
云起星辰小区项目本次推售5、6、8、16号楼,共4幢,住房套数260套,房源装修情况为装修。
截止12月19日10:00,经系统比对去除重复登记 (含已登记其他项目,尚未满足首轮选房资格公示时间的),登记通过客户共44组,其中刚需客户18组,普通客户26组。
云起星辰小区推售套数和登记成功比约为1:0.16,未达到摇号条件,因此本次推售所有房源将在公示期满经主管部门核准后,依据《关于新建商品住房公证摇号公开销售有关事项的通知》文件规定,自行销售。
【云起星辰】项目登记名册公示
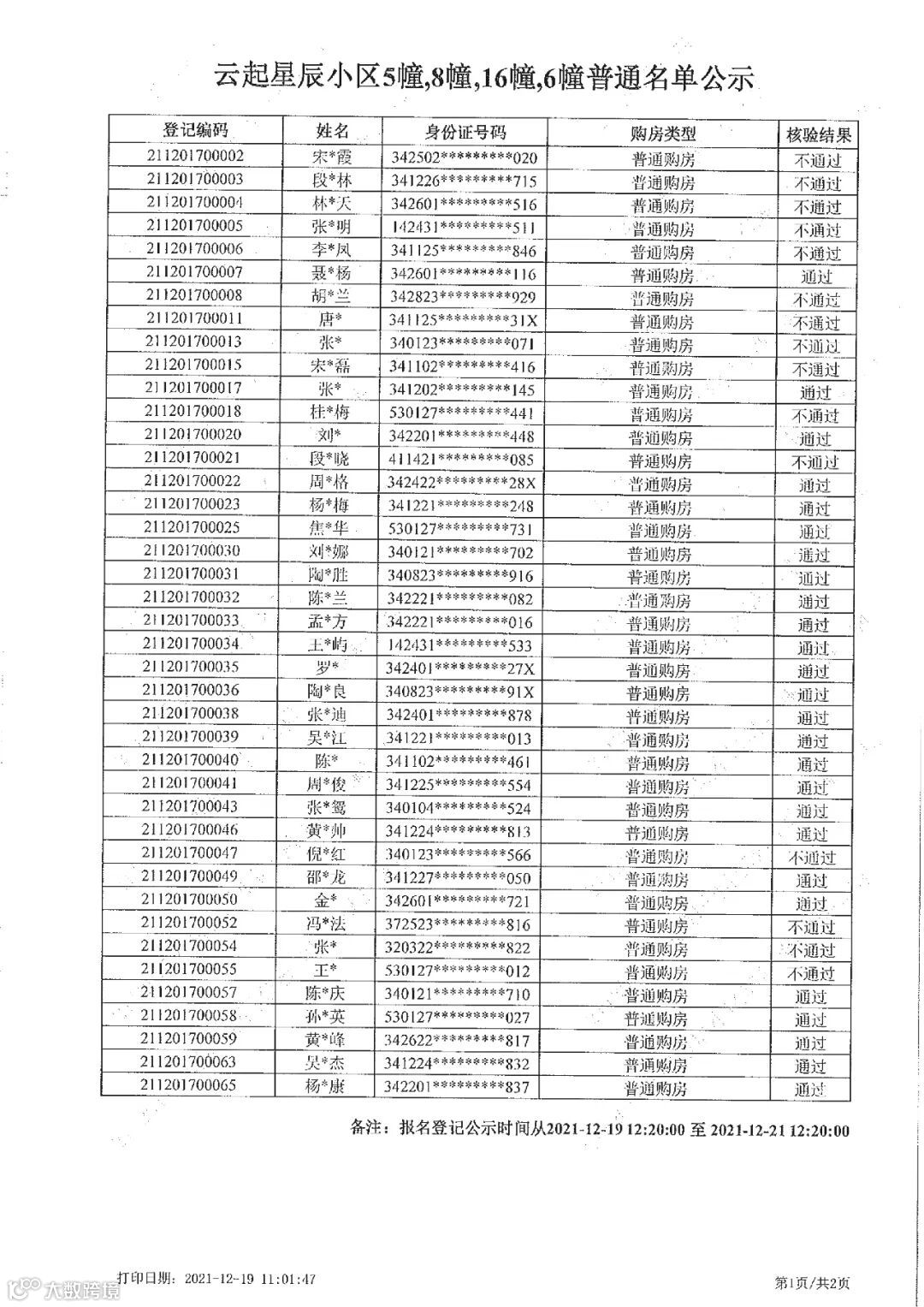
普通名单


【云起星辰】项目登记名册公示
刚需名单



