
黄金比例在金融市场的应用也很广泛,在分析股票走势图时,斐波纳奇数列不仅用于计算差价,还可以用来计算行情反转点的持续天数,以及在“艾略特波浪理论”中也发挥着重要作用。直到现在仍有很多大型金融机构的证券分析师信奉艾略特波浪理论,其神秘色彩在现代也尚未褪色。
《名画中的金融史》将带大家领略历史名画中潜藏着的金融学理论。

刘晓乐 著
中信出版集团 出版
13 世纪早期,意大利北部地区处于四分五裂状态,多个城邦彼此争斗不休。数字体系(i、ii、iii、iv.....)是已不复存在的罗马帝国的众多遗迹之一,它不适合复杂的数学计算,更不用说满足商业的需要了。这一难题在比萨更为突出,那里的商人不得不对7种不同形式的流通货币进行烦琐的计算。相比之下,与过去查理大帝时代一样,无论是阿巴斯哈里发帝国还是中国的宋代,东方世界的经济生活更为先进。为了开发现代金融,欧洲需要改变现状。在这方面,一名被人称作“比萨的列昂纳多”的年轻数学家斐波纳奇起了关键作用。
年轻的斐波纳奇,是总部设在现在的阿尔及利亚贝贾亚的比萨海关的一名官员的儿子,从小在比萨的北非殖民地长大,跟随阿拉伯家庭教师学习。这样,他就有条件接触阿拉伯数字,以及来自亚洲的先进数学方法,因此,斐波纳奇在1202年出版了一部名为《珠算原理》的著作,在书中他提出了一个生活中会遇到问题:
假设一名农夫养了一对刚出生的兔子,兔子在出生两个月后就具有繁殖能力,一对兔子每个月能生出一对小兔子来,如果所有兔子都不死,并重复同样的繁殖周期,那么,该如何计算在某个给定月份农夫总共拥有多少对兔子呢?约束条件是第一个月农夫拥有的一对兔子还未达到性成熟,所以无法繁殖。
第二个月,农夫依旧只有一对兔子。
到了第三个月,这对兔子能够生小兔子了,于是,农夫有了两对兔子。
第四个月伊始,第一对兔子再次繁殖,但第二对兔子还未具有繁殖能力,所以,农夫总共有三对兔子。
再下一个月,第二对兔子已具有生育能力,但第三对兔子还未长大,所以只有前两对兔子生了小兔子,现在总共有五对兔子......
兔子的对数递推如下:1、1、2、3、5、8、13、21、34、55...... 而某给定月份的兔子对数就是前两个月的兔子对数之和。数学家们很快就意识到了这个数列的重要性,如今,这个数列就是著名的斐波纳奇数列(0、1、1、2、3、5、8、13、21、34、55、89......),这个数列从第三项开始,每一项都等于前两项之和。随着数列项数的增加,前一项与后一项之比越逼近于“黄金分割”比例 1∶1.618。
黄金分割比例在自然界普遍存在,小到野雏菊的花瓣数量、向日葵里的葵花籽排列,再到人类身体的各组成部分的比例关系。各类建筑如古希腊的雅典娜神殿、印度的泰姬陵等都符合黄金分割或黄金矩形规律,也因此而极具美感。甚至照在地球上的太阳光就在两条“黄金分割线”南回归线与北回归线之间移动,而天体运行周期之间也存在着黄金比例的关系。
黄金比例在金融市场的应用也很广泛,在分析股票走势图时,斐波纳奇数列不仅用于计算差价,还可以用来计算行情反转点的持续天数,以及在“艾略特波浪理论”(市场走势由波浪构成,且按周期重复循环波动)中也发挥着重要作用。直到现在仍有很多大型金融机构的证券分析师信奉艾略特波浪理论,其神秘色彩在现代也尚未褪色。
斐波纳奇在《珠算原理》中,将更多东方数学思想引入欧洲,读者可以从中找到分数的解释以及现值的概念(未来的资金折现到现在的价值)。最重要的是,斐波纳奇系统介绍了阿拉伯数字的用途和基本算法,包括加减乘除和分数,展示如何直接使用数字符号进行代数计算。他不仅把十进制介绍到欧洲,使得各种计算远比用罗马数字容易得多,还指明如何把它应用于商业记账、货币兑换中,尤其是应用在利息计算方面。值得注意的是,《珠算原理》中的许多例子,借助一些商品如皮革、辣椒、奶酪、油和香料等来表达,因而显得更生动。数学开始应用在赚钱方面,特别是应用在贷款相关的计算中,一个典型的例子就是:
一人贷款给某商家100英镑,每月每英镑收取利息4第纳尔,他每年获得回报30英镑。我们必须计算本金的减少及在上述30英镑中利润的减少。我们要寻求在多少年、多少月、多少天和多长时间把钱收回。
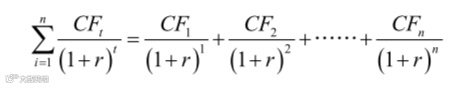
净现值的概念是现代金融的核心概念。这可能也是东西方数学发展的一个分水岭。《珠算原理》中的数学方法,在中国的古典数学文献中都能找到,只有净现值是个例外。《珠算原理》有着强烈的商业导向,它是为了解决实际的商业和金融问题而诞生的。1938 年美国教授约翰·威廉姆斯在他的书《投资价值理论》中首先提出现金流折现理论:“任何股票、债券或企业今天的价值,都取决于其未来剩余年限预期的净现金流(现金流入减去现金流出),以一个适当的折现率加以折现后所得的现值。”用公式来表示就是:

其中,n 表示资产(企业)的寿命,CFt 表示资产在 t 时刻产生的现金流,r 反映预期现金流的折现率。
现金流折现就是一项资产的“内在价值”。我们做一切投资决策,都应该首先基于内在价值,而不是“历史成本价值”“账面价值”“市场公允价值”“清算价值”这些只具备参考作用的价值标准。任何资产的“内在价值”,都是其未来现金流的折现值。每种资产类别的特征都大不相同,资产获得现金流的持续性、确定性、稳定性和增长性也不相同,但是,现金流最终代表的金钱都是一样的。有了这种思维,就可以把母鸡和黄金的价值放在一起比较,也可以把股票和债券的价值拿来比较,还可以拿茅台的股票和中石油的股票进行比较。


↓↓↓点击阅读原文,收获《名画中的金融史》