大数跨境

重要通知 | 印河湾Y6#登记名册公示

重要通知 | 印河湾Y6#登记名册公示 融创安徽
2021-11-10
0
导读:重要通知




印河湾项目本次推售洋房为Y6#,共1幢,可售住房套数30套,房源装修情况为精装。


根据合肥市最新购房政策,先由刚需购房人进行选房资格摇号,且选房资格名额不低于准售房源总数的30%,本次洋房刚需选房套数共9套。


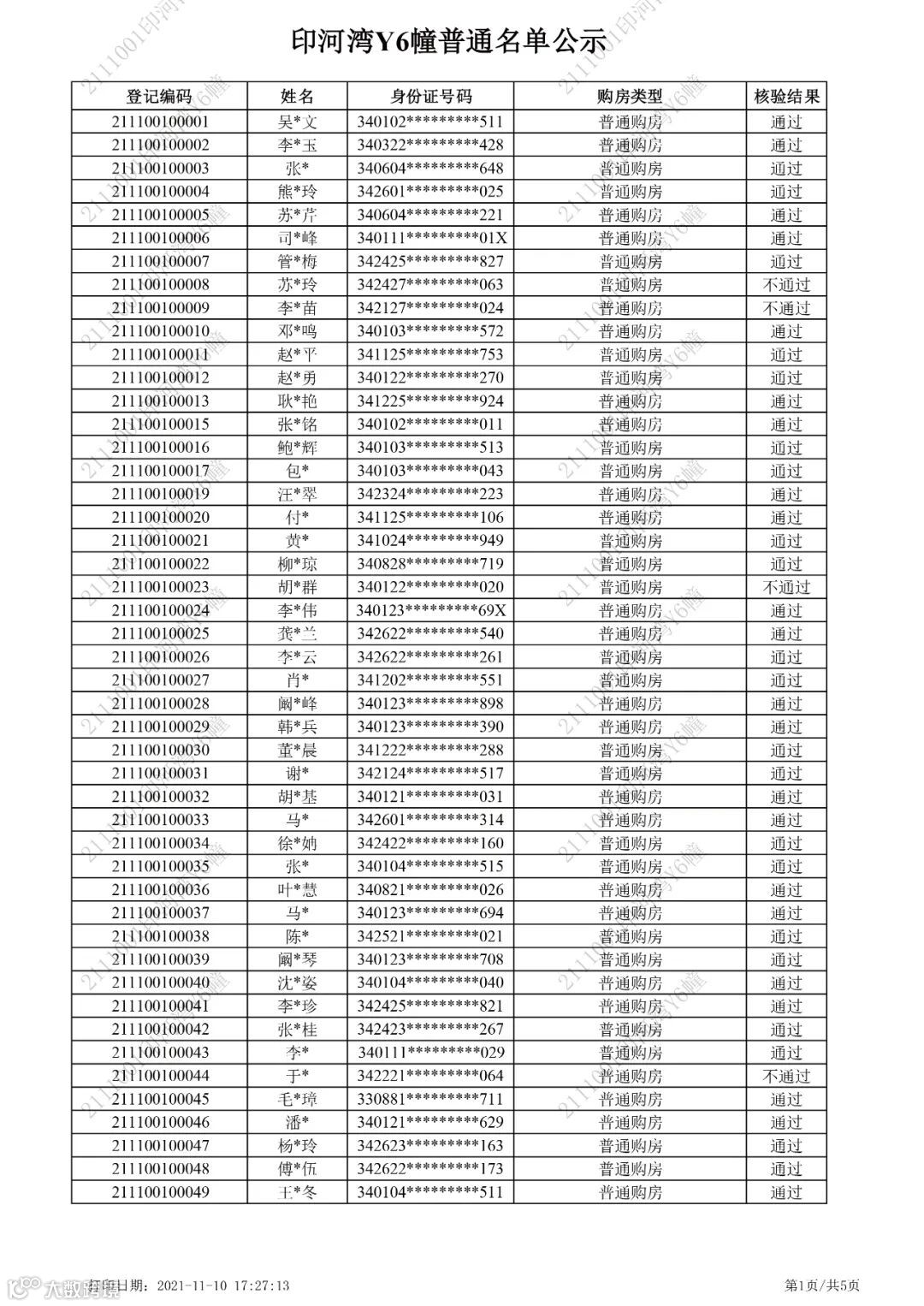
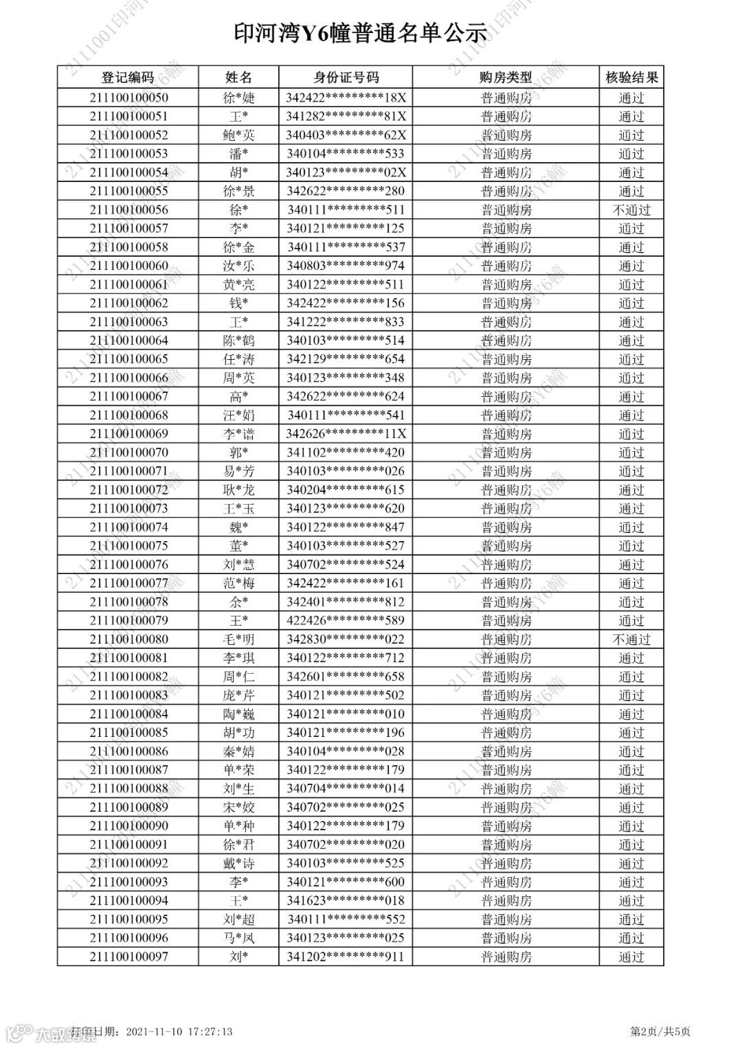
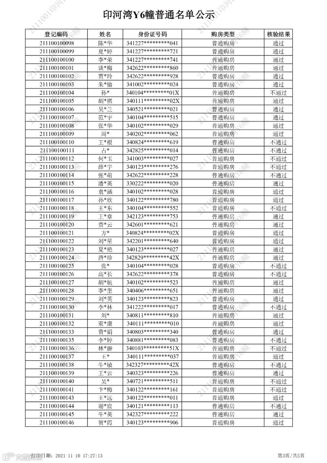
截止11月10日10:00,经系统比对去除重复登记(含已登记其他项目,尚未解锁的),登记成功客户147组,其中刚需客户5组,普通客户142组。




 印河湾洋房(Y6)普通名单公示 




印河湾洋房(Y6)刚需名单公示 
      


归心提示:

1、本项目推广名为“融创滨湖湾”,地名办核准名/备案名为“印河湾”;开发公司为:“合肥融博置业有限公司”,预售证号为合房预售证第20210438号;2、本宣传资料中提到的商品房面积为商品房建筑面积,该面积段为方案设计面积,仅供参考,后期以主管部门审批为准;3、本资料为要约邀请,不作为要约或承诺;买卖双方的权利义务以双方签订的《商品房买卖合同》及其补充协议、附件等书面文件为准;4、相关宣传内容不排除因政府相关规划、规定及出卖人分期规划、未能控制等原因发生变化;本资料所发布内容为2021年11月11日前的信息,出卖人将不定期对宣传材料进行修改,敬请留意最新资料。

【声明】内容源于网络
0
0
融创安徽
融创安徽公司是香港联交所上市公司融创中国在安徽从事住宅及商业地产综合开发的城市公司,坚持区域聚焦和高端精品的发展战略,致力于成为覆盖全产品周期以及全生活周期的美好生活整合服务商。
内容 2208
粉丝 0
融创安徽 融创安徽公司是香港联交所上市公司融创中国在安徽从事住宅及商业地产综合开发的城市公司,坚持区域聚焦和高端精品的发展战略,致力于成为覆盖全产品周期以及全生活周期的美好生活整合服务商。
总阅读896
粉丝0
内容2.2k