化工过程中的电子传递、质子传递和分子传递
李诗浩 1
吴振华 2赵展烽 1吴洪 1杨冬 2石家福 2
姜忠义 1 
(1. 天津大学化工学院,天津 300072; 2. 天津大学环境科学与工程学院,天津 300072 )
DOI:10.11949/0438-1157.20240133
Electron transfer, proton transfer and molecule transfer in chemical processes
LI Shihao 1
WU Zhenhua 2ZHAO Zhanfeng 1WU Hong 1YANG Dong 2SHI Jiafu 2
JIANG Zhongyi 1 
(1. School of Chemical Engineering and Technology, Tianjin University, Tianjin 300072, China; 2. School of Environmental Science & Engineering, Tianjin University, Tianjin 300072, China )
引 言
![]() |
(1) |
![]() |
(2) |
![]() |
(3) |
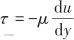
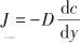
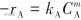
1 经典“三传”与电子传递、质子传递和分子传递
![]() |
(4) |
![]() |
(5) |
![]() |
(6) |
![]() |
(7) |
![]() |
(8) |
![]() |
(9) |
![]() |
(10) |
![]() |
(11) |

2 电子传递、质子传递和分子传递与催化反应过程
2.1 自然界中的电子传递、质子传递和分子传递强化现象
在一系列存在于细胞质膜、叶绿体膜和类囊体膜上转运蛋白的协助下,快速到达类囊体腔内,继而被碳酸酐酶转化为CO2用于后续的CO2固定。通过“道法自然”制备先进仿生纳米材料是一种非常高效的策略[
2.2 电子传递、质子传递和分子传递与光/电催化反应

2.3 电子传递、质子传递和分子传递与生物催化反应

2.4 电子传递、质子传递和分子传递与其他化学反应过程
结合。同时,中间电解质层还允许水分子的传递,从而溶解生成的H2O2产物,通过调节水流过固体电解质的流速,可以得到质量分数达20%的H2O2溶液。
3 总结与展望
引用本文: 李诗浩, 吴振华, 赵展烽, 吴洪, 杨冬, 石家福, 姜忠义. 化工过程中的电子传递、质子传递和分子传递[J]. 化工学报, 2024, 75(3): 1052-1064 (LI Shihao, WU Zhenhua, ZHAO Zhanfeng, WU Hong, YANG Dong, SHI Jiafu, JIANG Zhongyi. Electron transfer, proton transfer and molecule transfer in chemical processes[J]. CIESC Journal, 2024, 75(3): 1052-1064)
第一作者:李诗浩(1994—),男,博士研究生,lishihao@tju.edu.cn
通讯作者:石家福(1985—),男,博士,教授,shijiafu@tju.edu.cn;姜忠义(1966—),男,博士,教授,zhyjiang@tju.edu.cn













