研究背景
众所周知,人类皮肤不仅可以对环境的温度、压力、拉力进行实时反馈,更可以在受伤后自我修复。如今,人工智能的相关研究已然是科学前沿,其中智能皮肤材料的重要性更不言而明。考虑到人机交互、智能响应的实际需求,智能皮肤材料需要兼具多方面的性能要求。尤其是皮肤的应变硬化特性,即正常状态下柔软的皮肤,在受到外力刺激发生大应变下会迅速变硬的一种自我保护机制。当前研究下,具有高延展性和自愈性离子皮肤材料的例子已有不少,但是这些材料在大应变下却容易软化。既有高弹性和自愈性,又能够模仿应变硬化特性的人工离子皮肤当下鲜有报道。
研究内容
最近,东华大学武培怡教授课题组,在NATURE COMMUNICATIONS发表文章,通过将两性离子引入聚羧酸(PAA)的合成之中,得到了具有高延展性、自愈合性、应变硬化特性的质子导电性弹性体。该工作通过在PAA氢键网络中引入熵驱动的超分子两性离子竞争网络,模拟天然皮肤中柔软的弹性蛋白网络和坚硬的胶原纤维的作用,实现了离子皮肤独特的机械反应性,即应变硬化。
1、如何实现应变硬化?
两性离子是一种所含阳离子和阴离子官能团数量相等且对外显电中性的小分子(图1-a)。由pKa可知,两性离子并不会使得PAA的羧基去质子化,因此,PAA中的氢键网络结构得以保存。其次,两性离子间存在弱的超分子离子相互作用。另外,这两种作用并非独立存在,而是通过共享羧基实现的PAA和两性离子之间的作用相联系。(水分子会参与这两种作用,为了方便讨论,图中没有显示。)这三种作用力的强弱通过2D COS谱(二维核磁相关谱)分析确定(图1-b)。未受力时,材料内部主要存在两性离子间的弱相互作用和疏松的随机排布的PAA大分子链,这使得材料保持柔软特性,一旦受力,弱的两性离子相互作用就会失效,取而代之的是形成更强的氢键相互作用,使得材料“变硬”,从而实现应变硬化特性。而对于其他的离子皮肤材料,在受力时只存在单向的化学键解离,只能发生应变软化。
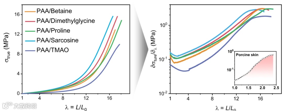
由真实应力-应变曲线及相应的微分模量-应变曲线可以看出, 所有的PAA/两性离子弹性体表现出与猪皮(porcine skin)相似的强烈应变加强行为(图1-c)。这直接证明了该种PAA/两性离子材料的应变硬化特性。
图1-a 两性离子和PAA的分子结构和pKa
图1-b PAA/甜菜碱弹性体在拉伸前后的结构变化以及三种分子间作用力的强弱顺序
图1-c PAA/甜菜碱弹性体的真应力-应变曲线(左),应力的微分模量-应变曲线(右)。右图中的插图是来源于其他文献中的猪皮的典型微分模量-应变曲线。
2、弹性、自愈性、粘结性
以甜菜碱(betaine)作为两性离子合成的PAA/甜菜碱弹性体材料具有极高的断裂伸长率(1600%)和弹性恢复比(97.9±1.1%)(图2-a)。在室温条件下,相对湿度(RH)达到80%时,由PAA/甜菜碱弹性体材料制备的薄膜上的划痕在12h后完全消失,这是因为水分子的参与能够促进分子内的物理键的再生(图2-b)。同样的,剪断的几段PAA/甜菜碱弹性体材料也可以在这一条件下自愈合,并且依然具备承受弯曲和拉伸作用的能力(图2-c)。另外,Fig. 4 c展示了原始段以及自修复4次的PAA/甜菜碱弹性体材料的拉伸曲线,表明了这一材料接近100%的自愈合能力。同时,文中还检测了该材料的粘结性能,如图2-e所示,通过检测90°垂直剥离性能和界面强度评价了PAA/甜菜碱弹性体材料与不同的基底的剥离强度。这种粘结性能可能是因为在预压过程中产生了多种作用力,如图2-f所示。显而易见,在猪皮上有最高的粘结性能,这可能是因为猪皮表面粗糙以及潮湿的缘故。
图2-a 不同应变下PAA/甜菜碱弹性体的循环应力-应变曲线。插图是拉伸曲线发生断裂的应力-应变曲线
图2-b 通过光学显微镜观察到的PAA/甜菜碱的自修复进程
图2-c 三段染色后的PAA/甜菜碱弹性体小段自愈合的过程以及弯曲拉伸测试
图2-d 原始和四次自愈合循环后的弹性体的拉伸曲线
图2-e PAA/甜菜碱弹性体和不同基底(聚四氟乙烯、玻璃、PET树脂、铜、木材、猪皮)的90°剥离曲线(左边)和相应的界面强度(右边)
图2-f 吸附粘结力图解(配位作用、氢键作用、电荷相互作用、阳离子-Π作用)
3、传感器中的应用?
图3-a PAA/甜菜碱弹性体制备的应变传感器可以感知手指弯曲(左)和吞咽动作(右)
PAA/甜菜碱弹性体材料不仅有着优秀的各方面性能,还可以作为传感器感知外界刺激并转化为电信号。如图3-a ,PAA/甜菜碱弹性体材料作为应变传感器通过直接粘附在人体手指和喉咙上,弯曲和吞咽即可产生电信号响应。同样的,利用类似方法可以实现温度、压力、应变等方面的感知和实时响应,这在可穿戴产品和智能织物的应用中有重要意义。
总结
本文首次报道了一种兼具自修复和应变硬化特性,同时可以模拟皮肤的各种感觉的离子皮肤材料。最主要的是首次通过引入熵驱动的超分子网络实现了应变硬化。这项工作不仅为解释双交联网络相关的非线性机械响应行为奠定了机制基础,而且为设计具有类似于皮肤的复杂感官和机械性能的材料铺平了道路。
该文章2021年7月2日发表于NATURE COMMUNICATIONS上
原文链接:https://doi.org/10.1038/s41467-021-24382-4
此项目研究得到了国家自然科学基金项目(Nos. 21991123, 51873035, and 51733003)、“启明星计划”(19QA1400200)等项目资助。
来源:NATURE COMMUNICATIONS | Skin-like mechanoresponsive self-healing ionic elastomer from supramolecular zwitterionic network
DOI:https://doi.org/10.1038/s41467-021-24382-4
网址链接https://www.nature.com/articles/s41467-021-24382-4


