里面的时候,你能够发现吗?
今天胖涵涵带大家看一套2018年北大的保研英语考试题,再次预习复习一下这些知识点。
此处插播一条广告:秘塔科技招人啦!
发送图片简历到公众号后台便有机会收获面试邀请。
A题:计算两个日期之间的天数
样例输入: 2008 1 1 2009 1 1 样例输出: 366
这是一道大一上的常规练习题,俗称签到题。本题没有算法上的考点,只是写起来较为琐碎。
解题分三步走:
先看两个日期之间相差的完整的年份,加365或366。
再看相差的完整的月份,加28或29或30或31。
再看剩下的不完整的月份,加上余下的天数。
闰年的问题随时都要考虑,题目已经提示我们闰年的计算方法:
if 能被100整除:
if 能被400整除:
return 闰年
else:
if 能被4整除:
return 闰年
B题:回文子串
给定一个字符串,寻找并输出字符串中最长回文子串。 回文串即从左到右和从右到左读都一样的字符串。 如果字符串中包含多个回文子串,则返回第一个。
样例输入:
ab
babadec
scdedcd
样例输出:
a
bab
cdedc
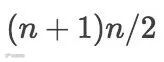
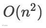
假设字符串长度为 n,则共有
个子串,再判断每个子串是否是回文子串,复杂度为
。
这里提供一个更高效的动态规划的解法:
令 F[i,j]表示从 i 位置开始长度为 j 的子串是否为回文串:如果是, F=1;如果不是, F=0。
递推式:
F[i,1] = 1
F[i,2] = (str[i] == str[i+1])
F[i,j] = (F[i+1,j-2] and str[i] == str[i+j])
最后在 F[i,j]中找到符合题意的解。
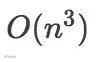
动规算法复杂度为
。本题写起来较为简单。
C题:投骰子
(题目很长,顺便考了英语。简化版题目如下。) 给一个包含几个骰子的图像,确定骰子上的点数,按升序输出。 假设图像仅包含三种不同的像素:背景,骰子,骰子上的点。 定义:
共边的像素是相连的,即对角的像素不算相连
仅由非背景像素组成的所有最大连通像素集是一个骰子,由骰子上的点像素组成的最大连通像素集是骰子上的一个点
样例输入:
..............................
..............................
...............*..............
...*****......****............
...*X***.....**X***...........
...*****....***X**............
...***X*.....****.............
...*****.......*..............
..............................
........***........******.....
.......**X****.....*X**X*.....
......*******......******.....
.....****X**.......*X**X*.....
........***........******.....
..............................
(看出来了吗?上图共有4个骰子,左上是2点,
右上是1点,左下是2点,右下是4点。)
样例输出:1 2 2 4
这是一道广度优先搜索的题目,推荐用队列实现。有些同学在面试的时候会给出深度优先的方案,然而一旦数据量变大,递归那么多层会内存溢出(俗称爆栈)。
好了我们已经知道了广搜,然而本题实现起来还是很麻烦。
第一步,计算有几个骰子。遍历像素点,遇到第一个非背景像素,标记为1号骰子,开始广搜和它相连通的非背景像素,全部标记为1。继续遍历像素点,遇到第二个未被标记的非背景像素,标记为2号骰子,开始广搜……
第二步,计算有几个骰子上的点。遍历像素点,遇到第一个骰子上的点的像素,做好已访问标记,开始广搜。检查和骰子上的点相连通的骰子号码,对应号码的骰子点数+1。继续遍历。
排序,输出。
D题:欧元效率
给定一系列硬币的面额,计算交易特定金额所需的硬币数量。我们认为每次交易使用的硬币数量越少越有效率。 举个例子,当硬币面额为1 2 5 10 20 50的时候,交易68元需要的硬币数量为3,即20+50-2=68。 每组给出6个面额,最小面额都是1,最大面额不超过100。 输出交易金额1到100所需硬币数量的平均值和最大值。
样例输入:
1 2 5 10 20 50
1 24 34 39 46 50
1 2 3 7 19 72
样例输出:
2.96 5
2.52 3
2.80 4
可以看出,当面额组合为1 24 34 39 46 50的时候,
每次交易最多使用3枚硬币,不考虑计算上的麻烦,
买东西还是很方便的。
本题是一道隐藏的背包问题。直观的看,把硬币当做物品,面额当做物品的价值,每个物品可以拿0个,1个,甚至-1个。物品可以取负数个,处理起来非常棘手,我们需要把问题进行适当的转化。
转化过程:用
表示总金额为 X 所需的最少硬币数量,
表示交易金额为 X 所需的最少硬币数量。令
。其中 V 表示交易金额,A 表示买家付的总金额,B 表示卖家找回的总金额。则
。
求 X 的过程是一个标准的背包问题:考虑面额为
的硬币,尝试用
去替换小面额硬币:
。
求出 F 后,再求 G,整体复杂度为
。
下面讨论
的定义域,即买家最多付给卖家多少钱。简单估算最多付100张,最大面额99,最大上限为9900。这样已经可以顺利AC这道题了,有兴趣的同学可以尝试继续计算更小的上限。
E题:重要逆序对
给定N个数的序列
,定义一个数对
为“重要逆序对”的充要条件为
且
。求给定序列中“重要逆序对”的个数。
样例输入
10
0
9 8 7 6 5 4 3 2 1
样例输出
16
求逆序对最经典的方法的是借助归并排序。
在归并两个有序序列
,
之前,我们观察到,若
>
,则
均大于
且与
形成逆序对的关系,在本次归并过程中,这
个数中与
形成逆序关系的一共有
个。归并以后,这
个数组成的序列内不再有逆序对。
本题求重要逆序对,把上述
>
的判断条件换成
>
即可。
归并排序的复杂度为
,归并前计算逆序对的复杂度为是线性的,则本题的复杂度也为
。
F题:电车
每个路口有一些出口通往其他的路口,出口处有一个方向转换器。如果方向转换器指向的方向不是电车想去的方向,则需要司机手动转动方向转换器,反之则不需要。 给出一张地图、起始路口A和目标路口B,计算从A到B最少要转动方向转换器的次数。
本题是一道最短路径的题目。
路口就是图的结点,如果路口A通往路口B,则添加一条由A结点到B结点的有向边。如果方向转换器初始指向B,则这条边的权重为0,否则权重为1。
有向图建好了以后直接使用Dijkstra算法就可以啦。
G题:食物链
已知有三类动物A,B,C,这三类动物的食物链构成了环形。A吃B, B吃C,C吃A。 有两种说法对动物所构成的食物链关系进行描述:
第一种说法是"1 X Y",表示X和Y是同类。
第二种说法是"2 X Y",表示X吃Y。 某人对N个动物,用上述两种说法,一句接一句地说出K句话,这K句话有的是真的,有的是假的。当一句话满足下列三条之一时,这句话就是假话,否则就是真话。
1)当前的话与前面的某些真的话冲突,就是假话;
2)当前的话中X或Y比N大,就是假话;
3)当前的话表示X吃X,就是假话。 根据给定的N和K句话,输出假话的总数。
本题是并查集的经典练习题。建模方面有一点难度。
在同一集合中的结点表示相互之间可以推导出食物链关系。我们给边Father[a] = b做标记
:
标记为0表示二者同类
标记为1表示b被a吃
标记为2表示a被b吃
我们发现这样的标记有一个好的性质:当Father[a] = b,Father[b] = c的时候,
。
有了这个性质作为基础,若X和Y在同一个集合里面,以根节点为中介,我们就可以推导出X和Y的关系,进而推断话的真假。
H题:DFS树
给定一个无向图,以及从结点1开始进行DFS形成的树。定义"T-Simple Circle"为图中的环,其中只含一条不属于树的边。 求所有T-simple Circle的最小边覆盖中边的数量。
本题属于竞赛题的难度了,小编调研了一下解决方案。
首先需要证明,每条不属于树的边都能构成一个环,而且其中一个结点一定为另一个结点的祖先。我们在纸上画一画,假设存在一条不属于树的边,两个结点为兄弟关系。那么在DFS的过程中一定会选中这条边,原假设不成立。
然后原问题转化为:求树种若干路径的最小边覆盖。此时用贪心法,尽量取这些路径中深度最小的边,就能保证每次取到的边覆盖的路径最多。
今天的分享就到这里啦,又是一年毕业季,祝愿大家进入心仪的学校和公司~
• end •
招人啦
前面都是前言,这里才是正文!
我们是一个来自牛津大学、哥伦比亚大学、UIUC、北京大学等的团队.我们刚诞生不久,每一个毛孔都是新的,等着和你一起来建设.
技术产品总监
希望你有在知名互联网/软件公司有带领技术团队完成产品开发的经验,能够有兴趣和我们一起设计AI落地的产品,切实提高行业效率.
高级前端工程师
希望你能在前端与UI交互方面有丰富的经验与产品思维,精通JS,能与团队一起落地实用的数据产品.
机器学习工程师
希望你对机器学习有热情有基础,对算法原理而不仅仅是调用库有所了解,希望真正作出有用的AI产品.
MetaSOTA
谈谈技术,和其他





