导语
在当代科技迅猛发展的背景下,干细胞作为一种前沿技术备受瞩目。然而,要确保其在治疗和研究中的安全和有效性,高质量的干细胞至关重要。而“高质量”并非仅仅取决于单一指标,而是由多重因素共同影响。
细胞的来源是影响其质量的首要因素之一。不同的细胞来源可能会影响其遗传特性、稳定性以及功能表达。因此,在选择干细胞时,必须考虑其来源的质量和适用性,以确保所选细胞具有最佳的治疗潜力。
细胞的活率和生长活性也是评估干细胞质量的重要指标。活率高的细胞更有可能在移植后存活并发挥作用,而生长活性则反映了细胞的增殖和分化能力。因此,高质量的干细胞应当具有较高的活率和活性,以确保其在体内能够有效地实现治疗效果。
细胞来源
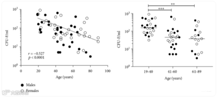
想要获得高质量的干细胞,细胞来源尤为重要。随着人类的衰老,细胞的活力也是会逐渐减弱的,无论你是选择了异体回输还是“自给自足”,细胞供者本身的年龄及身体状况都会对细胞质量产生影响。2019年,英国利兹大学的科研团队就采集了67名健康供体(19-89岁)的骨髓间充质干细胞,通过体外培养的方式证实了:年轻人的干细胞数量和增殖能力显著高于老年人。
△培养基中培养14天后,年轻组(19-40),中年龄组(41-60)和老年组(61-89岁)的干细胞计数对比
△年轻态的干细胞胞体饱满、呈明显的梭形;衰老的干细胞胞体宽大扁平
从年龄这个因素考虑,有零岁细胞之称的胚胎组织来源或类胚胎如脐带/胎盘间充质干细胞应该是最优解,年轻人的骨髓、脂肪、牙髓来源等等。首先供体必须经过检验筛查证明无人源特定病毒(包括HIV、HBV、HCV、HTLV、EBV、CMV等)的感染,无梅毒螺旋体感染。其次除了病毒感染,许多疾病也会影响自体间充质干细胞的功能及效果,如遗传性疾病、自身免疫性疾病和部分慢性疾病等。以常见的糖尿病为例,2021年9月刊登在《STEM CELLS TRANSLATIONAL MEDICINE(干细胞转化医学)》上的一项研究证实:长期患有2型糖尿病会降低干细胞的增殖能力、免疫抑制潜力及存活率。
△健康组(第1组)和2型糖尿病患者的自体骨髓来源间充质干细胞(BM-MSCs)的表征对比(糖尿病持续时间:第2组:<5年,组3:5-10年,第4组:>10年)
尽管干细胞治疗2型糖尿病的具有潜在治疗效果,但一些患者使用自体干细胞进行治疗却得到矛盾的结果,这是由于疾病影响了患者自体干细胞的分子和细胞特征,特别是代谢活动和线粒体DNA的改变。因此,当你患有糖尿病超过10年时,采用自体干细胞进行治疗就不是一个明智的选择。
细胞活性
细胞生长活性其实有着许多评定标准,如细胞倍增时间、细胞周期、克隆形成率、端粒酶活性等等,而这些指标都被“细胞代次”所影响着。细胞代次指的是干细胞在体外培养中的传代次数,一般刚从脐带、胎盘、羊膜等提取的干细胞是原始P0代,传一代是P1代干细胞,并以此类推。在此过程中,还有一个关键特性:即干细胞的生物学效力和增殖特性,会随着传代次数的增加逐渐下降。
△图a代表P3代,图b代表P8代
那按照这个逻辑,如果我们想追求高活性,只要使用刚从组织中分离出来的P0代干细胞不就行了吗?事情没有那么简单。
首先,细胞代次并不宜低于3代。处于这个代次的干细胞确实活性很高,可惜的是,它还没能经过足够的体外培养、扩增,这样可能导致:、
一、细胞总数量不够。我们能看到在过往的干细胞临床试验里,干细胞量几乎都是千万级以上的,而P0-P3代次的干细胞才刚刚开始培养,干细胞含量客观来说很低,很有可能达不到使用标准。哪怕它各项活性都很好,也巧妇难为无米之炊。
二、细胞安全性不够。培养时间短,也意味着来不及进行彻底净化,其中可能残留提取过程中感染的细菌、病毒、微生物等有害物质。尽管这些代次的干细胞有很高的活性,但于安全角度,却十分堪忧。
这两点是不能用前3代的原因,我们再来看看不必执着前3代的理由。
从各代干细胞生长曲线检测结果来看,P4-P7代的数据其实也都在高活性范围之内,并未与前3代细胞形成断层差距,所以总结所有优势与缺点,P0-P3代细胞并不是优选。
△体外培养P3/5/7/10/15代细胞的生长曲线
其次,细胞代次不宜高于7代。P7代之后的干细胞,算是经过了足够的培养扩增,这细胞数量是上去了,但质量也是断崖式下跌。有研究表明,P7代次之后,干细胞增殖能力及遗传稳定性急剧下降,细胞凋亡的数量也很可怕,到了P15代晚期,凋亡细胞数量直奔50%。
△FITC Annexin V Apoptosis Detection Kit I 检测不同代次细胞的凋亡差异情况
细胞存活率
当干细胞回输到体内,只有活着的干细胞能真正起到修复或治疗的作用,失活细胞不仅有碍有效性,还可能会引发机体毒性反应。所以细胞活率不但关乎细胞质量,更涉及人体自身的安全。也正因如此,国内监管对于干细胞产品活率要求较高,通常要≥90%。
△细胞计数仪里显示干细胞存活率
除了干细胞本身的活性外,存储、运输条件也会影响细胞活率。如果存储或运输条件不合格,则可能导致细胞死亡、细胞膜破裂及内容物释放等,不但起不到治疗效果,反而会导致不良事件的发生。另外,细胞的移植方式也对细胞活率有一定影响,如输注移植速度过慢,耗时过长,则有可能出现细胞死亡,增加不良事件发生的风险。
✦
•
✦
随着干细胞技术的日益成熟,国家也在不断完善干细胞质量管控体系,整个行业正向着规范化、更加长远地利于临床转化的方向发展。相信在未来,一份高质量干细胞,将通过临床治疗表现,让更多人们可以切身体会到干细胞的神奇。
山东德升生物工程有限公司
山东德升生物工程有限公司是一家集细胞采集、制备、存储、检测及细胞技术研发为一体的高新技术企业。拥有20多年细胞技术行业临床实践经验,并与山东大学、山东省医学院、山东药科院等以及齐鲁医院、省立医院等三甲医院建立产、学、研合作关系,主要提供干细胞、免疫细胞技术开发和应用、基因检测、面部细胞再生因子等保健医疗服务。
电话:400-805-0288
地址:济南市章锦保税区港源六路联东U谷科创中心1期25号楼德升生物

