搜索
首页
大数快讯
大数活动
服务超市
文章专题
出海平台
流量密码
出海蓝图
产业赛道
物流仓储
跨境支付
选品策略
实操手册
报告
跨企查
百科
导航
知识体系
工具箱
更多
找货源
跨境招聘
DeepSeek
首页
>
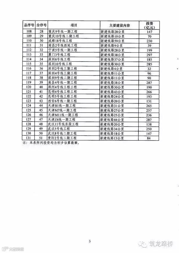
【行业动态】重磅!国家303项重点交通工程三年计划出台,总投资4.7万亿
>
【行业动态】重磅!国家303项重点交通工程三年计划出台,总投资4.7万亿
济南通达公路工程有限公司
2016-05-20
0
导读:为统筹安排好“十三五”中前期交通重大基础设施规划布局和建设工作,日前,国家发改委与交通运输部联合发布了《交通
为统筹安排好“十三五”中前期交通重大基础设施规划布局和建设工作,日前,国家发改委与交通运输部联合发布了《交通基础设施重大工程建设三年行动计划》。该计划一经发布便引发了热烈反响,到底2016、2017、2018这三年国家的交通基础设施重大工程具体都有哪些呢?赶紧看看吧!
国家发展改革委 交通运输部关于印发《交通基础设施重大工程建设三年行动计划》的通知
各省、自治区、直辖市人民政府、财政部、国土资源部、环境保护部、住房城乡建设部、人民银行、银监会、铁路局、民航局、中国铁路总公司:
为加快完善交通基础设施网络,充分发挥交通重大工程建设对于促投资、调结构、稳增长的重要作用,更好地支撑国家战略目标的实现,经国务院同意,现将《交通基础设施重大工程建设三年行动计划》引发你们,请结合实际认真贯彻落实。
提示
:
长按指纹,识别二维码,即可关注哦!
【联系方式】
投稿及内容合作咨询:
QQ:407157822
微信:koreyoshi888
【声明】内容源于网络
0
0
济南通达公路工程有限公司
方便交流
内容
508
粉丝
0
关注
在线咨询
济南通达公路工程有限公司
方便交流
总阅读
687
粉丝
0
内容
508