随着电动汽车和电子产品的普及,电池产品得到快速发展。巨大的市场潜力和尚存的发展局限激发研究人员对电池的热情,然而目前研究电池的科研人员大部分都并不是电化学科班出身,而是来自材料和物理化学等领域,因此不一定具备系统的电化学知识。对于电池研究而言,理解电化学数据、标准电化学测试和专业电化学分析都是必备的电化学知识技能,为此有必要对电化学测试和电化学分析知识加以概括,为广大电池研究人员提供理论支持。
香港城市大学Xuming Yang博士研究生和Andrey L. Rogach教授(共同通讯)在Adv. Energy Mater.上发表了“Electrochemical Techniques in Battery Research: A Tutorial for Nonelectrochemists”的最新研究工作。该工作介绍了基本的电化学概念,针对电压、电流和阻抗等测试技术进行了详细的讨论分析,为电池研究工作者提供学习大纲和指导教程。
(1)介绍了基本的电化学概念:电压、电流、容量和测试时间;
(2)介绍了常见的电极材料评判指标:能量/功率密度、库伦效率和循环寿命;
(3)针对上述概念和指标,介绍了常见的电化学测试手段:循环伏安测试、恒电流充放电测试、交流阻抗测试、恒电压间歇滴定法和恒电流间歇滴定法,将上述方法归类为电位技术、电流技术和阻抗技术,并针对目前研究工作和文献报道中存在的不妥对其进行讨论。
1.基本电化学概念介绍
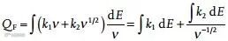
电压和法拉第容量是电极材料的本质属性,电压由反应物和生成物之间的吉布斯自由能变决定,而法拉第容量由可转移电子数决定,具体数值可由方程(1)和(2)得出,其中E是电压,ΔrG是反应的吉布斯自由能变,QF是法拉第容量,M是电极的相对分子质量,F是法拉第常数。能量容量(QE)则是电压和法拉第容量的结果,可由方程(3)得出。然而,上述三个方程只是指出理论参数的计算方法,实际实验结果通常偏离理论计算结果,因为实际情况通常受极化、副反应和不完全的反应等影响,副反应会消耗部分电荷,而电阻会导致能量以热量形式发生损耗。除此以外,库伦效率和能量效率也是电池研究中的重要概念。
2.电位技术
循环伏安测试(CV)是电化学测试中最重要的电位技术,在电池研究中使用循环伏安测试通常会涉及固液界面、离子扩散和多重反应等等。循环伏安测试所得到的典型曲线如图1(b)所示,一对高斯峰对应一个电极反应,峰电流(ip)之比及其对应的电压差(ΔEp)可用于判断电化学反应的可逆性。当CV曲线转换成电压vs 容量曲线(如图1 c),充放电平台对应于CV曲线中峰电流对应的电压。当电流采用电流密度(A g-1)而不是电流(A)作度量时,所得到的绝对值就是比容量(mAh g-1)。特别需要注意的是,只有当电池性能与活性物质负载量无关时才能采用比容量作度量。另外,循环伏安测试需要指定合适的电压窗口和扫描速率,为此有两个判断标准用于指定电压窗口和扫描速率:(1)在指定的电压窗口范围内,应该出现电极反应,并且在结束时电流应该降为零;(2)在指定扫速下,积分容量应该接近于电极材料的理论容量(基于这一点,电池扫描速率一般在0.1-10 mV s-1范围之内)。

图1(a)循环伏安测试的电压曲线(b)电流响应与电压曲线(c)电压与积分电流曲线
电流响应一共有双电层响应(idl)、表面响应(is)和体积响应(iB)三种(如图2)。双电层响应类似于物理电容器,大小只取决于容量和扫速,由于不存在化学反应,因而不属于法拉第过程。在电池体系中,双电层电流通常很小,而表面响应(is)和体积响应(iB)共同组成法拉第电流,它们对扫速具有不同的响应,具体可参考以下公式:

表面响应和体积响应的区别在于固体电极体相中的电荷传输远远慢于液体电解液中的传输。表面的法拉第过程带有电容属性,通常被称为赝电容或电化学电容。电化学电容与物理电容最大的区别就是:(1)赝电容电流响应与电压有关,该电压由表面氧化还原反应的吉布斯自由能变决定;(2)化学反应过程并不是瞬间完成的,也就是说赝电容电流响应并不是完美地与扫速成比例。活性物质体相中氧化还原过程贡献的电流由电荷传输产生,并近似地与扫速的平方根成比例。对于完全是扩散控制的电极反应,峰电流和扫速平方根的线性关系通常被用于计算扩散系数。
反应动力学是电极材料的重要特征,为此大部分的电池都被设计为赝电容特性,并且依然能够保持大容量特性。在这种理念下,纳米材料通常被用作电极材料以提高倍率性能,原因在于纳米材料本身就具有大比表面积的特点,导致很高的赝电容贡献和快速扩散控制电流响应。对于单纯的扩散控制电化学体系(主要是正极材料),不同扫速下的CV测试通常能够得到扩散系数。然而,当赝电容贡献不能被忽略的时候,其贡献值就可以通过以下方程得出:

在上述方程中,a和b不是常数,而是可以根据扫速变化的参数。在细小的扫速变化下,a和b可以被视为常数,b值可以从ip vs v1/2的曲线得出,b值得范围在0.5-1之间,分别对应于扩散控制和赝电容反应。因此,不难理解,b值可以反映电池体系是赝电容反应占主导还是扩散控制占主导,但是当b值位于中间值时(如b=0.8),则不能明确判断赝电容和扩展控制的占比。为此可以通过以下方程定量计算赝电容贡献和扩散控制的具体占比:

然而这种方法的缺点就是需要进行繁琐复杂的运算,但是可以通过矩阵运算进行简化,如利用MATLAB或者其他计算程序自动运行。该方法另一个致命缺陷就是,该方程只有在增加的扫速导致极化,从而引起的峰偏移可以忽略不记的情况下使用。为此提出了以下方程用于定量区分两部分容量贡献,该方程即使在极化不能忽略的情况下依然可以工作。

如图2f,可以拟合扫速的平方根的倒数(v-1/2)与积分容量之间的线性曲线,得出的截距
代表赝电容贡献容量,该部分与扫速无关;斜率
代表扩散控制贡献的容量,与扫速的平方根成比例。

图2(a)三种电流响应模式 (b)、(c)不同扫速下的循环伏安测试曲线 (d)log2(ip) vs log2(v)曲线(e)赝电容贡献(f)积分容量的线性拟合 vs 扫速的平方根的倒数
3.电流技术
恒流充放电测试是常用于评价电池容量、可逆性、循环性能和倍率性能的测试方法,其在恒定电流下测试(图3a),并且需要指定一个与CV测试一样的电化学窗口,最终得到有明显平台的倾斜曲线(图3b)。为了更方便地看出电位平台,可以做出积分容量曲线(dQ/dV vs V),其产生的峰对应GCD曲线的平台,并且与CV曲线的峰一致。值得一提的是,dQ/dV曲线在积分过程中难免产生很多毛刺,为了避免这一问题,可以提前圆滑GCD曲线(去除白噪声),并增加取值点的间隔(通过得到k>1的(Qn+k-Qn)/ (Vn+k -Vn)降低误差)
恒流充放电通常需要对活性物质质量或电极面积进行归一化,以得到重量比容量或面积比容量。在电池测试中,常见的容量度量单位是重量比容量(mAh g-1),并且通常采用重量比电流密度(A/g)或C(1 C指的是1小时内使电池充满电的电流值)做电流度量。需要指出的是,制作全电池匹配正负极容量时,出于电荷守恒,应该匹配面积比容量(mAh cm-2)而不是重量比容量(mAh g-1)。同样的,在进行对比实验时,应该控制的是面积比容量(mAh cm-2)而不是负载量(mg cm-2),也就是C作为电流度量更合适,重量比电流密度只有在质量对容量影响可以忽略不计的情况下才使用。然而在目前大量的研究工作中,为了方便通常采用重量比容量,这就意味着目前大量的优秀研究结果只有在负载量极少的情况下才能得出。

图3(a)实际测试的电流曲线 (b)实际记录的电压响应与容量的关系曲线(c)恒流充放电测试充放电过程中的容量电压积分曲线 (d)循环性能(e)倍率性能(f)功率密度与对应能量密度的关系图
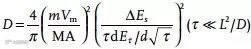
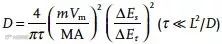
恒电流间歇滴定法(GITT)可以测量充放电过程中各个平衡状态下的扩散系数,需要特别说明的是:放电时间应该足够短,以至于E τ和τ 1/2之间可以建立线性关系(图4c),只有这样放电过程的扩散系数才可以通过以下方程计算:

而充电过程的扩散系数也可以通过下列方程计算:

但是Vm指的是中间产物的摩尔体积,其随着离子嵌入电极材料的浓度而变化;A是电化学面积,而不是极片的几何面积,也不是活性物质的表面积,因为上述两种面积均与粘结剂和导电添加剂相连,而电极材料中电荷的摄取通常具有各向异性,也就是并不是所有的面积均对电荷具有电化学活性。

图4 (a)恒电流间歇滴定曲线 (b)在特定静止-放电-静止阶段的电压 vs 时间关系图(c)电压 vs τ1/2关系图,τ为放电时间(d)在特定静止-充电-静止阶段的电压 vs 时间关系图
4.阻抗技术
如图5a给出Nyquist图和对应的等价电路(Randles电路),其中Rint是电池体系固有电阻,Cdl是双电层电容,Rct是电荷传输电阻,ZW是韦伯阻抗,它与半无限的线性扩散有关,并与频率的平方根成反比。图5 a中高频区的半圆部分从Rint开始,其半径即为Rct的一半,当多一个半圆出现时,就应该考虑到在等效电路中多一个电容器存在。当频率足够低时,双电层电容可以视为处于关闭状态,并可以将它移出等效电路,此时的阻抗方程可以简化为:

这就是为什么理想的Nyquist图中低频部分会出现45°的曲线。通过拟合Zre(实部)或Zim(虚部)与ω-1/2(ω为角频率)之间的线性关系,可以得到σ并根据以下方程计算出扩散系数。
,
可以通过在不同浓度(x)下的Li+/Na+对开路电压求积分得到,而此处的A同样为电化学面积,而不是电极材料的几何面积或活性物质的比表面积。
实际的电池体系中,电极表面粗糙,赝电容存在,离子的实际扩散并不能以一维形式线性扩散,使得高频区出现圆弧而不是半圆,低频区的直线并不是45°(图5c)。在这种情况下,双电层电容用恒相位元件替代。

图5 (a)Randles电路模型(蓝色)及其对应的电化学阻抗图谱(红色)(b)Zre(实部)或Zim(虚部)与ω-1/2(ω为角频率)之间的线性关系 (c)偏离的Randles电路模型(蓝色)及其对应的电化学阻抗图谱(红色)
本工作介绍了与电池研究有关的基础电化学概念,包括电位、电流和阻抗的测试技术。出于实用性的考虑,文章中引用了大量电化学方程,这些方程对于理解数据、分析数据十分有意义。更重要的是,作者针对电池研究中常见的测试技术和分析方法展开讨论,强调对应电化学方程的使用条件,并指出了目前电池研究中电化学分析存在的不妥之处。这一研究成果不仅为非电化学背景的研究工作者提供了系统掌握电化学理论的入门学习机会,更加为已经拥有电化学背景知识的研究工作者指明目前潜在的错误,提高大家对电化学知识的理解和认识,为电池的设计、研究和优化提供理论指导。
版权声明
本文来源:矿大北京研究生
用途:学术传播
如涉及侵权问题,请联系小沙(微信:DA_024y),我们将及时修改或删除
✓
精选推送
“科技写作沙龙”致力于分享国家自然科学基金及标书写作、高水平SCI写作,并定期分享线下沙龙公告。主要内容包括:
国家自然科学基金及标书写作
高水平SCI写作
技术推荐
文献速递
调剂信息
承接业务:
国家自然科学基金培训及修改
SCI高水平论文写作培训
高水平论文中的理论模拟计算

