大数跨境

融耀星辰1、2、3号楼登记名册公示

融耀星辰1、2、3号楼登记名册公示 融创安徽
2022-04-28
0



融耀星辰小区项目本次推售1、2、3号楼,共3幢,住房套数204套,房源装修情况为装修。

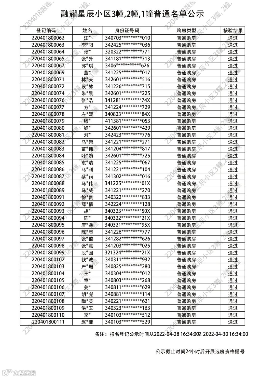
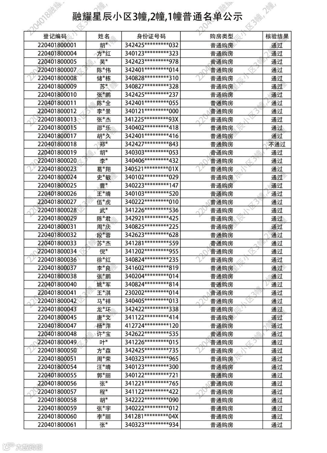
截止4月28日14:00,经系统比对去除重复登记 (含已登记其他项目,尚未满足首轮选房资格公示时间的),登记成功客户109组,其中刚需客户21组,普通客户88组。

融耀星辰小区推售套数和登记成功比约为1:0.53,未达到摇号条件,因此本次推售所有房源将在公示期满经主管部门核准后,依据《关于新建商品住房公证摇号公开销售有关事项的通知》文件规定,自行销售。


【融耀星辰】项目登记名册公示  
刚需名单



【融耀星辰】项目登记名册公示 
普通名单



归心提示:

1、本项目推广名为“融耀星辰小区”,备案名”融耀星辰小区“,开发公司为“合肥通创置业有限公司”,预售证号为合房预售证第20211285号;

2、本资料为要约邀请,不作为要约或承诺;买卖双方的权利义务以双方签订的《商品房买卖合同》及其补充协议、附件等书面文件为准;

3、相关宣传内容不排除因政府相关规划、规定及出卖人分期规划、未能控制等原因发生变化;本资料所发布内容为2021年12月12日前的信息,出卖人将不定期对宣传材料进行修改,敬请留意最新资料。


【声明】内容源于网络
0
0
融创安徽
融创安徽公司是香港联交所上市公司融创中国在安徽从事住宅及商业地产综合开发的城市公司,坚持区域聚焦和高端精品的发展战略,致力于成为覆盖全产品周期以及全生活周期的美好生活整合服务商。
内容 2208
粉丝 0
融创安徽 融创安徽公司是香港联交所上市公司融创中国在安徽从事住宅及商业地产综合开发的城市公司,坚持区域聚焦和高端精品的发展战略,致力于成为覆盖全产品周期以及全生活周期的美好生活整合服务商。
总阅读1.6k
粉丝0
内容2.2k